Visualization of Longitudinal Data
1 Preamble
1.1 Load Libraries
1.2 Load Data
The data for this example were simulated:
Code
mydata_long <- read.csv("./data/mydata_long.csv")2 Pre-Figure Processing
3 Plot Observed Growth Curves
3.1 Observed Growth Curves
Code
ggplot(
data = mydata_long,
mapping = aes(
x = age,
y = depression,
group = ID)) +
geom_line(
alpha = 0.25
) +
labs(
x = "Age (Years)",
y = "Depression Symptoms"
) +
theme_classic()Code
ggplot(
data = mydata_long,
mapping = aes(
x = age,
y = anxiety,
group = ID)) +
geom_line(
alpha = 0.25
) +
labs(
x = "Age (Years)",
y = "Anxiety Symptoms"
) +
theme_classic()3.2 Overlaid with Means by Sex
Code
ggplot(
data = mydata_long,
mapping = aes(
x = age,
y = depression,
group = ID)) +
geom_line(
alpha = 0.25
) +
geom_line(
mapping = aes(
x = age,
y = depression,
color = sexFactor,
group = sexFactor,
),
data = mydata_long_summary,
linewidth = 2
) +
labs(
x = "Age (Years)",
y = "Depression Symptoms",
color = "Sex"
) +
theme_classic()Code
ggplot(
data = mydata_long,
mapping = aes(
x = age,
y = anxiety,
group = ID)) +
geom_line(
alpha = 0.25
) +
geom_line(
mapping = aes(
x = age,
y = anxiety,
color = sexFactor,
group = sexFactor,
),
data = mydata_long_summary,
linewidth = 2
) +
labs(
x = "Age (Years)",
y = "Anxiety Symptoms",
color = "Sex"
) +
theme_classic()3.3 Faceted Plots
3.3.1 Random Subsample
Code
set.seed(52242) # for reproducibility
random_n <- 12
ids_subset <- sample(
x = mydata_long$ID,
size = random_n,
replace = FALSE
)
mydata_long |>
filter(ID %in% ids_subset) |>
ggplot(
aes(
x = age,
y = depression,
group = ID
)
) +
geom_point() +
geom_smooth(
method = "lm"
) +
coord_cartesian(
ylim = c(0, max(mydata_long$depression, na.rm = TRUE))) +
facet_wrap(
~ ID) +
labs(
x = "Age (Years)",
y = "Depression Symptoms"
) +
theme_classic()Code
mydata_long |>
filter(ID %in% ids_subset) |>
ggplot(
aes(
x = age,
y = anxiety,
group = ID
)
) +
geom_point() +
geom_smooth(
method = "lm"
) +
coord_cartesian(
ylim = c(0, max(mydata_long$anxiety, na.rm = TRUE))) +
facet_wrap(
~ ID
) +
labs(
x = "Age (Years)",
y = "Anxiety Symptoms"
) +
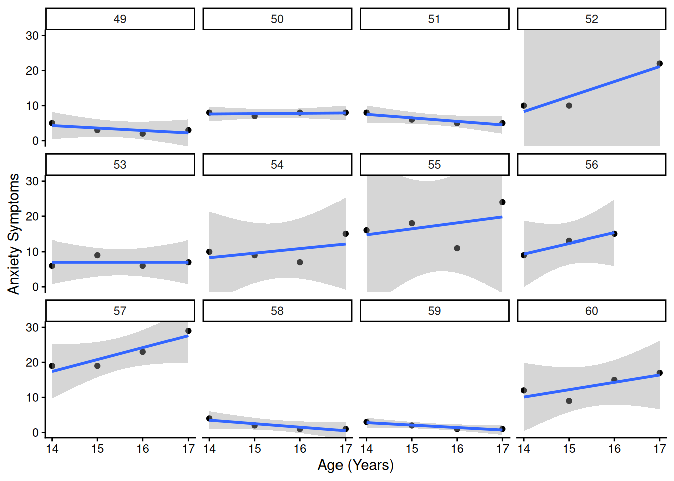
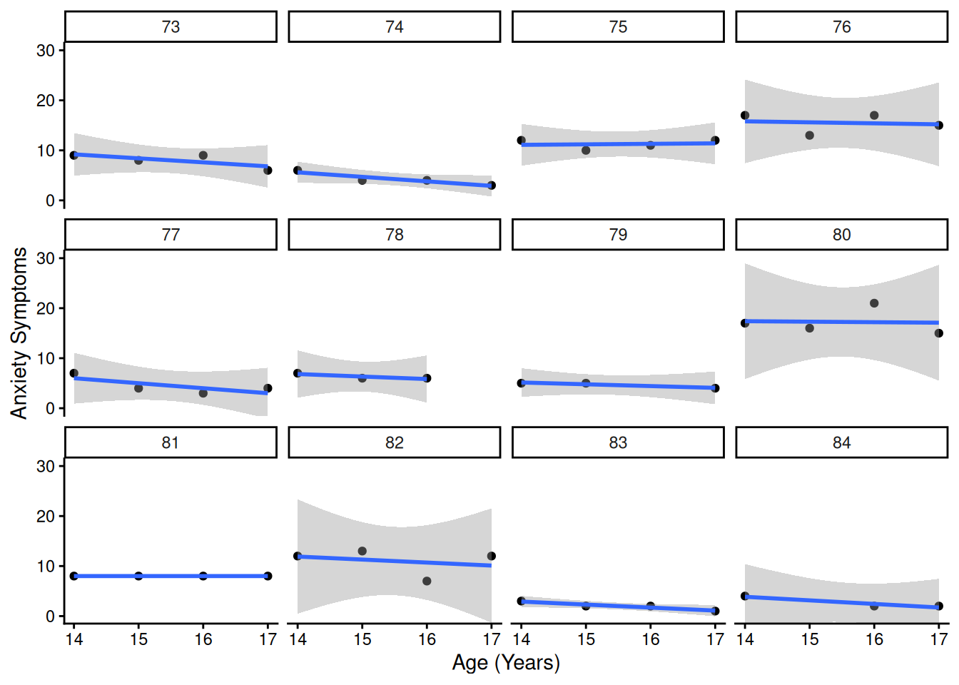
theme_classic()3.3.2 All Cases
Code
facetedPlots <- mydata_long |>
ggplot(
aes(
x = age,
y = anxiety,
group = ID
)
) +
geom_point() +
geom_smooth(
method = "lm"
) +
coord_cartesian(
ylim = c(0, max(mydata_long$anxiety, na.rm = TRUE))) +
labs(
x = "Age (Years)",
y = "Anxiety Symptoms"
) +
theme_classic() +
ggforce::facet_wrap_paginate(
~ ID,
ncol = 4,
nrow = 3)
num_pages <- ggforce::n_pages(facetedPlots)
for(i in 1:num_pages){
print(facetedPlots +
ggforce::facet_wrap_paginate(
~ ID,
ncol = 4,
nrow = 3,
page = i))
}


























