I need your help!

I want your feedback to make the book better for you and other readers. If you find typos, errors, or places where the text may be improved, please let me know. The best ways to provide feedback are by GitHub or hypothes.is annotations.

Opening an issue or submitting a pull request on GitHub: https://github.com/isaactpetersen/Principles-Psychological-Assessment

Hypothesis Adding an annotation using hypothes.is. To add an annotation, select some text and then click the symbol on the pop-up menu. To see the annotations of others, click the symbol in the upper right-hand corner of the page.

14  Factor Analysis and Principal Component Analysis

“It can scarcely be denied that the supreme goal of all theory is to make the irreducible basic elements as simple and as few as possible without having to surrender the adequate representation of a single datum of experience.”

— Albert Einstein (1934, p. 165); sometimes paraphrased as “Everything should be made as simple as possible, but not simpler.”

14.1 Overview of Factor Analysis

Factor analysis is a class of latent variable models that is designated to identify the structure of a measure or set of measures, and ideally, a construct or set of constructs. It aims to identify the optimal latent structure for a group of variables. Factor analysis encompasses two general types: confirmatory factor analysis and exploratory factor analysis. Exploratory factor analysis (EFA) is a latent variable modeling approach that is used when the researcher has no a priori hypotheses about how a set of variables is structured. EFA seeks to identify the empirically optimal-fitting model in ways that balance accuracy (i.e., variance accounted for) and parsimony (i.e., simplicity). Confirmatory factor analysis (CFA) is a latent variable modeling approach that is used when a researcher wants to evaluate how well a hypothesized model fits, and the model can be examined in comparison to alternative models. Using a CFA approach, the researcher can pit models representing two theoretical frameworks against each other to see which better accounts for the observed data.

Factor analysis is considered to be a “pure” data-driven method for identifying the structure of the data, but the “truth” that we get depends heavily on the decisions we make regarding the parameters of our factor analysis (Floyd & Widaman, 1995; Sarstedt et al., 2024). The goal of factor analysis is to identify simple, parsimonious factors that underlie the “junk” (i.e., scores filled with measurement error) that we observe.

It used to take a long time to calculate a factor analysis because it was computed by hand. Now, it is fast to compute factor analysis with computers (e.g., oftentimes less than 30 ms). In the 1920s, Spearman developed factor analysis to understand the factor structure of intelligence. It was a long process—it took Spearman around one year to calculate the first factor analysis! Factor analysis takes a large dimension data set and simplifies it into a smaller set of factors that are thought to reflect underlying constructs. If you believe that nature is simple underneath, factor analysis gives nature a chance to display the simplicity that lives beneath the complexity on the surface. Spearman identified a single factor, g, that accounted for most of the covariation between the measures of intelligence.

Factor analysis involves observed (manifest) variables and unobserved (latent) factors. In a reflective model, it is assumed that the latent factor influences the manifest variables, and the latent factor therefore reflects the common (reliable) variance among the variables. A factor model potentially includes factor loadings, residuals (errors or disturbances), intercepts/means, covariances, and regression paths. A regression path indicates a hypothesis that one variable (or factor) influences another. The standardized regression coefficient represents the strength of association between the variables or factors. A factor loading is a regression path from a latent factor to an observed (manifest) variable. The standardized factor loading represents the strength of association between the variable and the latent factor. A residual is variance in a variable (or factor) that is unexplained by other variables or factors. An indicator’s intercept is the expected value of the variable when the factor(s) (onto which it loads) is equal to zero. Covariances are the associations between variables (or factors). A covariance path between two variables represents omitted shared cause(s) of the variables. For instance, if you depict a covariance path between two variables, it means that there is a shared cause of the two variables that is omitted from the model (for instance, if the common cause is not known or was not assessed).

In factor analysis, the relation between an indicator (\(\text{X}\)) and its underlying latent factor(s) (\(\text{F}\)) can be represented with a regression formula as in Equation 14.1:

\[ \text{X} = \lambda \cdot \text{F} + \text{Item Intercept} + \text{Error Term} \tag{14.1}\]

where:

  • \(\text{X}\) is the observed value of the indicator
  • \(\lambda\) is the factor loading, indicating the strength of the association between the indicator and the latent factor(s)
  • \(\text{F}\) is the person’s value on the latent factor(s)
  • \(\text{Item Intercept}\) represents the constant term that accounts for the expected value of the indicator when the latent factor(s) are zero
  • \(\text{Error Term}\) is the residual, indicating the extent of variance in the indicator that is not explained by the latent factor(s)

When the latent factors are uncorrelated, the (standardized) error term for an indicator is calculated as 1 minus the sum of squared standardized factor loadings for a given item (including cross-loadings).

Another class of factor analysis models are higher-order (or hierarchical) factor models and bifactor models. Guidelines in using higher-order factor and bifactor models are discussed by Markon (2019).

Factor analysis is a powerful technique to help identify the factor structure that underlies a measure or construct. As discussed in Section 14.1.4, however, there are many decisions to make in factor analysis, in addition to questions about which variables to use, how to scale the variables, etc. (Floyd & Widaman, 1995; Sarstedt et al., 2024). If the variables going into a factor analysis are not well assessed, factor analysis will not rescue the factor structure. In such situations, there is likely to be the problem of garbage in, garbage out. Factor analysis depends on the covariation among variables. Given the extensive method variance that measures have, factor analysis (and principal component analysis) tends to extract method factors. Method factors are factors that are related to the methods being assessed rather than the construct of interest. However, multitrait-multimethod approaches to factor analysis (such as in Section 14.4.2.13) help better partition the variance in variables that reflects method variance versus construct variance, to get more accurate estimates of constructs.

Floyd & Widaman (1995) provide an overview of factor analysis for the development of clinical assessments.

14.1.1 Example Factor Models from Correlation Matrices

Before pursuing factor analysis, it is helpful to evaluate the extent to which the variables are intercorrelated. If the variables are not correlated (or are correlated only weakly), there is no reason to believe that a common factor influences them, and thus factor analysis would not be useful. So, before conducting a factor analysis, it is important to examine the correlation matrix of the variables to determine whether the variables intercorrelate strongly enough to justify a factor analysis.

Below, I provide some example factor models from various correlation matrices. Analytical examples of factor analysis are presented in Section 14.4.

Consider the example correlation matrix in Figure 14.1. Because all of the correlations are the same (\(r = .60\)), we expect there is approximately one factor for this pattern of data.

Example Correlation Matrix 1.
Figure 14.1: Example Correlation Matrix 1.

In a single-factor model fit to these data, the factor loadings are .77 and the residual error terms are .40, as depicted in Figure 14.2. The amount of common variance (\(R^2\)) that is accounted for by an indicator is estimated as the square of the standardized loading: \(.60 = .77 \times .77\). The amount of error for an indicator is estimated as: \(\text{error} = 1 - \text{common variance}\), so in this case, the amount of error is: \(.40 = 1 - .60\). The proportion of the total variance in indicators that is accounted for by the latent factor is the sum of the square of the standardized loadings divided by the number of indicators. That is, to calculate the proportion of the total variance in the variables that is accounted for by the latent factor, you would square the loadings, sum them up, and divide by the number of variables: \(\frac{.77^2 + .77^2 + .77^2 + .77^2 + .77^2 + .77^2}{6} = \frac{.60 + .60 + .60 + .60 + .60 + .60}{6} = .60\). Thus, the latent factor accounts for 60% of the variance in the indicators. In this model, the latent factor explains the covariance among the variables. If the answer is simple, a small and parsimonious model should be able to obtain the answer.

Example Confirmatory Factor Analysis Model: Unidimensional Model.
Figure 14.2: Example Confirmatory Factor Analysis Model: Unidimensional Model.

Consider a different correlation matrix in Figure 14.3. There is no common variance (correlations between the variables are zero), so there is no reason to believe there is a common factor that influences all of the variables. Variables that are not correlated cannot be related by a third variable, such as a common factor, so a common factor is not the right model.

Example Correlation Matrix 2.
Figure 14.3: Example Correlation Matrix 2.

Consider another correlation matrix in Figure 14.4.

Example Correlation Matrix 3.
Figure 14.4: Example Correlation Matrix 3.

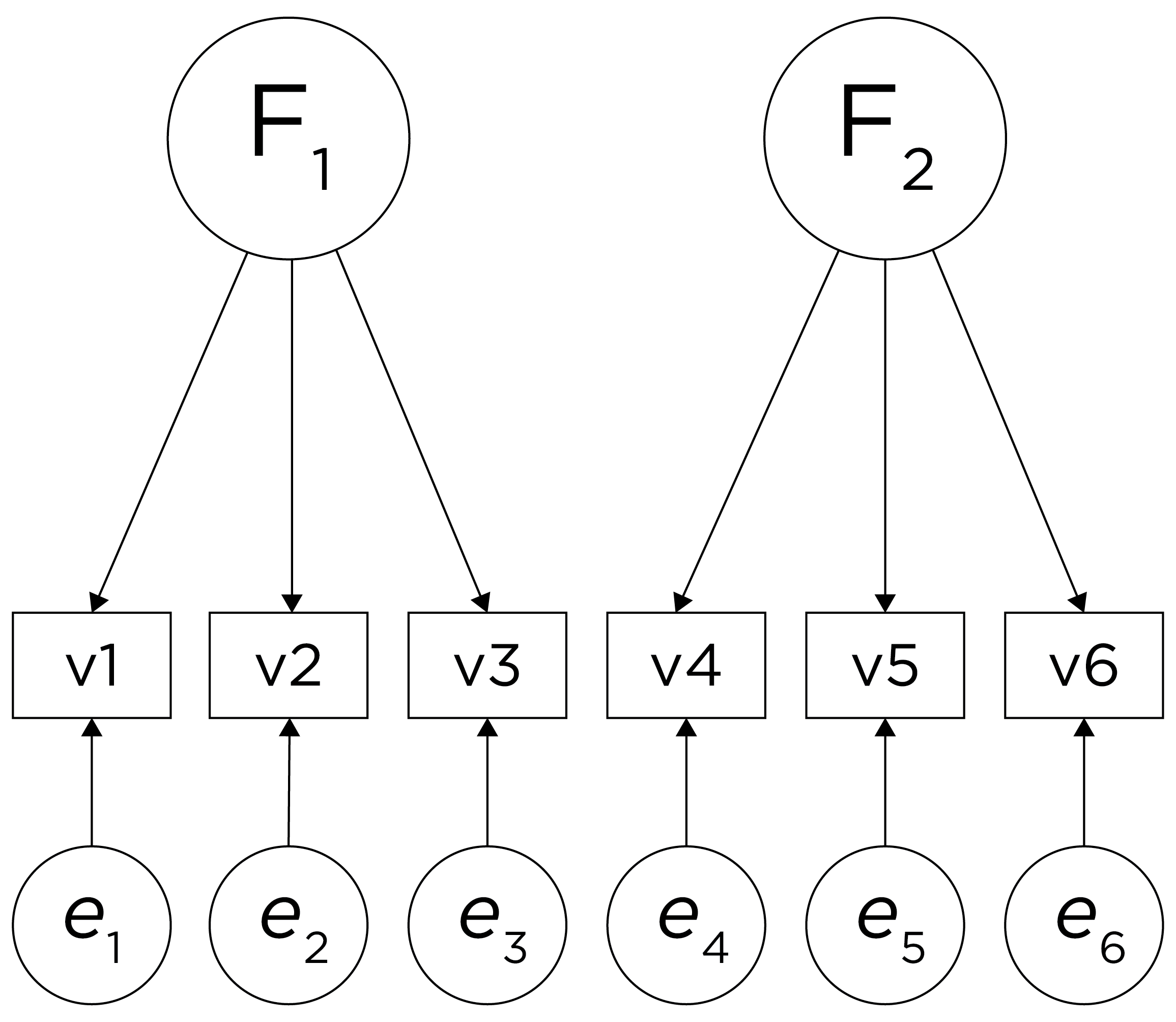
If you try to fit a single factor to this correlation matrix, it generates a factor model depicted in Figure 14.5. In this model, the first three variables have a factor loading of .77, but the remaining three variables have a factor loading of zero. This indicates that three remaining factors likely do not share a common factor with the first three variables.

Example Confirmatory Factor Analysis Model: Multidimensional Model.
Figure 14.5: Example Confirmatory Factor Analysis Model: Multidimensional Model.

Therefore, a one-factor model is probably not correct; instead, the structure of the data is probably best represented by a two-factor model, as depicted in Figure 14.6. In the model, Factor 1 explains why measures 1, 2, and 3 are correlated, whereas Factor 2 explains why measures 4, 5, and 6 are correlated. A two-factor model thus explains why measures 1, 2, and 3 are not correlated with measures 4, 5, and 6. In this model, each latent factor accounts for 60% of the variance in the indicators that load onto it: \(\frac{.77^2 + .77^2 + .77^2}{3} = \frac{.60 + .60 + .60}{3} = .60\). Each latent factor accounts for 30% of the variance in all of the indicators: \(\frac{.77^2 + .77^2 + .77^2 + 0^2 + 0^2 + 0^2}{6} = \frac{.60 + .60 + .60 + 0 + 0 + 0}{6} = .30\).

Example Confirmatory Factor Analysis Model: Two-Factor Model With Uncorrelated Factors.
Figure 14.6: Example Confirmatory Factor Analysis Model: Two-Factor Model With Uncorrelated Factors.

Consider another correlation matrix in Figure 14.7.

Example Correlation Matrix 4.
Figure 14.7: Example Correlation Matrix 4.

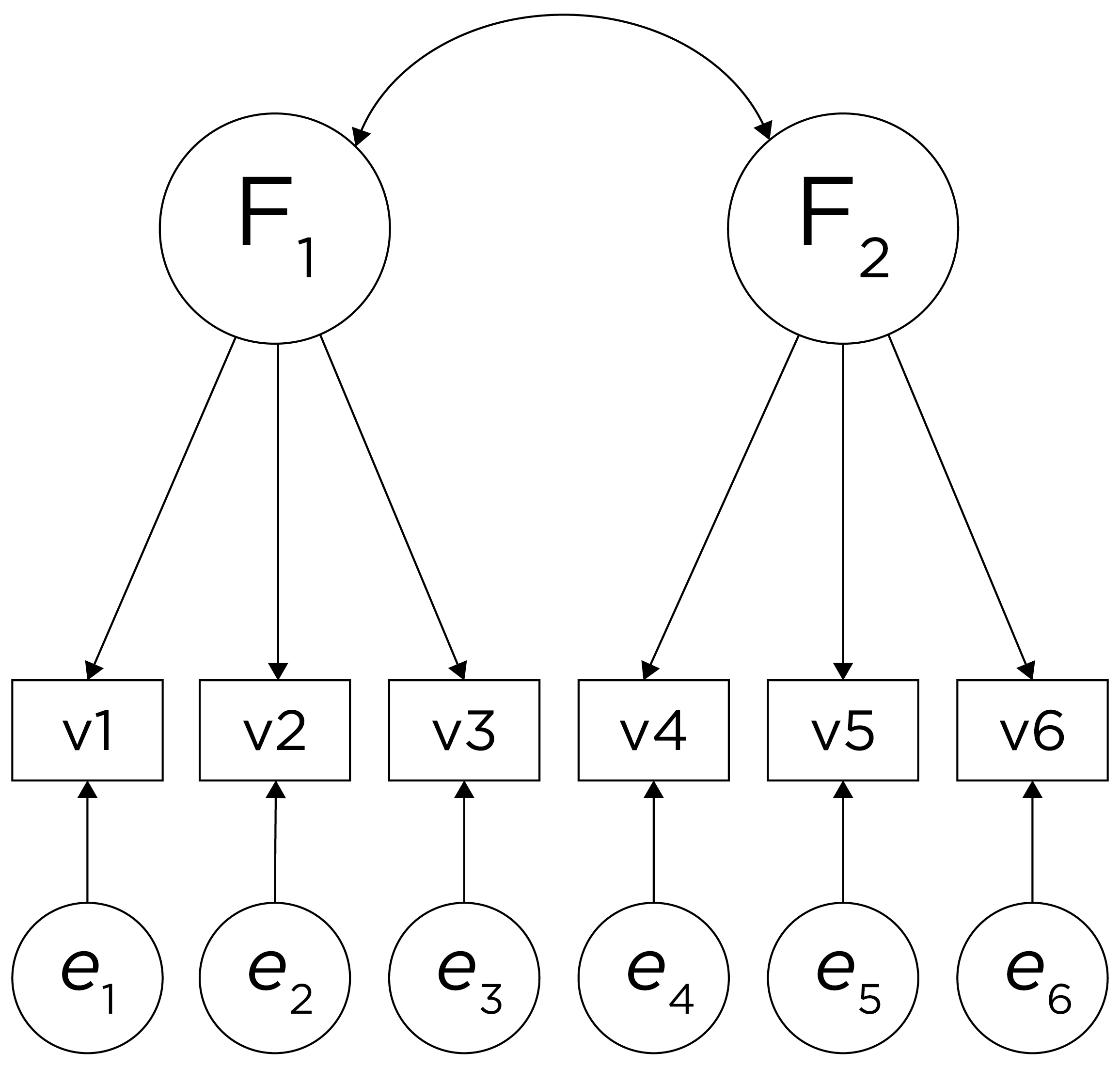
One way to model these data is depicted in Figure 14.8. In this model, the factor loadings are .77, the residual error terms are .40, and there is a covariance path of .50 for the association between Factor 1 and Factor 2. Going from the model to the correlation matrix is deterministic. If you know the model, you can calculate the correlation matrix. For instance, using path tracing rules (described in Section 4.1), the correlation of measures within a factor in this model is calculated as: \(0.60 = .77 \times .77\). Using path tracing rules, the correlation of measures across factors in this model is calculated as: \(.30 = .77 \times .50 \times .77\). In this model, each latent factor accounts for 60% of the variance in the indicators that load onto it: \(\frac{.77^2 + .77^2 + .77^2}{3} = \frac{.60 + .60 + .60}{3} = .60\). Each latent factor accounts for 37% of the variance in all of the indicators: \(\frac{.77^2 + .77^2 + .77^2 + (.50^2 \times .77^2) + (.50^2 \times .77^2) + (.50^2 \times .77^2)}{6} = \frac{.60 + .60 + .60 + .15 + .15 + .15}{6} = .37\).

Example Confirmatory Factor Analysis Model: Two-Factor Model With Correlated Factors.
Figure 14.8: Example Confirmatory Factor Analysis Model: Two-Factor Model With Correlated Factors.

Although going from the model to the correlation matrix is deterministic, going from the correlation matrix to the model is not deterministic. If you know the correlation matrix, there may be many possible models. For instance, the model could also be the one depicted in Figure 14.9, with factor loadings of .77, residual error terms of .40, a regression path of .50, and a disturbance term of .75. The proportion of variance in Factor 2 that is explained by Factor 1 is calculated as: \(.25 = .50 \times .50\). The disturbance term is calculated as \(.75 = 1 - (.50 \times .50) = 1 - .25\). In this model, each latent factor accounts for 60% of the variance in the indicators that load onto it: \(\frac{.77^2 + .77^2 + .77^2}{3} = \frac{.60 + .60 + .60}{3} = .60\). Factor 1 accounts for 15% of the variance in the indicators that load onto Factor 2: \(\frac{(.50^2 \times .77^2) + (.50^2 \times .77^2) + (.50^2 \times .77^2)}{3} = \frac{.15 + .15 + .15}{3} = .15\). This model has the exact same fit as the previous model, but it has different implications. Unlike the previous model, in this model, there is a “causal” pathway from Factor 1 to Factor 2. However, the causal effect of Factor 1 does not account for all of the variance in Factor 2 because the correlation is only .50.

Example Confirmatory Factor Analysis Model: Two-Factor Model With Regression Path.
Figure 14.9: Example Confirmatory Factor Analysis Model: Two-Factor Model With Regression Path.

Alternatively, something else (e.g., another factor) could be explaining the data that we have not considered, as depicted in Figure 14.10. This is a higher-order factor model, in which there is a higher-order factor (\(A_1\)) that influences both lower-order factors, Factor 1 (\(F_1\)) and Factor 2 (\(F_2\)). The factor loadings from the lower order factors to the manifest variables are .77, the factor loading from the higher-order factor to the lower-order factors is .71, and the residual error terms are .40. This model has the exact same fit as the previous models. The proportion of variance in a lower-order factor (\(F_1\) or \(F_2\)) that is explained by the higher-order factor (\(A_1\)) is calculated as: \(.50 = .71 \times .71\). The disturbance term is calculated as \(.50 = 1 - (.71 \times .71) = 1 - .50\). Using path tracing rules, the correlation of measures across factors in this model is calculated as: \(.30 = .77 \times .71 \times .71 \times .77\). In this model, the higher-order factor (\(A_1\)) accounts for 30% of the variance in the indicators: \(\frac{(.77^2 \times .71^2) + (.77^2 \times .71^2) + (.77^2 \times .71^2) + (.77^2 \times .71^2) + (.77^2 \times .71^2) + (.77^2 \times .71^2)}{6} = \frac{.30 + .30 + .30 + .30 + .30 + .30}{6} = .30\).

Example Confirmatory Factor Analysis Model: Higher-Order Factor Model.
Figure 14.10: Example Confirmatory Factor Analysis Model: Higher-Order Factor Model.

Alternatively, there could be a single factor that ties measures 1, 2, and 3 together and measures 4, 5, and 6 together, as depicted in Figure 14.11. In this model, the measures no longer have merely random error: measures 1, 2, and 3 have correlated residuals—that is, they share error variance (i.e., systematic error); likewise, measures 4, 5, and 6 have correlated residuals. This model has the exact same fit as the previous models. The amount of common variance (\(R^2\)) that is accounted for by an indicator is estimated as the square of the standardized loading: \(.30 = .55 \times .55\). The amount of error for an indicator is estimated as: \(\text{error} = 1 - \text{common variance}\), so in this case, the amount of error is: \(.70 = 1 - .30\). Using path tracing rules, the correlation of measures within a factor in this model is calculated as: \(.60 = (.55 \times .55) + (.70 \times .43 \times .70) + (.70 \times .43 \times .43 \times .70)\). The correlation of measures across factors in this model is calculated as: \(.30 = .55 \times .55\). In this model, the latent factor accounts for 30% of the variance in the indicators: \(\frac{.55^2 + .55^2 + .55^2 + .55^2 + .55^2 + .55^2}{6} = \frac{.30 + .30 + .30 + .30 + .30 + .30}{6} = .30\).

Example Confirmatory Factor Analysis Model: Unidimensional Model With Correlated Residuals.
Figure 14.11: Example Confirmatory Factor Analysis Model: Unidimensional Model With Correlated Residuals.

Alternatively, there could be a single factor that influences measures 1, 2, 3, 4, 5, and 6 in addition to a method bias factor (e.g., a particular measurement method, item stem, reverse-worded item, or another method bias) that influences measures 4, 5, and 6 equally, as depicted in Figure 14.12. In this model, measures 4, 5, and 6 have cross-loadings—that is, they load onto more than one latent factor. This model has the exact same fit as the previous models. The amount of common variance (\(R^2\)) that is accounted for by an indicator is estimated as the sum of the squared standardized loadings: \(.60 = .77 \times .77 = (.39 \times .39) + (.67 \times .67)\). The amount of error for an indicator is estimated as: \(\text{error} = 1 - \text{common variance}\), so in this case, the amount of error is: \(.40 = 1 - .60\). Using path tracing rules, the correlation of measures within a factor in this model is calculated as: \(.60 = (.77 \times .77) = (.39 \times .39) + (.67 \times .67)\). The correlation of measures across factors in this model is calculated as: \(.30 = .77 \times .39\). In this model, the first latent factor accounts for 37% of the variance in the indicators: \(\frac{.77^2 + .77^2 + .77^2 + .39^2 + .39^2 + .39^2}{6} = \frac{.59 + .59 + .59 + .15 + .15 + .15}{6} = .30\). The second latent factor accounts for 45% of the variance in its indicators: \(\frac{.67^2 + .67^2 + .67^2}{3} = \frac{.45 + .45 + .45}{3} = .45\).

Example Confirmatory Factor Analysis Model: Two-Factor Model With Cross-Loadings.
Figure 14.12: Example Confirmatory Factor Analysis Model: Two-Factor Model With Cross-Loadings.

14.1.2 Indeterminacy

There could be many more models that have the same fit to the data. Thus, factor analysis has indeterminacy because all of these models can explain these same data equally well, with all having different theoretical meaning. Factor indeterminacy reflects uncertainty (Rigdon et al., 2019a). The goal of factor analysis is for the model to look at the data and induce the model. However, most data matrices in real life are very complicated—much more complicated than in these examples.

This is why we do not calculate our own factor analysis by hand; use a stats program! It is important to think about the possibility of other models to determine how confident you can be in your data model. For every fully specified factor model—i.e., where the relevant paths are all defined, there is one and only one predictive data matrix (correlation matrix). However, each data matrix can produce many different factor models. Equivalent models are different models with the same degrees of freedom that have the same fit to the data—i.e., they generate the same model-implied covariance matrix and have the same fit indices. Rules for generating equivalent models are provided by Lee & Hershberger (1990). There is no way to distinguish which of these factor models is correct from the data matrix alone. Any given data matrix can predict an infinite number of factor models that accurately represent the data structure (Raykov & Marcoulides, 2001)—so we make decisions that determine what type of factor solution our data will yield. In general, factor indeterminacy—and the uncertainty it creates—tends to be greater in models with fewer items and where those items have smaller factor loadings and larger residual variances (Rigdon et al., 2019a). Conversely, factor indeterminacy is lower when there are many items per latent factor, and when loadings and factor correlations are strong (Rigdon et al., 2019b). Further, factor indeterminacy is compounded when creating factor scores for use in separate analyses [rather than estimating the associations within the same model; Rhemtulla & Savalei (2025); Rigdon et al. (2019a)]. Thus, where possible, it is preferable to estimate associations between factors and other variables within the same model.

Many models could explain your data, and there are many more models that do not explain the data. For equally good-fitting models, decide based on interpretability. If you have strong theory, decide based on theory and things outside of factor analysis!

14.1.3 Practical Considerations

There are important considerations for doing factor analysis in real life with complex data. Traditionally, researchers had to consider what kind of data they have, and they often assumed interval-level data even though data in psychology are often not interval data. In the past, factor analysis was not good with categorical and dichotomous (e.g., True/False) data because the variance then is largely determined by the mean. So, we need something more complicated for dichotomous data. More solutions are available now for factor analysis with ordinal and dichotomous data, but it is generally best to have at least four ordered categories to perform factor analysis.

The necessary sample size depends on the complexity of the true factor structure. If there is a strong single factor for 30 items, then \(N = 50\) is plenty. But if there are five factors and some correlated errors, then the sample size will need to be closer to ~5,000. Factor analysis can recover the truth when the world is simple. However, nature is often not simple, and it may end in the distortion of nature instead of nature itself.

Recommendations for factor analysis are described by Sellbom & Tellegen (2019).

14.1.4 Decisions to Make in Factor Analysis

There are many decisions to make in factor analysis (Floyd & Widaman, 1995; Sarstedt et al., 2024). These decisions can have important impacts on the resulting solution. Decisions include things such as:

  1. What variables to include in the model and how to scale them
  2. Method of factor extraction: factor analysis or PCA
  3. If factor analysis, the kind of factor analysis: EFA or CFA
  4. How many factors to retain
  5. If EFA or PCA, whether and how to rotate factors (factor rotation)
  6. Model selection and interpretation

14.1.4.1 1. Variables to Include and their Scaling

The first decision when conducting a factor analysis is which variables to include and the scaling of those variables. What factors (or components) you extract can differ widely depending on what variables you include in the analysis. For example, if you include many variables from the same source (e.g., self-report), it is possible that you will extract a factor that represents the common variance among the variables from that source (i.e., the self-reported variables). This would be considered a method factor, which works against the goal of estimating latent factors that represent the constructs of interest (as opposed to the measurement methods used to estimate those constructs).

An additional consideration is the scaling of the variables. Before performing a PCA, it is generally important to ensure that the variables included in the PCA are on the same scale. PCA seeks to identify components that explain variance in the data, so if the variables are not on the same scale, some variables may contribute considerably more variance than others. A common way of ensuring that variables are on the same scale is to standardize them using, for example, z-scores that have a mean of zero and standard deviation of one. By contrast, factor analysis can better accommodate variables that are on different scales.

14.1.4.2 2. Method of Factor Extraction

The second decision is to select the method of factor extraction. This is the algorithm that is going to try to identify factors. There are two main families of factor or component extraction: analytic or principal components. The principal components approach is called principal component analysis (PCA). PCA is not really a form factor analysis; rather, it is useful for data reduction (Lilienfeld et al., 2015). The analytic family includes factor analysis approaches such as principal axis factoring and maximum likelihood factor analysis. The distinction between factor analysis and PCA is depicted in Figure 14.13.

Distinction Between Factor Analysis and Principal Component Analysis.
Figure 14.13: Distinction Between Factor Analysis and Principal Component Analysis.
14.1.4.2.1 Principal Component Analysis

Principal component analysis (PCA) is used if you want to reduce your data matrix. PCA composites represent the variances of an observed measure in as economical a fashion as possible, with no latent underlying variables. The goal of PCA is to identify a smaller number of components that explain as much variance in a set of variables as possible. It is an atheoretical way to decompose a matrix. PCA involves decomposition of a correlation (or covariance) matrix into a set of eigenvectors, which are transformations of the old variables.

The eigenvectors attempt to simplify the data in the matrix. PCA takes the correlation matrix and identifies the weighted sum of all variables that does the best job at explaining variance: these are the principal components, also called eigenvectors. Principal components reflect optimally weighted sums. That is, eigenvectors are vectors of component loadings, representing how strongly each variable is associated with the component. In this way, PCA is a formative model (by contrast, factor analysis applies a reflective model).

PCA decomposes the data matrix into any number of components—as many as the number of variables, which will always account for all variance. After the model is fit, you can look at the results and discard the components which likely reflect error variance. Judgments about which factors to retain are based on empirical criteria in conjunction with theory to select a parsimonious number of components that account for the majority of variance.

The eigenvalue reflects the amount of variance explained by the component (eigenvector). When using a varimax (orthogonal) rotation, an eigenvalue for a component is calculated as the sum of squared standardized component loadings on that component. When using oblique rotation, however, the items explain more variance than is attributable to their factor loadings because the factors are correlated.

PCA pulls the first principal component out (i.e., the eigenvector that explains the most variance) and makes a new data matrix: i.e., new correlation matrix. Then the PCA pulls out the component that explains the next most variance—i.e., the eigenvector with the next largest eigenvalue, and it does this for all components, equal to the same number of variables. For instance, if there are six variables, it will iteratively extract an additional component up to six components. You can extract as many eigenvectors as there are variables. If you extract all six components, the data matrix left over will be the same as the correlation matrix in Figure 14.3. That is, the remaining variables (as part of the leftover data matrix) will be entirely uncorrelated with each other, because six components explain 100% of the variance from six variables. In other words, you can explain (6) variables with (6) new things!

However, it does no good if you have to use all (6) components because there is no data reduction from the original number of variables. When the goal is data reduction (as in PCA), the hope is that the first few components will explain most of the variance, so we can explain the variability in the data with fewer components than there are variables.

The sum of all eigenvalues is equal to the number of variables in the analysis. PCA does not have the same assumptions as factor analysis, which assumes that measures are partly from common variance and error. But if you estimate (6) eigenvectors and only keep (2), the model is a two-component model and whatever left becomes error. Therefore, PCA does not have the same assumptions as factor analysis, but it often ends up in the same place.

Most people who want to conduct a factor analysis use PCA, but PCA is not really factor analysis (Lilienfeld et al., 2015). PCA is what SPSS can do quickly. But computers are so fast now—just do a real factor analysis! Factor analysis better handles error than PCA—factor analysis assumes that what is in the variable is the combination of common construct variance and error. By contrast, PCA assumes that the measures have no measurement error.

14.1.4.2.2 Factor Analysis

Factor analysis is an analytic approach to factor extraction. Factor analysis is a special case of structural equation modeling (SEM). Factor analysis is an analytic technique that is interested in the factor structure of a measure or set of measures. Factor analysis is a theoretical approach that considers that there are latent theoretical constructs that influence the scores on particular variables. It assumes that part of the explanation for each variable is shared between variables (i.e., common variance), and that part of it is unique variance. The unique variance is considered error. In reality, part of the unique variance is random error and part of it is specific variance—systematic variance unique to the item, which may reflect either a unique facet of the construct or systematic error such as method bias that is specific to the item. The portion of common variance in an item (i.e., the portion of variance that is shared with other variables) is called communality, which is the proportion of the item’s variance that is explained by the latent factors (i.e., the \(R^2\) of an item). In factor analysis and PCA, communality of an item is estimated as the sum of squared standardized loadings for an item across all retained factors/components. The average variance extracted (AVE) is a factor-level index that represents the average communality across all items that load on a given factor. For an individual item, the unique variance (error + specific variance) is: \(1 - \text{communality}\). The common variance is thought to be a purer estimate of the latent construct than the total variance of the item, which includes error variance. However, the common variance includes all variance that is shared across all variables, including construct variance (i.e., true score variance) and systematic error such as method bias.

There are several types of factor analysis, including principal axis factoring and maximum likelihood factor analysis. Factor analysis can be used to test measurement/factorial invariance and for multitrait-multimethod designs. One example of a MTMM model in factor analysis is the correlated traits correlated methods model (Tackett et al., 2019).

There are several differences between (real) factor analysis versus PCA. Factor analysis has greater sophistication than PCA, but greater sophistication often results in greater assumptions. Factor analysis does not always work; the data may not always fit to a factor analysis model; therefore, use PCA as a second/last option. PCA can decompose any data matrix; it always works. It just requires one more participant than the number of variables analyzed. PCA is okay if you are not interested in the factor structure. PCA uses all variance of variables and assumes variables have no error, so it does not account for measurement error. PCA is good if you just want to form a linear composite and if the causal structure is formative (rather than reflective). However, if you are interested in the factor structure, use factor analysis (Widaman, 2018), which estimates a latent variable that accounts for the common variance and discards error variance. Factor analysis is useful for the identification of latent constructs—i.e., underlying dimensions or factors that explain (cause) scores on items.

14.1.4.3 3. EFA or CFA

A third decision is the kind of factor analysis to use: exploratory factor analysis (EFA) or confirmatory factor analysis (CFA).

14.1.4.3.1 Exploratory Factor Analysis (EFA)

Exploratory factor analysis (EFA) is used if you have no a priori hypotheses about the factor structure of the model, but you would like to understand the latent variables represented by your items.

EFA is partly induced from the data. You feed in the data and let the program build the factor model. You can set some parameters going in, including how to extract or rotate the factors. The factors are extracted from the data without specifying the number and pattern of loadings between the items and the latent factors (Bollen, 2002). All cross-loadings are freely estimated.

14.1.4.3.2 Confirmatory Factor Analysis (CFA)

Confirmatory factor analysis (CFA) is used to (dis)confirm a priori hypotheses about the factor structure of the model. CFA is a test of the hypothesis. In CFA, you specify the model and ask how well this model represents the data. The researcher specifies the number, meaning, associations, and pattern of free parameters in the factor loading matrix (Bollen, 2002). A key advantage of CFA is the ability to directly compare alternative models (i.e., factor structures), which is valuable for theory testing (Strauss & Smith, 2009). For instance, you could use CFA to test whether the variance in several measures’ scores is best explained with one factor or two factors. In CFA, cross-loadings are not estimated unless the researcher specifies them.

14.1.4.3.3 Exploratory Structural Equation Modeling (ESEM)

In real life, there is not a clear distinction between EFA and CFA. In CFA, researchers often set only half of the constraints, and let the data fill in the rest. Moreover, our initial hypothesized CFA model is often not a good fit to the data—especially for models with many items (Floyd & Widaman, 1995)—and requires modification for adequate fit, such as cross loadings and correlated residuals. Such modifications are often made based on empirical criteria (e.g., modification indices) rather than our initial hypothesis. In EFA, researchers often set constraints and assumptions. Moreover, the initial items for the EFA were selected by the researcher, who often has expectations about the number and types of factors that will be extracted. Thus, the line between EFA and CFA is often blurred. There is an exploratory–confirmatory continuum, and the important thing is to report which aspects of your modeling approach were exploratory and which were confirmatory.

EFA and CFA can be considered special cases of exploratory structural equation modeling (ESEM), which combines features of EFA, CFA, and SEM (Marsh et al., 2014). ESEM can include any combination of exploratory (i.e., EFA) and confirmatory (CFA) factors. ESEM, unlike traditional CFA models, typically estimates all cross-loadings—at least for the exploratory factors. If a CFA model without cross-loadings and correlated residuals fits as well as an ESEM model with all cross-loadings, the CFA model should be retained for its simplicity. However, ESEM models often fit better than CFA models because requiring no cross-loadings is an unrealistic expectation of items from many psychological instruments (Marsh et al., 2014). The correlations between factors tend to be positively biased when fitting CFA models without cross-loadings, which leads to challenges in using CFA to establish discriminant validity (Marsh et al., 2014). Thus, compared to CFA, ESEM has the potential to more accurately estimate factor correlations and establish discriminant validity (Marsh et al., 2014). Moreover, ESEM can be useful in a multitrait-multimethod framework. We provide examples of ESEM in Section 14.4.3.

14.1.4.4 4. How Many Factors to Retain

A goal of factor analysis and PCA is simplification or parsimony, while still explaining as much variance as possible. The hope is that you can have fewer factors that explain the associations between the variables than the number of observed variables. The fewer the number of factors retained, the greater the parsimony, but the greater the amount of information that is discarded (i.e., the less the variance accounted for in the variables). The more factors we retain, the less the amount of information that is discarded (i.e., more variance is accounted for in the variables), but the less the parsimony. But how do you decide on the number of factors (in factor analysis) or components (in PCA)?

There are a number of criteria that one can use to help determine how many factors/components to keep:

  • Kaiser-Guttman criterion (Kaiser, 1960): in PCA, components with eigenvalues greater than 1
  • Cattell’s scree test (Cattell, 1966): the “elbow” (inflection point) in a scree plot minus one; sometimes operationalized with optimal coordinates (OC) or the acceleration factor (AF)
  • Parallel analysis: factors that explain more variance than randomly simulated data
  • Very simple structure (VSS) criterion: larger is better
  • Velicer’s minimum average partial (MAP) test: smaller is better
  • Akaike information criterion (AIC): smaller is better
  • Bayesian information criterion (BIC): smaller is better
  • Sample size-adjusted BIC (SABIC): smaller is better
  • Root mean square error of approximation (RMSEA): smaller is better
  • Chi-square difference test: smaller is better; a significant test indicates that the more complex model is significantly better fitting than the less complex model
  • Standardized root mean square residual (SRMR): smaller is better
  • Comparative Fit Index (CFI): larger is better
  • Tucker Lewis Index (TLI): larger is better

There is not necessarily a “correct” criterion to use in determining how many factors to keep, so it is generally recommended that researchers use multiple criteria in combination with theory and interpretability.

A scree plot from a factor analysis or PCA provides lots of information. A scree plot has the factor number on the x-axis and the eigenvalue on the y-axis. The eigenvalue is the variance accounted for by a factor; when using a varimax (orthogonal) rotation, an eigenvalue (or factor variance) is calculated as the sum of squared standardized factor (or component) loadings on that factor. An example of a scree plot is in Figure 14.14.

Example of a Scree Plot.
Figure 14.14: Example of a Scree Plot.

The total variance is equal to the number of variables you have, so one eigenvalue is approximately one variable’s worth of variance. In a factor analysis and PCA, the first factor (or component) accounts for the most variance, the second factor accounts for the second-most variance, and so on. The more factors you add, the less variance is explained by the additional factor.

One criterion for how many factors to keep is the Kaiser-Guttman criterion. According to the Kaiser-Guttman criterion (Kaiser, 1960), you should keep any factors whose eigenvalue is greater than 1. That is, for the sake of simplicity, parsimony, and data reduction, you should take any factors that explain more than a single variable would explain. According to the Kaiser-Guttman criterion, we would keep three factors from Figure 14.14 that have eigenvalues greater than 1. The default in SPSS is to retain factors with eigenvalues greater than 1. However, keeping factors whose eigenvalue is greater than 1 is not the most correct rule. If you let SPSS do this, you may get many factors with eigenvalues around 1 (e.g., factors with an eigenvalue ~ 1.0001) that are not adding so much that it is worth the added complexity. The Kaiser-Guttman criterion usually results in keeping too many factors. Factors with small eigenvalues around 1 could reflect error shared across variables. For instance, factors with small eigenvalues could reflect method variance (i.e., method factor), such as a self-report factor that turns up as a factor in factor analysis, but that may be useless to you as a conceptual factor of a construct of interest.

Another criterion is Cattell’s scree test (Cattell, 1966), which involves selecting the number of factors from looking at the scree plot. “Scree” refers to the rubble of stones at the bottom of a mountain. According to Cattell’s scree test, you should keep the factors before the last steep drop in eigenvalues—i.e., the factors before the rubble, where the slope approaches zero. The beginning of the scree (or rubble), where the slope approaches zero, is called the “elbow” of a scree plot. Using Cattell’s scree test, you retain the number of factors that explain the most variance prior to the explained variance drop-off, because, ultimately, you want to include only as many factors in which you gain substantially more by the inclusion of these factors. That is, you would keep the number of factors at the elbow of the scree plot minus one. If the last steep drop occurs from Factor 4 to Factor 5 and the elbow is at Factor 5, we would keep four factors. In Figure 14.14, the last steep drop in eigenvalues occurs from Factor 3 to Factor 4; the elbow of the scree plot occurs at Factor 4. We would keep the number of factors at the elbow minus one. Thus, using Cattell’s scree test, we would keep three factors based on Figure 14.14.

There are more sophisticated ways of using a scree plot, but they usually end up at a similar decision. Examples of more sophisticated tests include parallel analysis and very simple structure (VSS) plots. In a parallel analysis, you examine where the eigenvalues from observed data and random data converge, so you do not retain a factor that explains less variance than would be expected by random chance. A parallel analysis can be helpful when you have many variables and one factor accounts for the majority of the variance such that the elbow is at Factor 2 (which would result in keeping one factor), but you have theoretical reasons to select more than one factor. An example in which parallel analysis may be helpful is with neurophysiological data. For instance, parallel analysis can be helpful when conducting temporo-spatial PCA of event-related potential (ERP) data in which you want to separate multiple time windows and multiple spatial locations despite a predominant signal during a given time window and spatial location (Dien, 2012).

In general, my recommendation is to use Cattell’s scree test, and then test the factor solutions with plus or minus one factor. You should never accept PCA components with eigenvalues less than one (or factors with eigenvalues less than zero), because they are likely to be largely composed of error. If you are using maximum likelihood factor analysis, you can compare the fit of various models with model fit criteria to see which model fits best for its parsimony. A model will always fit better when you add additional parameters or factors, so you examine if there is significant improvement in model fit when adding the additional factor—that is, we keep adding complexity until additional complexity does not buy us much. Always try a factor solution that is one less and one more than suggested by Cattell’s scree test to buffer your final solution because the purpose of factor analysis is to explain things and to have interpretability. Even if all rules or indicators suggest to keep X number of factors, maybe \(\pm\) one factor helps clarify things. Even though factor analysis is empirical, theory and interpretatability should also inform decisions.

14.1.4.5 5. Factor Rotation

The next step if using EFA or PCA is, possibly, to rotate the factors to make them more interpretable and simple, which is the whole goal. To interpret the results of a factor analysis, we examine the factor matrix. The columns refer to the different factors; the rows refer to the different observed variables. The cells in the table are the factor loadings—they are basically the correlation between the variable and the factor. Our goal is to achieve a model with simple structure because it is easily interpretable. Simple structure means that every variable loads perfectly on one and only one factor, as operationalized by a matrix of factor loadings with values of one and zero and nothing else. An example of a factor matrix that follows simple structure is depicted in Figure 14.15.

Example of a Factor Matrix That Follows Simple Structure.
Figure 14.15: Example of a Factor Matrix That Follows Simple Structure.

An example of a measurement model that follows simple structure is depicted in Figure 14.16. Each variable loads onto one and only one factor, which makes it easy to interpret the meaning of each factor, because a given factor represents the common variance among the items that load onto it.

Example of a Measurement Model That Follows Simple Structure. 'INT' = internalizing problems; 'EXT' = externalizing problems; 'TD' = thought-disordered problems.
Figure 14.16: Example of a Measurement Model That Follows Simple Structure. ‘INT’ = internalizing problems; ‘EXT’ = externalizing problems; ‘TD’ = thought-disordered problems.

However, pure simple structure only occurs in simulations, not in real-life data. In reality, our measurement model in an unrotated factor analysis model might look like the model in Figure 14.17. In this example, the measurement model does not show simple structure because the items have cross-loadings—that is, the items load onto more than one factor. The cross-loadings make it difficult to interpret the factors, because all of the items load onto all of the factors, so the factors are not very distinct from each other, which makes it difficult to interpret what the factors mean.

Example of a Measurement Model That Does Not Follow Simple Structure. 'INT' = internalizing problems; 'EXT' = externalizing problems; 'TD' = thought-disordered problems.
Figure 14.17: Example of a Measurement Model That Does Not Follow Simple Structure. ‘INT’ = internalizing problems; ‘EXT’ = externalizing problems; ‘TD’ = thought-disordered problems.

As a result of the challenges of interpretability caused by cross-loadings, factor rotations are often performed. An example of an unrotated factor matrix is in Figure 14.18.

Example of a Factor Matrix.
Figure 14.18: Example of a Factor Matrix.

In the example factor matrix in Figure 14.18, the factor analysis is not very helpful—it tells us very little because it did not distinguish between the two factors. The variables have similar loadings on Factor 1 and Factor 2. An example of a unrotated factor solution is in Figure 14.19. In the figure, all of the variables are in the midst of the quadrants—they are not on the factors’ axes. Thus, the factors are not very informative.

Example of an Unrotated Factor Solution.
Figure 14.19: Example of an Unrotated Factor Solution.

As a result, to improve the interpretability of the factor analysis, we can do what is called rotation. Rotation leverages the idea that there are infinite solutions to the factor analysis model that fit equally well. Rotation involves changing the orientation of the factors by changing the axes so that variables end up with very high (close to one or negative one) or very low (close to zero) loadings, so that it is clear which factors include which variables (and which factors each variable most strongly loads onto). That is, rotation rescales the factors and tries to identify the ideal solution (factor) for each variable. Rotation occurs by changing the variables’ loadings while keeping the structure of correlations among the variables intact (Field et al., 2012). Moreover, rotation does not change the variance explained by factors. Rotation searches for simple structure and keeps searching until it finds a minimum (i.e., the closest as possible to simple structure). After rotation, if the rotation was successful for imposing simple structure, each factor will have loadings close to one (or negative one) for some variables and close to zero for other variables. The goal of factor rotation is to achieve simple structure, to help make it easier to interpret the meaning of the factors.

To perform factor rotation, orthogonal rotations are often used. Orthogonal rotations make the rotated factors uncorrelated. An example of a commonly used orthogonal rotation is varimax rotation. Varimax rotation maximizes the sum of the variance of the squared loadings (i.e., so that items have either a very high or very low loading on a factor) and yields axes with a 90-degree angle.

An example of a factor matrix following an orthogonal rotation is depicted in Figure 14.20. An example of a factor solution following an orthogonal rotation is depicted in Figure 14.21.

Example of a Rotated Factor Matrix.
Figure 14.20: Example of a Rotated Factor Matrix.
Example of a Rotated Factor Solution.
Figure 14.21: Example of a Rotated Factor Solution.

An example of a factor matrix from SPSS following an orthogonal rotation is depicted in Figure 14.22.

Example of a Rotated Factor Matrix From SPSS.
Figure 14.22: Example of a Rotated Factor Matrix From SPSS.

An example of a factor structure from an orthogonal rotation is in Figure 14.23.

Example of a Factor Structure From an Orthogonal Rotation.
Figure 14.23: Example of a Factor Structure From an Orthogonal Rotation.

Sometimes, however, the two factors and their constituent variables may be correlated. Examples of two correlated factors may be depression and anxiety. When the two factors are correlated in reality, if we make them uncorrelated, this would result in an inaccurate model. Oblique rotation allows for factors to be correlated and yields axes with an angle of less than 90 degrees. However, if the factors have low correlation (e.g., .2 or less), you can likely continue with orthogonal rotation. Nevertheless, just because an oblique rotation allows for correlated factors does not mean that the factors will be correlated, so oblique rotation provides greater flexibility than orthogonal rotation. An example of a factor structure from an oblique rotation is in Figure 14.24. Results from an oblique rotation are more complicated than orthogonal rotation—they provide lots of output and are more complicated to interpret. In addition, oblique rotation might not yield a smooth answer if you have a relatively small sample size.

Example of a Factor Structure From an Oblique Rotation.
Figure 14.24: Example of a Factor Structure From an Oblique Rotation.

As an example of rotation based on interpretability, consider the Five-Factor Model of Personality (the Big Five), which goes by the acronym, OCEAN: Openness, Conscientiousness, Extraversion, Agreeableness, and Neuroticism. Although the five factors of personality are somewhat correlated, we can use rotation to ensure they are maximally independent. Upon rotation, extraversion and neuroticism are essentially uncorrelated, as depicted in Figure 14.25. The other pole of extraversion is intraversion and the other pole of neuroticism might be emotional stability or calmness.

Example of a Factor Rotation of Neuroticism and Extraversion.
Figure 14.25: Example of a Factor Rotation of Neuroticism and Extraversion.

Simple structure is achieved when each variable loads highly onto as few factors as possible (i.e., each item has only one significant or primary loading). Oftentimes this is not the case, so we choose our rotation method in order to decide if the factors can be correlated (an oblique rotation) or if the factors will be uncorrelated (an orthogonal rotation). If the factors are not correlated with each other, use an orthogonal rotation. The correlation between an item and a factor is a factor loading, which is simply a way to ask how much a variable is correlated with the underlying factor. However, its interpretation is more complicated if there are correlated factors!

An orthogonal rotation (e.g., varimax) can help with simplicity of interpretation because it seeks to yield simple structure without cross-loadings. Cross-loadings are instances where a variable loads onto multiple factors. My recommendation would always be to use an orthogonal rotation if you have reason to believe that finding simple structure in your data is possible; otherwise, the factors are extremely difficult to interpret—what exactly does a cross-loading even mean? However, you should always try an oblique rotation, too, to see how strongly the factors are correlated. If the factors are not correlated, an oblique rotation will resolve to yield similar results as an orthogonal rotation (and thus may be preferred over othogonal rotation given its flexibility). Examples of oblique rotations include oblimin and promax.

14.1.4.6 6. Model Selection and Interpretation

The next step of factor analysis is selecting and interpreting the model. One data matrix can lead to many different (correct) models—you must choose one based on the factor structure and theory. Use theory to interpret the model and label the factors. When interpreting others’ findings, do not rely just on the factor labels—look at the actual items to determine what they assess. What they are called matters much less than what the actual items are! This calls to mind the jingle-jangle fallacy. The jingle fallacy is the erroneous assumption that two different things are the same because they have the same label; the jangle fallacy is the erroneous assumption that two identical or near-identical things are different because they have different labels. Thus, it is important to evaluate the measures and what they actually assess, and not just to rely on labels and what they intend to assess.

14.1.5 The Downfall of Factor Analysis

The downfall of factor analysis is cross-validation. Cross-validating a factor structure would mean getting the same factor structure with a new sample. We want factor structures to show good replicability across samples. However, cross-validation often falls apart. The way to attempt to replicate a factor structure in an independent sample is to use CFA to set everything up and test the hypothesized factor structure in the independent sample.

14.1.6 What to Do with Factors

What can you do with factors once you have them? In SEM, factors have meaning. You can use them as predictors, mediators, moderators, or outcomes. And, using latent factors in SEM helps disattenuate associations for measurement error, as described in Section 5.6.3. People often want to use factors outside of SEM, but there is confusion here: When researchers find that three variables load onto Factor A, the researchers often combine those three using a sum or average—but this is not accurate. If you just add or average them, this ignores the factor loadings and the error. A mean or sum score is a measurement model that assumes that all items have the same factor loading (i.e., a loading of 1) and no error (residual of 0), which is unrealistic. Another solution is to form a linear composite by adding and weighting the variables by the factor loadings, which retains the differences in correlations (i.e., a weighted sum), but this still ignores the estimated error, so it still may not be generalizable and meaningful. At the same time, weighted sums may be less generalizable than unit-weighted composites where each variable is given equal weight (Garb & Wood, 2019; Wainer, 1976) because some variability in factor loadings likely reflects sampling error.

A comparison of various measurement models is in Table 14.1.

Table 14.1: Comparison of Various Measurement Models. “PCA” = principal component analysis; “CFA” = confirmatory factor analysis; “EFA” = exploratory factor analysis; “SEM” = structural equation modeling; “IRT” = item response theory.
Measurement Model Items’ Factor Loadings Items’ Residuals/Error
Mean/Sum Score All are the same (fixed to 1) Assumes items are measured without error (fixed to 0)
PCA or Weighted Mean/Sum Score Allowed to differ Assumes items are measured without error (fixed to 0)
Latent Variable Modeling (CFA, EFA, SEM, IRT) Allowed to differ Estimates error for each item

14.1.7 Missing Data Handling

The PCA default in SPSS is listwise deletion of missing data: if a participant is missing data on any variable, the subject gets excluded from the analysis, so you might end up with too few participants. Instead, use a correlation matrix with pairwise deletion for PCA with missing data. Maximum likelihood factor analysis can make use of all available data points for a participant, even if they are missing some data points. Mplus, which is often used for SEM and factor analysis, will notify you if you are removing many participants in CFA/EFA. The lavaan package (Rosseel et al., 2022) in R also notifies you if you are removing participants in CFA/SEM models.

14.1.8 Troubleshooting Improper Solutions

A PCA will always converge; however, a factor analysis model may not converge. If a factor analysis model does not converge, you will need to modify the model to get it to converge. Model identification is described here.

In addition, a factor analysis model may converge but be improper. For example, if the factor analysis model has a negative residual variance or correlation above 1, the model is improper. A negative residual variance is also called a Heywood case. Problematic parameters such as a negative residual variance or correlation above 1 can lead to problems with other parameters in the model. It is thus preferable to avoid or address improper solutions. A negative residual variance or correlation above 1 could be caused by a variety of things such as a misspecified model, too many factors, too few indicators per factor, or too few participants (relative to the complexity of the model). Another issue that could arise is a non-positive definite matrix. A non-positive definite matrix could also be caused by a variety of things such as multicollinearity or singularity, variables with zero variance, too many variables relative to the sample size, or too many factors.

Here are various ways you may troubleshoot improper solutions in factor analysis:

  • Modify the model to be a represent a truer representation of the data-generating process
  • Simplify the model
    • Estimate fewer paths/parameters
    • Reduce the number of factors estimated/extracted
    • Reduce the number of indicators included, either by removing variables or by parceling items (Little et al., 2002, 2013)
  • Increase the sample size
  • Increase the number of indicators per factor
  • Drop the offending item that has a negative residual variance (if theoretically justifiable because the item may be poorly performing)
  • Use different starting values
  • Test whether the negative residual variance is significantly different from zero; if not, can consider fixing it to zero (though this is not an ideal solution)
  • Examine the data (e.g., using a histogram) for possible outliers or for variables with minimal variance
  • Examine a correlation matrix of the data for variables that are insufficiently associated for estimating a latent factor, or for variables that are so strongly correlated to be redundant
  • Use regularization with constraints so the residual variances do not become negative

14.2 Getting Started

14.2.1 Load Libraries

Code
library("petersenlab") #to install: install.packages("remotes"); remotes::install_github("DevPsyLab/petersenlab")
library("lavaan")
library("psych")
library("corrplot")
library("nFactors")
library("semPlot")
library("lavaan")
library("semTools")
library("dagitty")
library("BifactorIndicesCalculator") #to install: install.packages("remotes"); remotes::install_github("ddueber/BifactorIndicesCalculator")
library("kableExtra")
library("MOTE")
library("tidyverse")
library("here")
library("tinytex")
library("knitr")
library("rmarkdown")

14.2.2 Load Data

14.2.3 Prepare Data

14.2.3.1 Add Missing Data

Adding missing data to dataframes helps make examples more realistic to real-life data and helps you get in the habit of programming to account for missing data. For reproducibility, I set the seed below. Using the same seed will yield the same answer every time. There is nothing special about this particular seed.

HolzingerSwineford1939 is a data set from the lavaan package (Rosseel et al., 2022) that contains mental ability test scores (x1x9) for seventh- and eighth-grade children.

Code
set.seed(52242)

varNames <- names(HolzingerSwineford1939)
dimensionsDf <- dim(HolzingerSwineford1939)
unlistedDf <- unlist(HolzingerSwineford1939)
unlistedDf[sample(
  1:length(unlistedDf),
  size = .15 * length(unlistedDf))] <- NA
HolzingerSwineford1939 <- as.data.frame(matrix(
  unlistedDf,
  ncol = dimensionsDf[2]))
names(HolzingerSwineford1939) <- varNames
vars <- c("x1","x2","x3","x4","x5","x6","x7","x8","x9")

14.3 Descriptive Statistics and Correlations

Before conducting a factor analysis, it is important examine descriptive statistics and correlations among variables.

14.3.1 Descriptive Statistics

Descriptive statistics are presented in Table 14.3.

Code
psych::describe(HolzingerSwineford1939[, vars])
Table 14.2: Descriptive Statistics.
Code
summaryTable <- HolzingerSwineford1939 %>% 
  dplyr::select(all_of(vars)) %>% 
  summarise(across(
    everything(),
    .fns = list(
      n = ~ length(na.omit(.)),
      missingness = ~ mean(is.na(.)) * 100,
      M = ~ mean(., na.rm = TRUE),
      SD = ~ sd(., na.rm = TRUE),
      min = ~ min(., na.rm = TRUE),
      max = ~ max(., na.rm = TRUE),
      skewness = ~ psych::skew(., na.rm = TRUE),
      kurtosis = ~ kurtosi(., na.rm = TRUE)),
    .names = "{.col}.{.fn}")) %>%  
  pivot_longer(
    cols = everything(),
    names_to = c("variable","index"),
    names_sep = "\\.") %>% 
  pivot_wider(
    names_from = index,
    values_from = value)

summaryTableTransposed <- summaryTable[-1] %>% 
  t() %>% 
  as.data.frame() %>% 
  setNames(summaryTable$variable) %>% 
  round(., digits = 2)

summaryTableTransposed
Table 14.3: Descriptive Statistics.

14.3.2 Correlations

Code
cor(
  HolzingerSwineford1939[,vars],
  use = "pairwise.complete.obs")
           x1          x2        x3        x4        x5        x6          x7
x1 1.00000000  0.31671519 0.4592132 0.4009470 0.3060026 0.3204367  0.04336147
x2 0.31671519  1.00000000 0.3373084 0.1474393 0.1925946 0.1686010 -0.08744963
x3 0.45921315  0.33730843 1.0000000 0.1770624 0.1504923 0.1930589  0.08771510
x4 0.40094704  0.14743932 0.1770624 1.0000000 0.7314651 0.6796334  0.14825470
x5 0.30600259  0.19259455 0.1504923 0.7314651 1.0000000 0.6931306  0.10592715
x6 0.32043667  0.16860100 0.1930589 0.6796334 0.6931306 1.0000000  0.09881660
x7 0.04336147 -0.08744963 0.0877151 0.1482547 0.1059272 0.0988166  1.00000000
x8 0.25775028  0.09357234 0.2012953 0.1297963 0.2134497 0.1856636  0.48743045
x9 0.34289304  0.20083617 0.3959389 0.1917355 0.2605835 0.1805793  0.34622036
           x8        x9
x1 0.25775028 0.3428930
x2 0.09357234 0.2008362
x3 0.20129535 0.3959389
x4 0.12979634 0.1917355
x5 0.21344970 0.2605835
x6 0.18566357 0.1805793
x7 0.48743045 0.3462204
x8 1.00000000 0.4637719
x9 0.46377193 1.0000000

Correlation matrices of various types using the cor.table() function from the petersenlab package (Petersen, 2025) are in Tables 14.4, 14.5, and 14.6.

Code
cor.table(
  HolzingerSwineford1939[,vars],
  dig = 2)

cor.table(
  HolzingerSwineford1939[,vars],
  type = "manuscript",
  dig = 2)

cor.table(
  HolzingerSwineford1939[,vars],
  type = "manuscriptBig",
  dig = 2)
Table 14.4: Correlation Matrix with r, n, and p-values.
x1 x2 x3 x4 x5 x6 x7 x8 x9
1. x1.r 1.00 .32*** .46*** .40*** .31*** .32*** .04 .26*** .34***
2. sig NA .00 .00 .00 .00 .00 .52 .00 .00
3. n 251 221 211 208 215 205 221 219 215
4. x2.r .32*** 1.00 .34*** .15* .19*** .17* -.09 .09 .20***
5. sig .00 NA .00 .03 .00 .01 .18 .16 .00
6. n 221 265 225 227 228 216 234 227 229
7. x3.r .46*** .34*** 1.00 .18* .15* .19* .09 .20*** .40***
8. sig .00 .00 NA .01 .03 .01 .19 .00 .00
9. n 211 225 255 211 215 206 227 219 220
10. x4.r .40*** .15* .18* 1.00 .73*** .68*** .15* .13† .19***
11. sig .00 .03 .01 NA .00 .00 .03 .06 .00
12. n 208 227 211 252 216 209 224 217 215
13. x5.r .31*** .19*** .15* .73*** 1.00 .69*** .11 .21*** .26***
14. sig .00 .00 .03 .00 NA .00 .11 .00 .00
15. n 215 228 215 216 259 217 226 222 219
16. x6.r .32*** .17* .19* .68*** .69*** 1.00 .10 .19* .18*
17. sig .00 .01 .01 .00 .00 NA .15 .01 .01
18. n 205 216 206 209 217 248 218 214 209
19. x7.r .04 -.09 .09 .15* .11 .10 1.00 .49*** .35***
20. sig .52 .18 .19 .03 .11 .15 NA .00 .00
21. n 221 234 227 224 226 218 266 231 226
22. x8.r .26*** .09 .20*** .13† .21*** .19* .49*** 1.00 .46***
23. sig .00 .16 .00 .06 .00 .01 .00 NA .00
24. n 219 227 219 217 222 214 231 259 222
25. x9.r .34*** .20*** .40*** .19*** .26*** .18* .35*** .46*** 1.00
26. sig .00 .00 .00 .00 .00 .01 .00 .00 NA
27. n 215 229 220 215 219 209 226 222 257
Table 14.5: Correlation Matrix with Asterisks for Significant Associations.
x1 x2 x3 x4 x5 x6 x7 x8 x9
1. x1 1.00
2. x2 .32*** 1.00
3. x3 .46*** .34*** 1.00
4. x4 .40*** .15* .18* 1.00
5. x5 .31*** .19*** .15* .73*** 1.00
6. x6 .32*** .17* .19* .68*** .69*** 1.00
7. x7 .04 -.09 .09 .15* .11 .10 1.00
8. x8 .26*** .09 .20*** .13† .21*** .19* .49*** 1.00
9. x9 .34*** .20*** .40*** .19*** .26*** .18* .35*** .46*** 1.00
Table 14.6: Correlation Matrix.
x1 x2 x3 x4 x5 x6 x7 x8 x9
1. x1 1.00
2. x2 .32 1.00
3. x3 .46 .34 1.00
4. x4 .40 .15 .18 1.00
5. x5 .31 .19 .15 .73 1.00
6. x6 .32 .17 .19 .68 .69 1.00
7. x7 .04 -.09 .09 .15 .11 .10 1.00
8. x8 .26 .09 .20 .13 .21 .19 .49 1.00
9. x9 .34 .20 .40 .19 .26 .18 .35 .46 1.00

Pairs panel plots were generated using the psych package (Revelle, 2022). Correlation plots were generated using the corrplot package (Wei & Simko, 2021).

A pairs panel plot is in Figure 14.26.

Code
pairs.panels(HolzingerSwineford1939[,vars])
Pairs Panel Plot.
Figure 14.26: Pairs Panel Plot.

A correlation plot is in Figure 14.27.

Code
corrplot(cor(
  HolzingerSwineford1939[,vars],
  use = "pairwise.complete.obs"))
Correlation Plot.
Figure 14.27: Correlation Plot.

14.3.3 Kaiser-Meyer-Oklin (KMO) Test

The Kaiser-Meyer-Oklin (KMO) measure of sampling adequacy (Kaiser, 1970; Kaiser & Rice, 1974) evaluates the extent to which a set of variables is suitable for factor analysis. It indicates the proportion of variance in your variables that might be caused by underlying factors, where a higher proportion indicates the data are potentially more suitable for factor analysis. The following criteria are used for evaluating KMO (Kaiser, 1974):

  • Above 0.90 - Marvelous
  • 0.80 to 0.90 - Meritorious
  • 0.7 to 0.80 - Average
  • 0.60 to 0.70 - Mediocre
  • 0.50 to 0.60 - Terrible
  • Below 0.50 - Unacceptable
Code
psych::KMO(HolzingerSwineford1939[,vars])
Kaiser-Meyer-Olkin factor adequacy
Call: psych::KMO(r = HolzingerSwineford1939[, vars])
Overall MSA =  0.74
MSA for each item = 
  x1   x2   x3   x4   x5   x6   x7   x8   x9 
0.77 0.78 0.74 0.72 0.74 0.82 0.58 0.68 0.78 

14.3.4 Determinant of a Correlation Matrix

The determinant of the correlation matrix represents the generalized variance among a set of items. It can also be calculated by multiplying all of the eigenvalues. The determinant of a correlation matrix can be used to evaluate the potential for multicollinearity, which can be problematic in factor analysis. To be able to invert the matrix for factor analysis, the determinant of the correlation matrix should be greater than zero. Thus, a practical heuristic for pursuing factor analysis is that the determinant should be greater than 0.00001 (Field et al., 2012). If the determinant is zero, you cannot invert the matrix because the matrix is singular and is not positive definite—i.e., one or more eigenvalues is zero. This may an indication that two or more variables are nearly perfectly correlated or have low variance, and may thus require removing and/or combining variables.

Code
corMatrix_HolzingerSwineford1939 <- cor(
  HolzingerSwineford1939[,vars],
  use = "pairwise.complete.obs")

det(corMatrix_HolzingerSwineford1939)
[1] 0.04714072

14.3.5 Bartlett’s Test of Sphericity

Bartlett’s test of sphericity evaluates whether the correlations between the variables are significantly different from zero. A significant Bartlett’s test indicates that the correlations between the variables significantly differ from zero and that factor analysis may be able to be used.

Code
psych::cortest.bartlett(corMatrix_HolzingerSwineford1939)
$chisq
[1] 290.6978

$p.value
[1] 1.378106e-41

$df
[1] 36

14.4 Factor Analysis

14.4.1 Exploratory Factor Analysis (EFA)

I introduced exploratory factor analysis (EFA) models in Section 14.1.4.3.1.

14.4.1.1 Determine number of factors

Determine the number of factors to retain using the Scree plot and Very Simple Structure plot.

14.4.1.1.1 Scree Plot

Scree plots were generated using the psych (Revelle, 2022) and nFactors (Raiche & Magis, 2020) packages. The optimal coordinates and the acceleration factor attempt to operationalize the Cattell scree test: i.e., the “elbow” of the scree plot (Ruscio & Roche, 2012). The optimal coordinators factor is quantified using a series of linear equations to determine whether observed eigenvalues exceed the predicted values. The acceleration factor is quantified using the acceleration of the curve, that is, the second derivative. The Kaiser-Guttman rule states to keep principal components whose eigenvalues are greater than 1. However, for exploratory factor analysis (as opposed to PCA), the criterion is to keep the factors whose eigenvalues are greater than zero (i.e., not the factors whose eigenvalues are greater than 1) (Dinno, 2014).

The number of factors to keep would depend on which criteria one uses. Based on the rule to keep factors whose eigenvalues are greater than zero and based on the parallel test, we would keep three factors. However, based on the Cattell scree test (as operationalized by the optimal coordinates and acceleration factor), we would keep one factor. Therefore, interpretability of the factors would be important for deciding between whether to keep one, two, or three factors.

A scree plot from a parallel analysis is in Figure 14.28.

Code
fa.parallel(
  x = HolzingerSwineford1939[,vars],
  fm = "ml",
  fa = "fa")
Parallel analysis suggests that the number of factors =  3  and the number of components =  NA 
Scree Plot from Parallel Analysis in Exploratory Factor Analysis.
Figure 14.28: Scree Plot from Parallel Analysis in Exploratory Factor Analysis.

A scree plot from EFA is in Figure 14.29.

Code
screeDataEFA <- nScree(
  x = cor(
    HolzingerSwineford1939[,vars],
    use = "pairwise.complete.obs"),
  model = "factors")

plotnScree(screeDataEFA)
Scree Plot in Exploratory Factor Analysis.
Figure 14.29: Scree Plot in Exploratory Factor Analysis.
14.4.1.1.2 Very Simple Structure (VSS) Plot

The very simple structure (VSS) is another criterion that can be used to determine the optimal number of factors or components to retain. Using the VSS criterion, the optimal number of factors to retain is the number of factors that maximizes the VSS criterion (Revelle & Rocklin, 1979). The VSS criterion is evaluated with models in which factor loadings for a given item that are less than the maximum factor loading for that item are suppressed to zero, thus forcing simple structure (i.e., no cross-loadings). The goal is finding a factor structure with interpretability so that factors are clearly distinguishable. Thus, we want to identify the number of factors with the highest VSS criterion (i.e., the highest line). Very simple structure (VSS) plots were generated using the psych package (Revelle, 2022).

The output also provides additional criteria by which to determine the optimal number of factors, each for which lower values are better, including the Velicer minimum average partial (MAP) test, the Bayesian information criterion (BIC), the sample size-adjusted BIC (SABIC), and the root mean square error of approximation (RMSEA).

14.4.1.1.2.1 Orthogonal (Varimax) rotation

In the example with orthogonal rotation below, the VSS criterion is highest with 3 or 4 factors. A three-factor solution is supported by the lowest BIC, whereas a four-factor solution is supported by the lowest SABIC.

A VSS plot is in Figure 14.30.

Code
vss(
  HolzingerSwineford1939[,vars],
  rotate = "varimax",
  fm = "ml")

Very Simple Structure
Call: vss(x = HolzingerSwineford1939[, vars], rotate = "varimax", fm = "ml")
VSS complexity 1 achieves a maximimum of 0.7  with  4  factors
VSS complexity 2 achieves a maximimum of 0.84  with  3  factors

The Velicer MAP achieves a minimum of 0.07  with  2  factors 
BIC achieves a minimum of  -32.61  with  3  factors
Sample Size adjusted BIC achieves a minimum of  -5.65  with  4  factors

Statistics by number of factors 
  vss1 vss2   map dof   chisq    prob sqresid  fit RMSEA   BIC  SABIC complex
1 0.57 0.00 0.078  27 3.2e+02 2.3e-52     7.1 0.57 0.191 168.4 254.05     1.0
2 0.64 0.76 0.067  19 1.4e+02 1.2e-20     3.9 0.76 0.146  32.5  92.75     1.2
3 0.69 0.84 0.071  12 3.6e+01 3.4e-04     2.1 0.87 0.081 -32.6   5.45     1.3
4 0.69 0.83 0.125   6 9.6e+00 1.4e-01     2.0 0.88 0.044 -24.7  -5.65     1.4
5 0.67 0.81 0.199   1 1.8e+00 1.8e-01     1.6 0.90 0.050  -3.9  -0.77     1.5
6 0.70 0.82 0.403  -3 2.6e-08      NA     1.6 0.91    NA    NA     NA     1.5
7 0.66 0.78 0.447  -6 5.2e-13      NA     1.4 0.91    NA    NA     NA     1.6
8 0.65 0.74 1.000  -8 0.0e+00      NA     1.3 0.92    NA    NA     NA     1.7
   eChisq    SRMR eCRMS  eBIC
1 2.8e+02 1.1e-01 0.130 121.1
2 8.1e+01 6.1e-02 0.084 -27.3
3 5.9e+00 1.6e-02 0.029 -62.6
4 2.3e+00 1.0e-02 0.025 -32.0
5 4.0e-01 4.3e-03 0.026  -5.3
6 6.5e-09 5.5e-07    NA    NA
7 1.1e-13 2.2e-09    NA    NA
8 1.1e-16 7.0e-11    NA    NA
Very Simple Structure Plot With Orthogonal Rotation in Exploratory Factor Analysis.
Figure 14.30: Very Simple Structure Plot With Orthogonal Rotation in Exploratory Factor Analysis.

Multiple VSS-related fit indices are in Figure 14.31.

Code
nfactors(
  HolzingerSwineford1939[,vars],
  rotate = "varimax",
  fm = "ml")

Number of factors
Call: vss(x = x, n = n, rotate = rotate, diagonal = diagonal, fm = fm, 
    n.obs = n.obs, plot = FALSE, title = title, use = use, cor = cor)
VSS complexity 1 achieves a maximimum of Although the vss.max shows  6  factors, it is probably more reasonable to think about  4  factors
VSS complexity 2 achieves a maximimum of 0.84  with  3  factors
The Velicer MAP achieves a minimum of 0.07  with  2  factors 
Empirical BIC achieves a minimum of  -62.59  with  3  factors
Sample Size adjusted BIC achieves a minimum of  -5.65  with  4  factors

Statistics by number of factors 
  vss1 vss2   map dof   chisq    prob sqresid  fit RMSEA   BIC  SABIC complex
1 0.57 0.00 0.078  27 3.2e+02 2.3e-52     7.1 0.57 0.191 168.4 254.05     1.0
2 0.64 0.76 0.067  19 1.4e+02 1.2e-20     3.9 0.76 0.146  32.5  92.75     1.2
3 0.69 0.84 0.071  12 3.6e+01 3.4e-04     2.1 0.87 0.081 -32.6   5.45     1.3
4 0.69 0.83 0.125   6 9.6e+00 1.4e-01     2.0 0.88 0.044 -24.7  -5.65     1.4
5 0.67 0.81 0.199   1 1.8e+00 1.8e-01     1.6 0.90 0.050  -3.9  -0.77     1.5
6 0.70 0.82 0.403  -3 2.6e-08      NA     1.6 0.91    NA    NA     NA     1.5
7 0.66 0.78 0.447  -6 5.2e-13      NA     1.4 0.91    NA    NA     NA     1.6
8 0.65 0.74 1.000  -8 0.0e+00      NA     1.3 0.92    NA    NA     NA     1.7
9 0.66 0.82    NA  -9 4.4e+01      NA     2.5 0.85    NA    NA     NA     1.3
   eChisq    SRMR eCRMS  eBIC
1 2.8e+02 1.1e-01 0.130 121.1
2 8.1e+01 6.1e-02 0.084 -27.3
3 5.9e+00 1.6e-02 0.029 -62.6
4 2.3e+00 1.0e-02 0.025 -32.0
5 4.0e-01 4.3e-03 0.026  -5.3
6 6.5e-09 5.5e-07    NA    NA
7 1.1e-13 2.2e-09    NA    NA
8 1.1e-16 7.0e-11    NA    NA
9 1.1e+01 2.2e-02    NA    NA
Very Simple Structure-Related Indices With Orthogonal Rotation in Exploratory Factor Analysis.
Figure 14.31: Very Simple Structure-Related Indices With Orthogonal Rotation in Exploratory Factor Analysis.
14.4.1.1.2.2 Oblique (Oblimin) rotation

In the example with oblique rotation below, the VSS criterion is highest with 3 factors. A three-factor solution is supported by the lowest BIC.

A VSS plot is in Figure 14.32.

Code
vss(
  HolzingerSwineford1939[,vars],
  rotate = "oblimin",
  fm = "ml")

Very Simple Structure
Call: vss(x = HolzingerSwineford1939[, vars], rotate = "oblimin", fm = "ml")
VSS complexity 1 achieves a maximimum of 0.69  with  3  factors
VSS complexity 2 achieves a maximimum of 0.77  with  3  factors

The Velicer MAP achieves a minimum of 0.07  with  2  factors 
BIC achieves a minimum of  -32.61  with  3  factors
Sample Size adjusted BIC achieves a minimum of  -5.65  with  4  factors

Statistics by number of factors 
  vss1 vss2   map dof   chisq    prob sqresid  fit RMSEA   BIC  SABIC complex
1 0.57 0.00 0.078  27 3.2e+02 2.3e-52     7.1 0.57 0.191 168.4 254.05     1.0
2 0.64 0.70 0.067  19 1.4e+02 1.2e-20     4.9 0.70 0.146  32.5  92.75     1.2
3 0.69 0.77 0.071  12 3.6e+01 3.4e-04     3.6 0.78 0.081 -32.6   5.45     1.2
4 0.53 0.69 0.125   6 9.6e+00 1.4e-01     4.8 0.71 0.044 -24.7  -5.65     1.4
5 0.50 0.64 0.199   1 1.8e+00 1.8e-01     5.3 0.68 0.050  -3.9  -0.77     1.5
6 0.41 0.55 0.403  -3 2.6e-08      NA     6.1 0.63    NA    NA     NA     1.8
7 0.42 0.53 0.447  -6 0.0e+00      NA     6.8 0.59    NA    NA     NA     1.5
8 0.44 0.49 1.000  -8 0.0e+00      NA     7.5 0.55    NA    NA     NA     1.5
   eChisq    SRMR eCRMS  eBIC
1 2.8e+02 1.1e-01 0.130 121.1
2 8.1e+01 6.1e-02 0.084 -27.3
3 5.9e+00 1.6e-02 0.029 -62.6
4 2.3e+00 1.0e-02 0.025 -32.0
5 4.0e-01 4.3e-03 0.026  -5.3
6 6.5e-09 5.5e-07    NA    NA
7 1.1e-13 2.2e-09    NA    NA
8 1.1e-16 7.0e-11    NA    NA
Very Simple Structure Plot With Oblique Rotation in Exploratory Factor Analysis.
Figure 14.32: Very Simple Structure Plot With Oblique Rotation in Exploratory Factor Analysis.

Multiple VSS-related fit indices are in Figure 14.33.

Code
nfactors(
  HolzingerSwineford1939[,vars],
  rotate = "oblimin",
  fm = "ml")

Number of factors
Call: vss(x = x, n = n, rotate = rotate, diagonal = diagonal, fm = fm, 
    n.obs = n.obs, plot = FALSE, title = title, use = use, cor = cor)
VSS complexity 1 achieves a maximimum of 0.69  with  3  factors
VSS complexity 2 achieves a maximimum of 0.77  with  3  factors
The Velicer MAP achieves a minimum of 0.07  with  2  factors 
Empirical BIC achieves a minimum of  -62.59  with  3  factors
Sample Size adjusted BIC achieves a minimum of  -5.65  with  4  factors

Statistics by number of factors 
  vss1 vss2   map dof   chisq    prob sqresid  fit RMSEA   BIC  SABIC complex
1 0.57 0.00 0.078  27 3.2e+02 2.3e-52     7.1 0.57 0.191 168.4 254.05     1.0
2 0.64 0.70 0.067  19 1.4e+02 1.2e-20     4.9 0.70 0.146  32.5  92.75     1.2
3 0.69 0.77 0.071  12 3.6e+01 3.4e-04     3.6 0.78 0.081 -32.6   5.45     1.2
4 0.53 0.69 0.125   6 9.6e+00 1.4e-01     4.8 0.71 0.044 -24.7  -5.65     1.4
5 0.50 0.64 0.199   1 1.8e+00 1.8e-01     5.3 0.68 0.050  -3.9  -0.77     1.5
6 0.41 0.55 0.403  -3 2.6e-08      NA     6.1 0.63    NA    NA     NA     1.8
7 0.42 0.53 0.447  -6 0.0e+00      NA     6.8 0.59    NA    NA     NA     1.5
8 0.44 0.49 1.000  -8 0.0e+00      NA     7.5 0.55    NA    NA     NA     1.5
9 0.65 0.72    NA  -9 4.4e+01      NA     4.5 0.73    NA    NA     NA     1.2
   eChisq    SRMR eCRMS  eBIC
1 2.8e+02 1.1e-01 0.130 121.1
2 8.1e+01 6.1e-02 0.084 -27.3
3 5.9e+00 1.6e-02 0.029 -62.6
4 2.3e+00 1.0e-02 0.025 -32.0
5 4.0e-01 4.3e-03 0.026  -5.3
6 6.5e-09 5.5e-07    NA    NA
7 1.1e-13 2.2e-09    NA    NA
8 1.1e-16 7.0e-11    NA    NA
9 1.1e+01 2.2e-02    NA    NA
Very Simple Structure-Related Indices With Oblique Rotation in Exploratory Factor Analysis.
Figure 14.33: Very Simple Structure-Related Indices With Oblique Rotation in Exploratory Factor Analysis.
14.4.1.1.2.3 No rotation

In the example with no rotation below, the VSS criterion is highest with 3 or 4 factors. A three-factor solution is supported by the lowest BIC, whereas a four-factor solution is supported by the lowest SABIC.

A VSS plot is in Figure 14.34.

Code
nfactors(
  HolzingerSwineford1939[,vars],
  rotate = "none",
  fm = "ml")

Number of factors
Call: vss(x = x, n = n, rotate = rotate, diagonal = diagonal, fm = fm, 
    n.obs = n.obs, plot = FALSE, title = title, use = use, cor = cor)
VSS complexity 1 achieves a maximimum of 0.62  with  2  factors
VSS complexity 2 achieves a maximimum of 0.8  with  5  factors
The Velicer MAP achieves a minimum of 0.07  with  2  factors 
Empirical BIC achieves a minimum of  -62.59  with  3  factors
Sample Size adjusted BIC achieves a minimum of  -5.65  with  4  factors

Statistics by number of factors 
  vss1 vss2   map dof   chisq    prob sqresid  fit RMSEA   BIC  SABIC complex
1 0.57 0.00 0.078  27 3.2e+02 2.3e-52     7.1 0.57 0.191 168.4 254.05     1.0
2 0.62 0.76 0.067  19 1.4e+02 1.2e-20     3.9 0.76 0.146  32.5  92.75     1.5
3 0.61 0.77 0.071  12 3.6e+01 3.4e-04     2.1 0.87 0.081 -32.6   5.45     1.9
4 0.62 0.77 0.125   6 9.6e+00 1.4e-01     2.0 0.88 0.044 -24.7  -5.65     1.8
5 0.44 0.80 0.199   1 1.8e+00 1.8e-01     1.6 0.90 0.050  -3.9  -0.77     2.3
6 0.57 0.69 0.403  -3 2.6e-08      NA     1.6 0.91    NA    NA     NA     2.4
7 0.61 0.77 0.447  -6 5.2e-13      NA     1.4 0.91    NA    NA     NA     2.2
8 0.62 0.77 1.000  -8 0.0e+00      NA     1.3 0.92    NA    NA     NA     2.3
9 0.56 0.74    NA  -9 4.4e+01      NA     2.5 0.85    NA    NA     NA     2.0
   eChisq    SRMR eCRMS  eBIC
1 2.8e+02 1.1e-01 0.130 121.1
2 8.1e+01 6.1e-02 0.084 -27.3
3 5.9e+00 1.6e-02 0.029 -62.6
4 2.3e+00 1.0e-02 0.025 -32.0
5 4.0e-01 4.3e-03 0.026  -5.3
6 6.5e-09 5.5e-07    NA    NA
7 1.1e-13 2.2e-09    NA    NA
8 1.1e-16 7.0e-11    NA    NA
9 1.1e+01 2.2e-02    NA    NA
Very Simple Structure Plot With no Rotation in Exploratory Factor Analysis.
Figure 14.34: Very Simple Structure Plot With no Rotation in Exploratory Factor Analysis.

Multiple VSS-related fit indices are in Figure 14.35.

Code
nfactors(
  HolzingerSwineford1939[,vars],
  rotate = "none",
  fm = "ml")

Number of factors
Call: vss(x = x, n = n, rotate = rotate, diagonal = diagonal, fm = fm, 
    n.obs = n.obs, plot = FALSE, title = title, use = use, cor = cor)
VSS complexity 1 achieves a maximimum of 0.62  with  2  factors
VSS complexity 2 achieves a maximimum of 0.8  with  5  factors
The Velicer MAP achieves a minimum of 0.07  with  2  factors 
Empirical BIC achieves a minimum of  -62.59  with  3  factors
Sample Size adjusted BIC achieves a minimum of  -5.65  with  4  factors

Statistics by number of factors 
  vss1 vss2   map dof   chisq    prob sqresid  fit RMSEA   BIC  SABIC complex
1 0.57 0.00 0.078  27 3.2e+02 2.3e-52     7.1 0.57 0.191 168.4 254.05     1.0
2 0.62 0.76 0.067  19 1.4e+02 1.2e-20     3.9 0.76 0.146  32.5  92.75     1.5
3 0.61 0.77 0.071  12 3.6e+01 3.4e-04     2.1 0.87 0.081 -32.6   5.45     1.9
4 0.62 0.77 0.125   6 9.6e+00 1.4e-01     2.0 0.88 0.044 -24.7  -5.65     1.8
5 0.44 0.80 0.199   1 1.8e+00 1.8e-01     1.6 0.90 0.050  -3.9  -0.77     2.3
6 0.57 0.69 0.403  -3 2.6e-08      NA     1.6 0.91    NA    NA     NA     2.4
7 0.61 0.77 0.447  -6 5.2e-13      NA     1.4 0.91    NA    NA     NA     2.2
8 0.62 0.77 1.000  -8 0.0e+00      NA     1.3 0.92    NA    NA     NA     2.3
9 0.56 0.74    NA  -9 4.4e+01      NA     2.5 0.85    NA    NA     NA     2.0
   eChisq    SRMR eCRMS  eBIC
1 2.8e+02 1.1e-01 0.130 121.1
2 8.1e+01 6.1e-02 0.084 -27.3
3 5.9e+00 1.6e-02 0.029 -62.6
4 2.3e+00 1.0e-02 0.025 -32.0
5 4.0e-01 4.3e-03 0.026  -5.3
6 6.5e-09 5.5e-07    NA    NA
7 1.1e-13 2.2e-09    NA    NA
8 1.1e-16 7.0e-11    NA    NA
9 1.1e+01 2.2e-02    NA    NA
Very Simple Structure-Related Indices With no Rotation in Exploratory Factor Analysis.
Figure 14.35: Very Simple Structure-Related Indices With no Rotation in Exploratory Factor Analysis.

14.4.1.2 Run factor analysis

Exploratory factor analysis (EFA) models were fit using the fa() function of the psych package (Revelle, 2022) and the sem() and efa() functions of the lavaan package (Rosseel et al., 2022).

14.4.1.2.1 Orthogonal (Varimax) rotation
14.4.1.2.1.1 psych

Fit a different model with each number of possible factors:

Code
efa1factorOrthogonal <- fa(
  r = HolzingerSwineford1939[,vars],
  nfactors = 1,
  rotate = "varimax",
  fm = "ml")

efa2factorOrthogonal <- fa(
  r = HolzingerSwineford1939[,vars],
  nfactors = 2,
  rotate = "varimax",
  fm = "ml")

efa3factorOrthogonal <- fa(
  r = HolzingerSwineford1939[,vars],
  nfactors = 3,
  rotate = "varimax",
  fm = "ml")

efa4factorOrthogonal <- fa(
  r = HolzingerSwineford1939[,vars],
  nfactors = 4,
  rotate = "varimax",
  fm = "ml")

efa5factorOrthogonal <- fa(
  r = HolzingerSwineford1939[,vars],
  nfactors = 5,
  rotate = "varimax",
  fm = "ml")

efa6factorOrthogonal <- fa(
  r = HolzingerSwineford1939[,vars],
  nfactors = 6,
  rotate = "varimax",
  fm = "ml")

efa7factorOrthogonal <- fa(
  r = HolzingerSwineford1939[,vars],
  nfactors = 7,
  rotate = "varimax",
  fm = "ml")

efa8factorOrthogonal <- fa(
  r = HolzingerSwineford1939[,vars],
  nfactors = 8,
  rotate = "varimax",
  fm = "ml")

efa9factorOrthogonal <- fa(
  r = HolzingerSwineford1939[,vars],
  nfactors = 9,
  rotate = "varimax",
  fm = "ml")
14.4.1.2.1.2 lavaan

Model syntax is specified below:

Code
efa1factorLavaan_syntax <- '
 # EFA Factor Loadings
 efa("efa1")*f1 =~ x1 + x2 + x3 + x4 + x5 + x6 + x7 + x8 + x9
'

efa2factorLavaan_syntax <- '
 # EFA Factor Loadings
 efa("efa1")*f1 + 
 efa("efa1")*f2 =~ x1 + x2 + x3 + x4 + x5 + x6 + x7 + x8 + x9
'

efa3factorLavaan_syntax <- '
 # EFA Factor Loadings
 efa("efa1")*f1 + 
 efa("efa1")*f2 + 
 efa("efa1")*f3 =~ x1 + x2 + x3 + x4 + x5 + x6 + x7 + x8 + x9
'

efa4factorLavaan_syntax <- '
 # EFA Factor Loadings
 efa("efa1")*f1 + 
 efa("efa1")*f2 + 
 efa("efa1")*f3 + 
 efa("efa1")*f4 =~ x1 + x2 + x3 + x4 + x5 + x6 + x7 + x8 + x9
'

efa5factorLavaan_syntax <- '
 # EFA Factor Loadings
 efa("efa1")*f1 + 
 efa("efa1")*f2 + 
 efa("efa1")*f3 + 
 efa("efa1")*f4 + 
 efa("efa1")*f5 =~ x1 + x2 + x3 + x4 + x5 + x6 + x7 + x8 + x9
'

efa6factorLavaan_syntax <- '
 # EFA Factor Loadings
 efa("efa1")*f1 + 
 efa("efa1")*f2 + 
 efa("efa1")*f3 + 
 efa("efa1")*f4 + 
 efa("efa1")*f5 + 
 efa("efa1")*f6 =~ x1 + x2 + x3 + x4 + x5 + x6 + x7 + x8 + x9
'

efa7factorLavaan_syntax <- '
 # EFA Factor Loadings
 efa("efa1")*f1 + 
 efa("efa1")*f2 + 
 efa("efa1")*f3 + 
 efa("efa1")*f4 + 
 efa("efa1")*f5 + 
 efa("efa1")*f6 + 
 efa("efa1")*f7 =~ x1 + x2 + x3 + x4 + x5 + x6 + x7 + x8 + x9
'

efa8factorLavaan_syntax <- '
 # EFA Factor Loadings
 efa("efa1")*f1 + 
 efa("efa1")*f2 + 
 efa("efa1")*f3 + 
 efa("efa1")*f4 + 
 efa("efa1")*f5 + 
 efa("efa1")*f6 + 
 efa("efa1")*f7 + 
 efa("efa1")*f8 =~ x1 + x2 + x3 + x4 + x5 + x6 + x7 + x8 + x9
'

efa9factorLavaan_syntax <- '
 # EFA Factor Loadings
 efa("efa1")*f1 + 
 efa("efa1")*f2 + 
 efa("efa1")*f3 + 
 efa("efa1")*f4 + 
 efa("efa1")*f5 + 
 efa("efa1")*f6 + 
 efa("efa1")*f7 + 
 efa("efa1")*f8 + 
 efa("efa1")*f9 =~ x1 + x2 + x3 + x4 + x5 + x6 + x7 + x8 + x9
'

The models are fitted below:

Code
efa1factorOrthogonalLavaan_fit <- sem(
  efa1factorLavaan_syntax,
  data = HolzingerSwineford1939,
  information = "observed",
  missing = "ML",
  estimator = "MLR",
  rotation = "varimax",
  meanstructure = TRUE,
  rotation.args = list(orthogonal = TRUE))

efa2factorOrthogonalLavaan_fit <- sem(
  efa2factorLavaan_syntax,
  data = HolzingerSwineford1939,
  information = "observed",
  missing = "ML",
  estimator = "MLR",
  rotation = "varimax",
  meanstructure = TRUE,
  rotation.args = list(orthogonal = TRUE))

efa3factorOrthogonalLavaan_fit <- sem(
  efa3factorLavaan_syntax,
  data = HolzingerSwineford1939,
  information = "observed",
  missing = "ML",
  estimator = "MLR",
  rotation = "varimax",
  meanstructure = TRUE,
  rotation.args = list(orthogonal = TRUE))

efa4factorOrthogonalLavaan_fit <- sem(
  efa4factorLavaan_syntax,
  data = HolzingerSwineford1939,
  information = "observed",
  missing = "ML",
  estimator = "MLR",
  rotation = "varimax",
  meanstructure = TRUE,
  rotation.args = list(orthogonal = TRUE))

efa5factorOrthogonalLavaan_fit <- sem(
  efa5factorLavaan_syntax,
  data = HolzingerSwineford1939,
  information = "observed",
  missing = "ML",
  estimator = "MLR",
  rotation = "varimax",
  meanstructure = TRUE,
  rotation.args = list(orthogonal = TRUE))

efa6factorOrthogonalLavaan_fit <- sem(
  efa6factorLavaan_syntax,
  data = HolzingerSwineford1939,
  information = "observed",
  missing = "ML",
  estimator = "MLR",
  rotation = "varimax",
  meanstructure = TRUE,
  rotation.args = list(orthogonal = TRUE))

efa7factorOrthogonalLavaan_fit <- sem(
  efa7factorLavaan_syntax,
  data = HolzingerSwineford1939,
  information = "observed",
  missing = "ML",
  estimator = "MLR",
  rotation = "varimax",
  meanstructure = TRUE,
  rotation.args = list(orthogonal = TRUE))

efa8factorOrthogonalLavaan_fit <- sem(
  efa8factorLavaan_syntax,
  data = HolzingerSwineford1939,
  information = "observed",
  missing = "ML",
  estimator = "MLR",
  rotation = "varimax",
  meanstructure = TRUE,
  rotation.args = list(orthogonal = TRUE))

efa9factorOrthogonalLavaan_fit <- sem(
  efa9factorLavaan_syntax,
  data = HolzingerSwineford1939,
  information = "observed",
  missing = "ML",
  estimator = "MLR",
  rotation = "varimax",
  meanstructure = TRUE,
  rotation.args = list(orthogonal = TRUE))

The efa() wrapper can fit multiple orthogonal EFA models in one function call:

Code
efaOrthogonalLavaan_fit <- efa(
  data = HolzingerSwineford1939,
  ov.names = vars,
  nfactors = 1:5,
  rotation = "varimax",
  missing = "ML",
  estimator = "MLR",
  meanstructure = TRUE,
  rotation.args = list(orthogonal = TRUE)
)

The efa() wrapper can also fit individual orthogonal EFA models (with output = "lavaan"):

Code
efaFactor1OrthogonalLavaan_fit <- efa(
  data = HolzingerSwineford1939,
  ov.names = vars,
  nfactors = 1,
  rotation = "varimax",
  missing = "ML",
  estimator = "MLR",
  meanstructure = TRUE,
  rotation.args = list(orthogonal = TRUE),
  output = "lavaan"
)

efaFactor2OrthogonalLavaan_fit <- efa(
  data = HolzingerSwineford1939,
  ov.names = vars,
  nfactors = 2,
  rotation = "varimax",
  missing = "ML",
  estimator = "MLR",
  meanstructure = TRUE,
  rotation.args = list(orthogonal = TRUE),
  output = "lavaan"
)

efaFactor3OrthogonalLavaan_fit <- efa(
  data = HolzingerSwineford1939,
  ov.names = vars,
  nfactors = 3,
  rotation = "varimax",
  missing = "ML",
  estimator = "MLR",
  meanstructure = TRUE,
  rotation.args = list(orthogonal = TRUE),
  output = "lavaan"
)

efaFactor4OrthogonalLavaan_fit <- efa(
  data = HolzingerSwineford1939,
  ov.names = vars,
  nfactors = 4,
  rotation = "varimax",
  missing = "ML",
  estimator = "MLR",
  meanstructure = TRUE,
  rotation.args = list(orthogonal = TRUE),
  output = "lavaan"
)

efaFactor5OrthogonalLavaan_fit <- efa(
  data = HolzingerSwineford1939,
  ov.names = vars,
  nfactors = 5,
  rotation = "varimax",
  missing = "ML",
  estimator = "MLR",
  meanstructure = TRUE,
  rotation.args = list(orthogonal = TRUE),
  output = "lavaan"
)
14.4.1.2.2 Oblique (Oblimin) rotation
14.4.1.2.2.1 psych

Fit a different model with each number of possible factors:

Code
efa1factorOblique <- fa(
  r = HolzingerSwineford1939[,vars],
  nfactors = 1,
  rotate = "oblimin",
  fm = "ml")

efa2factorOblique <- fa(
  r = HolzingerSwineford1939[,vars],
  nfactors = 2,
  rotate = "oblimin",
  fm = "ml")

efa3factorOblique <- fa(
  r = HolzingerSwineford1939[,vars],
  nfactors = 3,
  rotate = "oblimin",
  fm = "ml")

efa4factorOblique <- fa(
  r = HolzingerSwineford1939[,vars],
  nfactors = 4,
  rotate = "oblimin",
  fm = "ml")

efa5factorOblique <- fa(
  r = HolzingerSwineford1939[,vars],
  nfactors = 5,
  rotate = "oblimin",
  fm = "ml")

efa6factorOblique <- fa(
  r = HolzingerSwineford1939[,vars],
  nfactors = 6,
  rotate = "oblimin",
  fm = "ml")

efa7factorOblique <- fa(
  r = HolzingerSwineford1939[,vars],
  nfactors = 7,
  rotate = "oblimin",
  fm = "ml")

efa8factorOblique <- fa(
  r = HolzingerSwineford1939[,vars],
  nfactors = 8,
  rotate = "oblimin",
  fm = "ml") #no convergence

efa9factorOblique <- fa(
  r = HolzingerSwineford1939[,vars],
  nfactors = 9,
  rotate = "oblimin",
  fm = "ml")
14.4.1.2.2.2 lavaan

The models are fitted below:

Code
# settings to mimic Mplus
mplusRotationArgs <- 
  list(
    rstarts = 30,
    row.weights = "none",
    algorithm = "gpa",
    orthogonal = FALSE,
    jac.init.rot = TRUE,
    std.ov = TRUE, # row standard = correlation
    geomin.epsilon = 0.0001)

efa1factorObliqueLavaan_fit <- sem(
  efa1factorLavaan_syntax,
  data = HolzingerSwineford1939,
  information = "observed",
  missing = "ML",
  estimator = "MLR",
  rotation = "geomin",
  meanstructure = TRUE,
  rotation.args = mplusRotationArgs)

efa2factorObliqueLavaan_fit <- sem(
  efa2factorLavaan_syntax,
  data = HolzingerSwineford1939,
  information = "observed",
  missing = "ML",
  estimator = "MLR",
  rotation = "geomin",
  meanstructure = TRUE,
  rotation.args = mplusRotationArgs)

efa3factorObliqueLavaan_fit <- sem(
  efa3factorLavaan_syntax,
  data = HolzingerSwineford1939,
  information = "observed",
  missing = "ML",
  estimator = "MLR",
  rotation = "geomin",
  meanstructure = TRUE,
  rotation.args = mplusRotationArgs)

efa4factorObliqueLavaan_fit <- sem(
  efa4factorLavaan_syntax,
  data = HolzingerSwineford1939,
  information = "observed",
  missing = "ML",
  estimator = "MLR",
  rotation = "geomin",
  meanstructure = TRUE,
  rotation.args = mplusRotationArgs)

efa5factorObliqueLavaan_fit <- sem(
  efa5factorLavaan_syntax,
  data = HolzingerSwineford1939,
  information = "observed",
  missing = "ML",
  estimator = "MLR",
  rotation = "geomin",
  meanstructure = TRUE,
  rotation.args = mplusRotationArgs)

efa6factorObliqueLavaan_fit <- sem(
  efa6factorLavaan_syntax,
  data = HolzingerSwineford1939,
  information = "observed",
  missing = "ML",
  estimator = "MLR",
  rotation = "geomin",
  meanstructure = TRUE,
  rotation.args = mplusRotationArgs)

efa7factorObliqueLavaan_fit <- sem(
  efa7factorLavaan_syntax,
  data = HolzingerSwineford1939,
  information = "observed",
  missing = "ML",
  estimator = "MLR",
  rotation = "geomin",
  meanstructure = TRUE,
  rotation.args = mplusRotationArgs)

efa8factorObliqueLavaan_fit <- sem(
  efa8factorLavaan_syntax,
  data = HolzingerSwineford1939,
  information = "observed",
  missing = "ML",
  estimator = "MLR",
  rotation = "geomin",
  meanstructure = TRUE,
  rotation.args = mplusRotationArgs)

efa9factorObliqueLavaan_fit <- sem(
  efa9factorLavaan_syntax,
  data = HolzingerSwineford1939,
  information = "observed",
  missing = "ML",
  estimator = "MLR",
  rotation = "geomin",
  meanstructure = TRUE,
  rotation.args = mplusRotationArgs)

The efa() wrapper can fit multiple oblique EFA models in one function call:

Code
efaObliqueLavaan_fit <- efa(
  data = HolzingerSwineford1939,
  ov.names = vars,
  nfactors = 1:5,
  rotation = "geomin",
  missing = "ML",
  estimator = "MLR",
  meanstructure = TRUE,
  rotation.args = mplusRotationArgs
)

The efa() wrapper can also fit individual oblique EFA models (with output = "lavaan"):

Code
efaFactor1ObliqueLavaan_fit <- efa(
  data = HolzingerSwineford1939,
  ov.names = vars,
  nfactors = 1,
  rotation = "geomin",
  missing = "ML",
  estimator = "MLR",
  meanstructure = TRUE,
  rotation.args = mplusRotationArgs,
  output = "lavaan"
)

efaFactor2ObliqueLavaan_fit <- efa(
  data = HolzingerSwineford1939,
  ov.names = vars,
  nfactors = 2,
  rotation = "geomin",
  missing = "ML",
  estimator = "MLR",
  meanstructure = TRUE,
  rotation.args = mplusRotationArgs,
  output = "lavaan"
)

efaFactor3ObliqueLavaan_fit <- efa(
  data = HolzingerSwineford1939,
  ov.names = vars,
  nfactors = 3,
  rotation = "geomin",
  missing = "ML",
  estimator = "MLR",
  meanstructure = TRUE,
  rotation.args = mplusRotationArgs,
  output = "lavaan"
)

efaFactor4ObliqueLavaan_fit <- efa(
  data = HolzingerSwineford1939,
  ov.names = vars,
  nfactors = 4,
  rotation = "geomin",
  missing = "ML",
  estimator = "MLR",
  meanstructure = TRUE,
  rotation.args = mplusRotationArgs,
  output = "lavaan"
)

efaFactor5ObliqueLavaan_fit <- efa(
  data = HolzingerSwineford1939,
  ov.names = vars,
  nfactors = 5,
  rotation = "geomin",
  missing = "ML",
  estimator = "MLR",
  meanstructure = TRUE,
  rotation.args = mplusRotationArgs,
  output = "lavaan"
)

14.4.1.3 Factor Loadings

14.4.1.3.1 Orthogonal (Varimax) rotation
14.4.1.3.1.1 psych

The factor loadings and summaries of the model results are below:

Code
efa1factorOrthogonal
Factor Analysis using method =  ml
Call: fa(r = HolzingerSwineford1939[, vars], nfactors = 1, rotate = "varimax", 
    fm = "ml")
Standardized loadings (pattern matrix) based upon correlation matrix
    ML1    h2   u2 com
x1 0.45 0.202 0.80   1
x2 0.24 0.056 0.94   1
x3 0.27 0.071 0.93   1
x4 0.84 0.710 0.29   1
x5 0.85 0.722 0.28   1
x6 0.80 0.636 0.36   1
x7 0.17 0.029 0.97   1
x8 0.26 0.068 0.93   1
x9 0.32 0.099 0.90   1

                ML1
SS loadings    2.59
Proportion Var 0.29

Mean item complexity =  1
Test of the hypothesis that 1 factor is sufficient.

df null model =  36  with the objective function =  3.05 with Chi Square =  904.68
df of  the model are 27  and the objective function was  1.09 

The root mean square of the residuals (RMSR) is  0.16 
The df corrected root mean square of the residuals is  0.18 

The harmonic n.obs is  222 with the empirical chi square  203.45  with prob <  5.5e-29 
The total n.obs was  301  with Likelihood Chi Square =  322.51  with prob <  2.3e-52 

Tucker Lewis Index of factoring reliability =  0.545
RMSEA index =  0.191  and the 90 % confidence intervals are  0.173 0.21
BIC =  168.42
Fit based upon off diagonal values = 0.75
Measures of factor score adequacy             
                                                   ML1
Correlation of (regression) scores with factors   0.94
Multiple R square of scores with factors          0.88
Minimum correlation of possible factor scores     0.76
Code
efa2factorOrthogonal
Factor Analysis using method =  ml
Call: fa(r = HolzingerSwineford1939[, vars], nfactors = 2, rotate = "varimax", 
    fm = "ml")
Standardized loadings (pattern matrix) based upon correlation matrix
    ML1  ML2    h2   u2 com
x1 0.34 0.43 0.301 0.70 1.9
x2 0.17 0.25 0.092 0.91 1.7
x3 0.13 0.48 0.252 0.75 1.1
x4 0.85 0.14 0.737 0.26 1.1
x5 0.83 0.19 0.726 0.27 1.1
x6 0.79 0.15 0.643 0.36 1.1
x7 0.05 0.44 0.198 0.80 1.0
x8 0.09 0.62 0.388 0.61 1.0
x9 0.11 0.75 0.576 0.42 1.0

                       ML1  ML2
SS loadings           2.22 1.70
Proportion Var        0.25 0.19
Cumulative Var        0.25 0.43
Proportion Explained  0.57 0.43
Cumulative Proportion 0.57 1.00

Mean item complexity =  1.2
Test of the hypothesis that 2 factors are sufficient.

df null model =  36  with the objective function =  3.05 with Chi Square =  904.68
df of  the model are 19  and the objective function was  0.48 

The root mean square of the residuals (RMSR) is  0.09 
The df corrected root mean square of the residuals is  0.12 

The harmonic n.obs is  222 with the empirical chi square  60.3  with prob <  3.5e-06 
The total n.obs was  301  with Likelihood Chi Square =  140.93  with prob <  1.2e-20 

Tucker Lewis Index of factoring reliability =  0.733
RMSEA index =  0.146  and the 90 % confidence intervals are  0.124 0.169
BIC =  32.49
Fit based upon off diagonal values = 0.93
Measures of factor score adequacy             
                                                   ML1  ML2
Correlation of (regression) scores with factors   0.93 0.85
Multiple R square of scores with factors          0.86 0.72
Minimum correlation of possible factor scores     0.73 0.45
Code
efa3factorOrthogonal
Factor Analysis using method =  ml
Call: fa(r = HolzingerSwineford1939[, vars], nfactors = 3, rotate = "varimax", 
    fm = "ml")
Standardized loadings (pattern matrix) based upon correlation matrix
    ML1   ML3   ML2   h2   u2 com
x1 0.28  0.61  0.13 0.47 0.53 1.5
x2 0.11  0.49 -0.04 0.26 0.74 1.1
x3 0.05  0.69  0.16 0.50 0.50 1.1
x4 0.83  0.17  0.08 0.73 0.27 1.1
x5 0.84  0.14  0.13 0.74 0.26 1.1
x6 0.78  0.17  0.09 0.64 0.36 1.1
x7 0.07 -0.08  0.69 0.49 0.51 1.1
x8 0.10  0.17  0.71 0.54 0.46 1.2
x9 0.11  0.42  0.54 0.48 0.52 2.0

                       ML1  ML3  ML2
SS loadings           2.12 1.38 1.35
Proportion Var        0.24 0.15 0.15
Cumulative Var        0.24 0.39 0.54
Proportion Explained  0.44 0.28 0.28
Cumulative Proportion 0.44 0.72 1.00

Mean item complexity =  1.3
Test of the hypothesis that 3 factors are sufficient.

df null model =  36  with the objective function =  3.05 with Chi Square =  904.68
df of  the model are 12  and the objective function was  0.12 

The root mean square of the residuals (RMSR) is  0.02 
The df corrected root mean square of the residuals is  0.04 

The harmonic n.obs is  222 with the empirical chi square  4.3  with prob <  0.98 
The total n.obs was  301  with Likelihood Chi Square =  35.88  with prob <  0.00034 

Tucker Lewis Index of factoring reliability =  0.917
RMSEA index =  0.081  and the 90 % confidence intervals are  0.052 0.113
BIC =  -32.61
Fit based upon off diagonal values = 0.99
Measures of factor score adequacy             
                                                   ML1  ML3  ML2
Correlation of (regression) scores with factors   0.93 0.82 0.84
Multiple R square of scores with factors          0.86 0.67 0.71
Minimum correlation of possible factor scores     0.71 0.34 0.41
Code
efa4factorOrthogonal
Factor Analysis using method =  ml
Call: fa(r = HolzingerSwineford1939[, vars], nfactors = 4, rotate = "varimax", 
    fm = "ml")
Standardized loadings (pattern matrix) based upon correlation matrix
    ML1   ML4   ML3   ML2   h2    u2 com
x1 0.26  0.63  0.13  0.13 0.50 0.499 1.5
x2 0.11  0.50 -0.04 -0.08 0.27 0.734 1.2
x3 0.05  0.67  0.17  0.02 0.48 0.522 1.1
x4 0.89  0.17  0.08  0.40 1.00 0.005 1.5
x5 0.93  0.14  0.13 -0.32 1.00 0.005 1.3
x6 0.71  0.19  0.10  0.01 0.55 0.449 1.2
x7 0.07 -0.10  0.74  0.12 0.58 0.417 1.1
x8 0.08  0.19  0.68 -0.07 0.52 0.484 1.2
x9 0.12  0.42  0.53 -0.07 0.48 0.520 2.1

                       ML1  ML4  ML3  ML2
SS loadings           2.27 1.41 1.38 0.31
Proportion Var        0.25 0.16 0.15 0.03
Cumulative Var        0.25 0.41 0.56 0.60
Proportion Explained  0.42 0.26 0.26 0.06
Cumulative Proportion 0.42 0.68 0.94 1.00

Mean item complexity =  1.4
Test of the hypothesis that 4 factors are sufficient.

df null model =  36  with the objective function =  3.05 with Chi Square =  904.68
df of  the model are 6  and the objective function was  0.03 

The root mean square of the residuals (RMSR) is  0.01 
The df corrected root mean square of the residuals is  0.04 

The harmonic n.obs is  222 with the empirical chi square  1.64  with prob <  0.95 
The total n.obs was  301  with Likelihood Chi Square =  9.57  with prob <  0.14 

Tucker Lewis Index of factoring reliability =  0.975
RMSEA index =  0.044  and the 90 % confidence intervals are  0 0.095
BIC =  -24.67
Fit based upon off diagonal values = 1
Measures of factor score adequacy             
                                                   ML1  ML4  ML3  ML2
Correlation of (regression) scores with factors   0.99 0.83 0.85 0.99
Multiple R square of scores with factors          0.99 0.68 0.73 0.98
Minimum correlation of possible factor scores     0.97 0.36 0.46 0.96
Code
efa5factorOrthogonal
Factor Analysis using method =  ml
Call: fa(r = HolzingerSwineford1939[, vars], nfactors = 5, rotate = "varimax", 
    fm = "ml")
Standardized loadings (pattern matrix) based upon correlation matrix
    ML1   ML4   ML5   ML2   ML3   h2    u2 com
x1 0.28  0.61  0.02  0.13 -0.15 0.49 0.505 1.6
x2 0.11  0.48 -0.11  0.05  0.06 0.26 0.739 1.3
x3 0.04  0.72  0.14  0.01  0.00 0.54 0.455 1.1
x4 0.89  0.17  0.12 -0.03 -0.31 0.94 0.061 1.4
x5 0.91  0.14  0.05  0.09  0.36 1.00 0.005 1.4
x6 0.72  0.19  0.04  0.08  0.00 0.56 0.437 1.2
x7 0.07 -0.04  0.74  0.22 -0.03 0.60 0.396 1.2
x8 0.09  0.18  0.40  0.89  0.01 1.00 0.005 1.5
x9 0.12  0.46  0.42  0.23  0.12 0.46 0.535 2.8

                       ML1  ML4  ML5  ML2  ML3
SS loadings           2.27 1.45 0.94 0.93 0.27
Proportion Var        0.25 0.16 0.10 0.10 0.03
Cumulative Var        0.25 0.41 0.52 0.62 0.65
Proportion Explained  0.39 0.25 0.16 0.16 0.05
Cumulative Proportion 0.39 0.64 0.80 0.95 1.00

Mean item complexity =  1.5
Test of the hypothesis that 5 factors are sufficient.

df null model =  36  with the objective function =  3.05 with Chi Square =  904.68
df of  the model are 1  and the objective function was  0.01 

The root mean square of the residuals (RMSR) is  0.01 
The df corrected root mean square of the residuals is  0.04 

The harmonic n.obs is  222 with the empirical chi square  0.28  with prob <  0.6 
The total n.obs was  301  with Likelihood Chi Square =  1.77  with prob <  0.18 

Tucker Lewis Index of factoring reliability =  0.968
RMSEA index =  0.05  and the 90 % confidence intervals are  0 0.172
BIC =  -3.94
Fit based upon off diagonal values = 1
Measures of factor score adequacy             
                                                   ML1  ML4  ML5  ML2  ML3
Correlation of (regression) scores with factors   0.99 0.84 0.78 0.95 0.93
Multiple R square of scores with factors          0.97 0.70 0.60 0.91 0.87
Minimum correlation of possible factor scores     0.94 0.40 0.20 0.82 0.73
Code
efa6factorOrthogonal
Factor Analysis using method =  ml
Call: fa(r = HolzingerSwineford1939[, vars], nfactors = 6, rotate = "varimax", 
    fm = "ml")
Standardized loadings (pattern matrix) based upon correlation matrix
    ML1   ML4   ML2   ML6   ML3   ML5   h2    u2 com
x1 0.25  0.61  0.13  0.20  0.14 -0.03 0.51 0.489 1.8
x2 0.11  0.47 -0.04 -0.04  0.09  0.05 0.25 0.748 1.2
x3 0.05  0.75  0.15 -0.03 -0.18 -0.06 0.63 0.374 1.2
x4 0.84  0.17  0.08  0.44 -0.06 -0.03 0.94 0.060 1.6
x5 0.90  0.15  0.12 -0.11  0.05  0.32 0.95 0.049 1.4
x6 0.79  0.18  0.09 -0.06  0.04 -0.19 0.70 0.298 1.3
x7 0.07 -0.09  0.75  0.07 -0.21 -0.04 0.62 0.376 1.2
x8 0.09  0.18  0.75 -0.05  0.28 -0.01 0.68 0.321 1.4
x9 0.10  0.43  0.51 -0.01 -0.01  0.13 0.47 0.530 2.2

                       ML1  ML4  ML2  ML6  ML3  ML5
SS loadings           2.23 1.47 1.45 0.25 0.19 0.16
Proportion Var        0.25 0.16 0.16 0.03 0.02 0.02
Cumulative Var        0.25 0.41 0.57 0.60 0.62 0.64
Proportion Explained  0.39 0.25 0.25 0.04 0.03 0.03
Cumulative Proportion 0.39 0.64 0.89 0.94 0.97 1.00

Mean item complexity =  1.5
Test of the hypothesis that 6 factors are sufficient.

df null model =  36  with the objective function =  3.05 with Chi Square =  904.68
df of  the model are -3  and the objective function was  0 

The root mean square of the residuals (RMSR) is  0 
The df corrected root mean square of the residuals is  NA 

The harmonic n.obs is  222 with the empirical chi square  0  with prob <  NA 
The total n.obs was  301  with Likelihood Chi Square =  0  with prob <  NA 

Tucker Lewis Index of factoring reliability =  1.042
Fit based upon off diagonal values = 1
Measures of factor score adequacy             
                                                   ML1  ML4  ML2  ML6   ML3
Correlation of (regression) scores with factors   0.96 0.85 0.88 0.81  0.58
Multiple R square of scores with factors          0.93 0.73 0.78 0.66  0.34
Minimum correlation of possible factor scores     0.86 0.45 0.55 0.32 -0.32
                                                    ML5
Correlation of (regression) scores with factors    0.68
Multiple R square of scores with factors           0.46
Minimum correlation of possible factor scores     -0.07
Code
efa7factorOrthogonal
Factor Analysis using method =  ml
Call: fa(r = HolzingerSwineford1939[, vars], nfactors = 7, rotate = "varimax", 
    fm = "ml")
Standardized loadings (pattern matrix) based upon correlation matrix
    ML1   ML3   ML4   ML7   ML5   ML2   ML6   h2     u2 com
x1 0.24  0.12  0.50  0.58  0.06  0.00  0.01 0.66 0.3413 2.4
x2 0.12 -0.04  0.52  0.06 -0.01  0.02  0.19 0.33 0.6697 1.4
x3 0.06  0.16  0.70  0.14  0.02 -0.03 -0.19 0.57 0.4300 1.4
x4 0.83  0.09  0.10  0.20  0.50 -0.02 -0.02 0.99 0.0058 1.8
x5 0.91  0.12  0.13  0.02 -0.09  0.32  0.06 0.99 0.0146 1.4
x6 0.79  0.09  0.15  0.08 -0.04 -0.20 -0.01 0.70 0.2999 1.3
x7 0.06  0.69 -0.07 -0.04  0.10 -0.02 -0.14 0.52 0.4786 1.2
x8 0.09  0.77  0.13  0.14 -0.10 -0.03  0.19 0.69 0.3135 1.3
x9 0.11  0.53  0.41  0.09  0.00  0.13 -0.07 0.49 0.5133 2.2

                       ML1  ML3  ML4  ML7  ML5  ML2  ML6
SS loadings           2.24 1.43 1.24 0.44 0.28 0.16 0.14
Proportion Var        0.25 0.16 0.14 0.05 0.03 0.02 0.02
Cumulative Var        0.25 0.41 0.55 0.59 0.63 0.64 0.66
Proportion Explained  0.38 0.24 0.21 0.07 0.05 0.03 0.02
Cumulative Proportion 0.38 0.62 0.83 0.90 0.95 0.98 1.00

Mean item complexity =  1.6
Test of the hypothesis that 7 factors are sufficient.

df null model =  36  with the objective function =  3.05 with Chi Square =  904.68
df of  the model are -6  and the objective function was  0 

The root mean square of the residuals (RMSR) is  0 
The df corrected root mean square of the residuals is  NA 

The harmonic n.obs is  222 with the empirical chi square  0  with prob <  NA 
The total n.obs was  301  with Likelihood Chi Square =  0  with prob <  NA 

Tucker Lewis Index of factoring reliability =  1.042
Fit based upon off diagonal values = 1
Measures of factor score adequacy             
                                                   ML1  ML3  ML4   ML7  ML5
Correlation of (regression) scores with factors   0.97 0.87 0.80  0.65 0.89
Multiple R square of scores with factors          0.94 0.76 0.64  0.42 0.79
Minimum correlation of possible factor scores     0.88 0.52 0.28 -0.16 0.59
                                                    ML2   ML6
Correlation of (regression) scores with factors    0.70  0.47
Multiple R square of scores with factors           0.50  0.22
Minimum correlation of possible factor scores     -0.01 -0.55
Code
efa8factorOrthogonal
Factor Analysis using method =  ml
Call: fa(r = HolzingerSwineford1939[, vars], nfactors = 8, rotate = "varimax", 
    fm = "ml")
Standardized loadings (pattern matrix) based upon correlation matrix
    ML1   ML3   ML4   ML7   ML6   ML2   ML5   ML8   h2     u2 com
x1 0.23  0.12  0.44  0.62  0.07  0.05  0.00  0.01 0.65 0.3462 2.3
x2 0.11 -0.03  0.57  0.07  0.01  0.00  0.02 -0.10 0.36 0.6438 1.2
x3 0.06  0.14  0.60  0.24  0.18  0.01 -0.05  0.25 0.54 0.4648 2.1
x4 0.82  0.08  0.08  0.22  0.02  0.50 -0.02  0.02 0.99 0.0140 1.9
x5 0.92  0.10  0.13  0.03  0.13 -0.10  0.29 -0.06 0.99 0.0091 1.3
x6 0.79  0.10  0.15  0.10 -0.02 -0.03 -0.22  0.04 0.71 0.2884 1.3
x7 0.06  0.72 -0.09 -0.04  0.04  0.11  0.01  0.16 0.57 0.4309 1.2
x8 0.10  0.74  0.14  0.14  0.06 -0.10 -0.02 -0.16 0.64 0.3580 1.3
x9 0.11  0.49  0.33  0.12  0.48  0.01  0.02  0.02 0.61 0.3912 3.0

                       ML1  ML3  ML4  ML7  ML6  ML2  ML5  ML8
SS loadings           2.24 1.37 1.07 0.54 0.29 0.28 0.14 0.13
Proportion Var        0.25 0.15 0.12 0.06 0.03 0.03 0.02 0.01
Cumulative Var        0.25 0.40 0.52 0.58 0.61 0.64 0.66 0.67
Proportion Explained  0.37 0.23 0.18 0.09 0.05 0.05 0.02 0.02
Cumulative Proportion 0.37 0.60 0.77 0.86 0.91 0.96 0.98 1.00

Mean item complexity =  1.7
Test of the hypothesis that 8 factors are sufficient.

df null model =  36  with the objective function =  3.05 with Chi Square =  904.68
df of  the model are -8  and the objective function was  0 

The root mean square of the residuals (RMSR) is  0 
The df corrected root mean square of the residuals is  NA 

The harmonic n.obs is  222 with the empirical chi square  0  with prob <  NA 
The total n.obs was  301  with Likelihood Chi Square =  0  with prob <  NA 

Tucker Lewis Index of factoring reliability =  1.042
Fit based upon off diagonal values = 1
Measures of factor score adequacy             
                                                   ML1  ML3  ML4   ML7   ML6
Correlation of (regression) scores with factors   0.97 0.86 0.75  0.67  0.55
Multiple R square of scores with factors          0.95 0.74 0.56  0.45  0.30
Minimum correlation of possible factor scores     0.89 0.48 0.12 -0.10 -0.39
                                                   ML2   ML5   ML8
Correlation of (regression) scores with factors   0.89  0.67  0.46
Multiple R square of scores with factors          0.79  0.45  0.21
Minimum correlation of possible factor scores     0.59 -0.10 -0.58
Code
efa9factorOrthogonal
Factor Analysis using method =  ml
Call: fa(r = HolzingerSwineford1939[, vars], nfactors = 9, rotate = "varimax", 
    fm = "ml")
Standardized loadings (pattern matrix) based upon correlation matrix
    ML1   ML3   ML2   ML4 ML9 ML5 ML8 ML6 ML7   h2   u2 com
x1 0.29  0.59  0.14  0.07   0   0   0   0   0 0.45 0.55 1.6
x2 0.11  0.49 -0.03 -0.06   0   0   0   0   0 0.26 0.74 1.1
x3 0.07  0.61  0.18  0.03   0   0   0   0   0 0.41 0.59 1.2
x4 0.81  0.17  0.09  0.04   0   0   0   0   0 0.70 0.30 1.1
x5 0.81  0.15  0.14 -0.03   0   0   0   0   0 0.69 0.31 1.1
x6 0.77  0.17  0.09 -0.01   0   0   0   0   0 0.62 0.38 1.1
x7 0.07 -0.06  0.64  0.03   0   0   0   0   0 0.41 0.59 1.1
x8 0.10  0.18  0.66 -0.02   0   0   0   0   0 0.47 0.53 1.2
x9 0.11  0.40  0.53 -0.02   0   0   0   0   0 0.46 0.54 2.0

                       ML1  ML3  ML2  ML4 ML9 ML5 ML8 ML6 ML7
SS loadings           2.02 1.24 1.20 0.01 0.0 0.0 0.0 0.0 0.0
Proportion Var        0.22 0.14 0.13 0.00 0.0 0.0 0.0 0.0 0.0
Cumulative Var        0.22 0.36 0.50 0.50 0.5 0.5 0.5 0.5 0.5
Proportion Explained  0.45 0.28 0.27 0.00 0.0 0.0 0.0 0.0 0.0
Cumulative Proportion 0.45 0.73 1.00 1.00 1.0 1.0 1.0 1.0 1.0

Mean item complexity =  1.3
Test of the hypothesis that 9 factors are sufficient.

df null model =  36  with the objective function =  3.05 with Chi Square =  904.68
df of  the model are -9  and the objective function was  0.15 

The root mean square of the residuals (RMSR) is  0.03 
The df corrected root mean square of the residuals is  NA 

The harmonic n.obs is  222 with the empirical chi square  7.83  with prob <  NA 
The total n.obs was  301  with Likelihood Chi Square =  43.91  with prob <  NA 

Tucker Lewis Index of factoring reliability =  1.249
Fit based upon off diagonal values = 0.99
Measures of factor score adequacy             
                                                   ML1  ML3  ML2   ML4 ML9 ML5
Correlation of (regression) scores with factors   0.91 0.78 0.80  0.15   0   0
Multiple R square of scores with factors          0.83 0.61 0.65  0.02   0   0
Minimum correlation of possible factor scores     0.66 0.23 0.29 -0.95  -1  -1
                                                  ML8 ML6 ML7
Correlation of (regression) scores with factors     0   0   0
Multiple R square of scores with factors            0   0   0
Minimum correlation of possible factor scores      -1  -1  -1
14.4.1.3.1.2 lavaan

The factor loadings and summaries of the model results are below:

Code
summary(
  efaOrthogonalLavaan_fit)
This is lavaan 0.6-21 -- running exploratory factor analysis

  Estimator                                         ML
  Rotation method                   VARIMAX ORTHOGONAL
  Rotation algorithm (rstarts)                GPA (30)
  Standardized metric                             TRUE
  Row weights                                   Kaiser

  Number of observations                           301
  Number of missing patterns                        75

Overview models:
                    aic      bic    sabic   chisq df pvalue   cfi rmsea
  nfactors = 1 6655.547 6755.639 6670.010 235.316 27  0.000 0.664 0.190
  nfactors = 2 6536.011 6665.760 6554.760 112.999 19  0.000 0.865 0.148
  nfactors = 3 6468.608 6624.307 6491.107  23.723 12  0.022 0.988 0.080
  nfactors = 4 6464.728 6642.669 6490.440   5.251  6  0.512 1.000 0.000
  nfactors = 5 6469.292 6665.769 6497.683   0.365  1  0.546    NA 0.000

Eigenvalues correlation matrix:

    ev1     ev2     ev3     ev4     ev5     ev6     ev7     ev8     ev9 
  3.220   1.621   1.380   0.689   0.569   0.542   0.461   0.289   0.229 

Number of factors:  1 

Standardized loadings: (* = significant at 1% level)

       f1       unique.var   communalities
x1  0.447*           0.800           0.200
x2      .*           0.944           0.056
x3      .*           0.928           0.072
x4  0.829*           0.313           0.687
x5  0.851*           0.276           0.724
x6  0.817*           0.332           0.668
x7      .*           0.964           0.036
x8      .*           0.926           0.074
x9  0.335*           0.888           0.112

                           f1
Sum of squared loadings 2.629
Proportion of total     1.000
Proportion var          0.292
Cumulative var          0.292

Number of factors:  2 

Standardized loadings: (* = significant at 1% level)

       f1      f2       unique.var   communalities
x1  0.323*  0.427*           0.714           0.286
x2      .       .            0.907           0.093
x3      .   0.495*           0.742           0.258
x4  0.840*      .            0.279           0.721
x5  0.842*      .*           0.259           0.741
x6  0.796*      .            0.333           0.667
x7          0.438*           0.804           0.196
x8          0.612*           0.619           0.381
x9      .   0.737*           0.441           0.559

                              f1    f2 total
Sum of sq (ortho) loadings 2.215 1.686 3.900
Proportion of total        0.568 0.432 1.000
Proportion var             0.246 0.187 0.433
Cumulative var             0.246 0.433 0.433

Number of factors:  3 

Standardized loadings: (* = significant at 1% level)

       f1      f2      f3       unique.var   communalities
x1  0.620*      .*      .            0.531           0.469
x2  0.497*      .                    0.741           0.259
x3  0.689*              .            0.493           0.507
x4      .   0.830*                   0.284           0.716
x5      .   0.854*      .            0.241           0.759
x6      .*  0.782*                   0.336           0.664
x7                  0.706*           0.487           0.513
x8      .           0.689*           0.488           0.512
x9  0.402*      .   0.536*           0.533           0.467

                              f2    f1    f3 total
Sum of sq (ortho) loadings 2.143 1.385 1.338 4.865
Proportion of total        0.440 0.285 0.275 1.000
Proportion var             0.238 0.154 0.149 0.541
Cumulative var             0.238 0.392 0.541 0.541

Number of factors:  4 

Standardized loadings: (* = significant at 1% level)

       f1      f2      f3      f4       unique.var   communalities
x1  0.634*              .*      .            0.516           0.484
x2  0.502*                                   0.733           0.267
x3  0.677*                      .*           0.506           0.494
x4      .   0.435   0.886*                   0.000           1.000
x5      .       .   0.943*      .            0.000           1.000
x6      .*          0.718*      .            0.422           0.578
x7      .       .*          0.756*           0.396           0.604
x8      .*                  0.657*           0.521           0.479
x9  0.414*              .*  0.527*           0.522           0.478

                              f3    f1    f4    f2 total
Sum of sq (ortho) loadings 2.293 1.417 1.357 0.317 5.384
Proportion of total        0.426 0.263 0.252 0.059 1.000
Proportion var             0.255 0.157 0.151 0.035 0.598
Cumulative var             0.255 0.412 0.563 0.598 0.598

Number of factors:  5 

Standardized loadings: (* = significant at 1% level)

       f1      f2      f3      f4      f5       unique.var   communalities
x1  0.603*      .               .*      .            0.517           0.483
x2  0.473*      .*                                   0.748           0.252
x3  0.462*  0.871*                      .*           0.000           1.000
x4      .           0.444   0.882*                   0.000           1.000
x5      .               .   0.942*      .            0.000           1.000
x6      .*                  0.719*      .            0.423           0.577
x7      .               .           0.761*           0.333           0.667
x8      .                           0.688*           0.475           0.525
x9  0.338*      .               .*  0.534*           0.547           0.453

                              f4    f5    f1    f2    f3 total
Sum of sq (ortho) loadings 2.282 1.418 1.092 0.847 0.316 5.955
Proportion of total        0.383 0.238 0.183 0.142 0.053 1.000
Proportion var             0.254 0.158 0.121 0.094 0.035 0.662
Cumulative var             0.254 0.411 0.533 0.627 0.662 0.662
Code
summary(
  efa1factorOrthogonalLavaan_fit,
  fit.measures = TRUE,
  standardized = TRUE,
  rsquare = TRUE)
lavaan 0.6-21 ended normally after 30 iterations

  Estimator                                         ML
  Optimization method                           NLMINB
  Number of model parameters                        27

  Rotation method                   VARIMAX ORTHOGONAL
  Rotation algorithm (rstarts)                GPA (30)
  Standardized metric                             TRUE
  Row weights                                   Kaiser

  Number of observations                           301
  Number of missing patterns                        75

Model Test User Model:
                                              Standard      Scaled
  Test Statistic                               239.990     235.316
  Degrees of freedom                                27          27
  P-value (Chi-square)                           0.000       0.000
  Scaling correction factor                                  1.020
    Yuan-Bentler correction (Mplus variant)                       

Model Test Baseline Model:

  Test statistic                               693.305     646.574
  Degrees of freedom                                36          36
  P-value                                        0.000       0.000
  Scaling correction factor                                  1.072

User Model versus Baseline Model:

  Comparative Fit Index (CFI)                    0.676       0.659
  Tucker-Lewis Index (TLI)                       0.568       0.545
                                                                  
  Robust Comparative Fit Index (CFI)                         0.664
  Robust Tucker-Lewis Index (TLI)                            0.552

Loglikelihood and Information Criteria:

  Loglikelihood user model (H0)              -3300.774   -3300.774
  Scaling correction factor                                  1.108
      for the MLR correction                                      
  Loglikelihood unrestricted model (H1)      -3180.778   -3180.778
  Scaling correction factor                                  1.064
      for the MLR correction                                      
                                                                  
  Akaike (AIC)                                6655.547    6655.547
  Bayesian (BIC)                              6755.639    6755.639
  Sample-size adjusted Bayesian (SABIC)       6670.010    6670.010

Root Mean Square Error of Approximation:

  RMSEA                                          0.162       0.160
  90 Percent confidence interval - lower         0.143       0.142
  90 Percent confidence interval - upper         0.181       0.179
  P-value H_0: RMSEA <= 0.050                    0.000       0.000
  P-value H_0: RMSEA >= 0.080                    1.000       1.000
                                                                  
  Robust RMSEA                                               0.190
  90 Percent confidence interval - lower                     0.167
  90 Percent confidence interval - upper                     0.214
  P-value H_0: Robust RMSEA <= 0.050                         0.000
  P-value H_0: Robust RMSEA >= 0.080                         1.000

Standardized Root Mean Square Residual:

  SRMR                                           0.129       0.129

Parameter Estimates:

  Standard errors                             Sandwich
  Information bread                           Observed
  Observed information based on                Hessian

Latent Variables:
                   Estimate  Std.Err  z-value  P(>|z|)   Std.lv  Std.all
  f1 =~ efa1                                                            
    x1                0.517    0.087    5.944    0.000    0.517    0.447
    x2                0.273    0.083    3.277    0.001    0.273    0.236
    x3                0.303    0.087    3.506    0.000    0.303    0.269
    x4                0.973    0.067   14.475    0.000    0.973    0.829
    x5                1.100    0.066   16.748    0.000    1.100    0.851
    x6                0.851    0.068   12.576    0.000    0.851    0.817
    x7                0.203    0.078    2.590    0.010    0.203    0.189
    x8                0.276    0.077    3.584    0.000    0.276    0.272
    x9                0.341    0.082    4.154    0.000    0.341    0.335

Intercepts:
                   Estimate  Std.Err  z-value  P(>|z|)   Std.lv  Std.all
   .x1                4.961    0.072   69.035    0.000    4.961    4.290
   .x2                6.058    0.071   85.159    0.000    6.058    5.232
   .x3                2.222    0.070   31.650    0.000    2.222    1.971
   .x4                3.098    0.071   43.846    0.000    3.098    2.639
   .x5                4.356    0.078   56.050    0.000    4.356    3.369
   .x6                2.188    0.064   34.213    0.000    2.188    2.101
   .x7                4.173    0.066   63.709    0.000    4.173    3.895
   .x8                5.516    0.063   87.910    0.000    5.516    5.433
   .x9                5.407    0.063   85.469    0.000    5.407    5.303

Variances:
                   Estimate  Std.Err  z-value  P(>|z|)   Std.lv  Std.all
   .x1                1.069    0.116    9.243    0.000    1.069    0.800
   .x2                1.266    0.136    9.282    0.000    1.266    0.944
   .x3                1.179    0.086   13.758    0.000    1.179    0.928
   .x4                0.431    0.062    6.913    0.000    0.431    0.313
   .x5                0.461    0.073    6.349    0.000    0.461    0.276
   .x6                0.360    0.056    6.458    0.000    0.360    0.332
   .x7                1.107    0.085   13.003    0.000    1.107    0.964
   .x8                0.955    0.114    8.347    0.000    0.955    0.926
   .x9                0.923    0.088   10.486    0.000    0.923    0.888
    f1                1.000                               1.000    1.000

R-Square:
                   Estimate
    x1                0.200
    x2                0.056
    x3                0.072
    x4                0.687
    x5                0.724
    x6                0.668
    x7                0.036
    x8                0.074
    x9                0.112
Code
summary(
  efa2factorOrthogonalLavaan_fit,
  fit.measures = TRUE,
  standardized = TRUE,
  rsquare = TRUE)
lavaan 0.6-21 ended normally after 37 iterations

  Estimator                                         ML
  Optimization method                           NLMINB
  Number of model parameters                        36
  Row rank of the constraints matrix                 1

  Rotation method                   VARIMAX ORTHOGONAL
  Rotation algorithm (rstarts)                GPA (30)
  Standardized metric                             TRUE
  Row weights                                   Kaiser

  Number of observations                           301
  Number of missing patterns                        75

Model Test User Model:
                                              Standard      Scaled
  Test Statistic                               104.454     112.999
  Degrees of freedom                                19          19
  P-value (Chi-square)                           0.000       0.000
  Scaling correction factor                                  0.924
    Yuan-Bentler correction (Mplus variant)                       

Model Test Baseline Model:

  Test statistic                               693.305     646.574
  Degrees of freedom                                36          36
  P-value                                        0.000       0.000
  Scaling correction factor                                  1.072

User Model versus Baseline Model:

  Comparative Fit Index (CFI)                    0.870       0.846
  Tucker-Lewis Index (TLI)                       0.754       0.708
                                                                  
  Robust Comparative Fit Index (CFI)                         0.865
  Robust Tucker-Lewis Index (TLI)                            0.745

Loglikelihood and Information Criteria:

  Loglikelihood user model (H0)              -3233.006   -3233.006
  Scaling correction factor                                  1.140
      for the MLR correction                                      
  Loglikelihood unrestricted model (H1)      -3180.778   -3180.778
  Scaling correction factor                                  1.064
      for the MLR correction                                      
                                                                  
  Akaike (AIC)                                6536.011    6536.011
  Bayesian (BIC)                              6665.760    6665.760
  Sample-size adjusted Bayesian (SABIC)       6554.760    6554.760

Root Mean Square Error of Approximation:

  RMSEA                                          0.122       0.128
  90 Percent confidence interval - lower         0.100       0.105
  90 Percent confidence interval - upper         0.146       0.152
  P-value H_0: RMSEA <= 0.050                    0.000       0.000
  P-value H_0: RMSEA >= 0.080                    0.999       1.000
                                                                  
  Robust RMSEA                                               0.148
  90 Percent confidence interval - lower                     0.118
  90 Percent confidence interval - upper                     0.180
  P-value H_0: Robust RMSEA <= 0.050                         0.000
  P-value H_0: Robust RMSEA >= 0.080                         1.000

Standardized Root Mean Square Residual:

  SRMR                                           0.073       0.073

Parameter Estimates:

  Standard errors                             Sandwich
  Information bread                           Observed
  Observed information based on                Hessian

Latent Variables:
                   Estimate  Std.Err  z-value  P(>|z|)   Std.lv  Std.all
  f1 =~ efa1                                                            
    x1                0.372    0.108    3.444    0.001    0.372    0.323
    x2                0.186    0.104    1.779    0.075    0.186    0.160
    x3                0.125    0.095    1.318    0.188    0.125    0.111
    x4                0.986    0.069   14.255    0.000    0.986    0.840
    x5                1.090    0.068   15.951    0.000    1.090    0.842
    x6                0.827    0.061   13.454    0.000    0.827    0.796
    x7                0.064    0.061    1.065    0.287    0.064    0.060
    x8                0.082    0.056    1.459    0.145    0.082    0.081
    x9                0.128    0.072    1.760    0.078    0.128    0.125
  f2 =~ efa1                                                            
    x1                0.492    0.157    3.128    0.002    0.492    0.427
    x2                0.301    0.145    2.080    0.038    0.301    0.260
    x3                0.558    0.144    3.877    0.000    0.558    0.495
    x4                0.151    0.068    2.224    0.026    0.151    0.128
    x5                0.231    0.076    3.035    0.002    0.231    0.178
    x6                0.189    0.079    2.401    0.016    0.189    0.182
    x7                0.470    0.144    3.264    0.001    0.470    0.438
    x8                0.619    0.121    5.137    0.000    0.619    0.612
    x9                0.751    0.074   10.172    0.000    0.751    0.737

Covariances:
                   Estimate  Std.Err  z-value  P(>|z|)   Std.lv  Std.all
  f1 ~~                                                                 
    f2               -0.000                              -0.000   -0.000

Intercepts:
                   Estimate  Std.Err  z-value  P(>|z|)   Std.lv  Std.all
   .x1                4.964    0.072   69.307    0.000    4.964    4.300
   .x2                6.058    0.071   85.415    0.000    6.058    5.231
   .x3                2.202    0.069   31.736    0.000    2.202    1.955
   .x4                3.096    0.071   43.802    0.000    3.096    2.635
   .x5                4.348    0.078   55.599    0.000    4.348    3.357
   .x6                2.187    0.064   34.263    0.000    2.187    2.105
   .x7                4.177    0.065   64.157    0.000    4.177    3.898
   .x8                5.516    0.062   89.366    0.000    5.516    5.447
   .x9                5.399    0.063   85.200    0.000    5.399    5.297

Variances:
                   Estimate  Std.Err  z-value  P(>|z|)   Std.lv  Std.all
   .x1                0.951    0.115    8.250    0.000    0.951    0.714
   .x2                1.216    0.129    9.398    0.000    1.216    0.907
   .x3                0.942    0.143    6.610    0.000    0.942    0.742
   .x4                0.385    0.069    5.546    0.000    0.385    0.279
   .x5                0.435    0.078    5.558    0.000    0.435    0.259
   .x6                0.360    0.056    6.485    0.000    0.360    0.333
   .x7                0.924    0.127    7.295    0.000    0.924    0.804
   .x8                0.635    0.130    4.869    0.000    0.635    0.619
   .x9                0.459    0.090    5.076    0.000    0.459    0.441
    f1                1.000                               1.000    1.000
    f2                1.000                               1.000    1.000

R-Square:
                   Estimate
    x1                0.286
    x2                0.093
    x3                0.258
    x4                0.721
    x5                0.741
    x6                0.667
    x7                0.196
    x8                0.381
    x9                0.559
Code
summary(
  efa3factorOrthogonalLavaan_fit,
  fit.measures = TRUE,
  standardized = TRUE,
  rsquare = TRUE)
lavaan 0.6-21 ended normally after 49 iterations

  Estimator                                         ML
  Optimization method                           NLMINB
  Number of model parameters                        45
  Row rank of the constraints matrix                 3

  Rotation method                   VARIMAX ORTHOGONAL
  Rotation algorithm (rstarts)                GPA (30)
  Standardized metric                             TRUE
  Row weights                                   Kaiser

  Number of observations                           301
  Number of missing patterns                        75

Model Test User Model:
                                              Standard      Scaled
  Test Statistic                                23.051      23.723
  Degrees of freedom                                12          12
  P-value (Chi-square)                           0.027       0.022
  Scaling correction factor                                  0.972
    Yuan-Bentler correction (Mplus variant)                       

Model Test Baseline Model:

  Test statistic                               693.305     646.574
  Degrees of freedom                                36          36
  P-value                                        0.000       0.000
  Scaling correction factor                                  1.072

User Model versus Baseline Model:

  Comparative Fit Index (CFI)                    0.983       0.981
  Tucker-Lewis Index (TLI)                       0.950       0.942
                                                                  
  Robust Comparative Fit Index (CFI)                         0.988
  Robust Tucker-Lewis Index (TLI)                            0.964

Loglikelihood and Information Criteria:

  Loglikelihood user model (H0)              -3192.304   -3192.304
  Scaling correction factor                                  1.090
      for the MLR correction                                      
  Loglikelihood unrestricted model (H1)      -3180.778   -3180.778
  Scaling correction factor                                  1.064
      for the MLR correction                                      
                                                                  
  Akaike (AIC)                                6468.608    6468.608
  Bayesian (BIC)                              6624.307    6624.307
  Sample-size adjusted Bayesian (SABIC)       6491.107    6491.107

Root Mean Square Error of Approximation:

  RMSEA                                          0.055       0.057
  90 Percent confidence interval - lower         0.018       0.020
  90 Percent confidence interval - upper         0.089       0.091
  P-value H_0: RMSEA <= 0.050                    0.358       0.329
  P-value H_0: RMSEA >= 0.080                    0.124       0.144
                                                                  
  Robust RMSEA                                               0.080
  90 Percent confidence interval - lower                     0.000
  90 Percent confidence interval - upper                     0.141
  P-value H_0: Robust RMSEA <= 0.050                         0.183
  P-value H_0: Robust RMSEA >= 0.080                         0.556

Standardized Root Mean Square Residual:

  SRMR                                           0.020       0.020

Parameter Estimates:

  Standard errors                             Sandwich
  Information bread                           Observed
  Observed information based on                Hessian

Latent Variables:
                   Estimate  Std.Err  z-value  P(>|z|)   Std.lv  Std.all
  f1 =~ efa1                                                            
    x1                0.718    0.101    7.098    0.000    0.718    0.620
    x2                0.574    0.094    6.104    0.000    0.574    0.497
    x3                0.776    0.094    8.264    0.000    0.776    0.689
    x4                0.159    0.068    2.330    0.020    0.159    0.135
    x5                0.166    0.077    2.165    0.030    0.166    0.128
    x6                0.216    0.064    3.367    0.001    0.216    0.208
    x7               -0.096    0.079   -1.214    0.225   -0.096   -0.090
    x8                0.178    0.076    2.329    0.020    0.178    0.176
    x9                0.410    0.084    4.899    0.000    0.410    0.402
  f2 =~ efa1                                                            
    x1                0.304    0.075    4.032    0.000    0.304    0.263
    x2                0.121    0.067    1.800    0.072    0.121    0.104
    x3                0.053    0.056    0.940    0.347    0.053    0.047
    x4                0.976    0.071   13.648    0.000    0.976    0.830
    x5                1.108    0.072   15.472    0.000    1.108    0.854
    x6                0.813    0.060   13.439    0.000    0.813    0.782
    x7                0.084    0.052    1.598    0.110    0.084    0.078
    x8                0.079    0.052    1.520    0.128    0.079    0.078
    x9                0.136    0.056    2.421    0.015    0.136    0.133
  f3 =~ efa1                                                            
    x1                0.145    0.075    1.934    0.053    0.145    0.125
    x2               -0.040    0.065   -0.613    0.540   -0.040   -0.034
    x3                0.194    0.080    2.421    0.015    0.194    0.172
    x4                0.106    0.055    1.919    0.055    0.106    0.090
    x5                0.143    0.075    1.901    0.057    0.143    0.110
    x6                0.100    0.049    2.035    0.042    0.100    0.097
    x7                0.754    0.118    6.383    0.000    0.754    0.706
    x8                0.698    0.103    6.783    0.000    0.698    0.689
    x9                0.547    0.072    7.552    0.000    0.547    0.536

Covariances:
                   Estimate  Std.Err  z-value  P(>|z|)   Std.lv  Std.all
  f1 ~~                                                                 
    f2                0.000                               0.000    0.000
    f3                0.000                               0.000    0.000
  f2 ~~                                                                 
    f3                0.000                               0.000    0.000

Intercepts:
                   Estimate  Std.Err  z-value  P(>|z|)   Std.lv  Std.all
   .x1                4.974    0.071   69.866    0.000    4.974    4.297
   .x2                6.047    0.070   86.533    0.000    6.047    5.230
   .x3                2.221    0.069   32.224    0.000    2.221    1.971
   .x4                3.095    0.071   43.794    0.000    3.095    2.634
   .x5                4.341    0.078   55.604    0.000    4.341    3.347
   .x6                2.188    0.064   34.270    0.000    2.188    2.104
   .x7                4.177    0.064   64.895    0.000    4.177    3.914
   .x8                5.520    0.062   89.727    0.000    5.520    5.449
   .x9                5.401    0.063   86.038    0.000    5.401    5.297

Variances:
                   Estimate  Std.Err  z-value  P(>|z|)   Std.lv  Std.all
   .x1                0.711    0.121    5.855    0.000    0.711    0.531
   .x2                0.991    0.119    8.325    0.000    0.991    0.741
   .x3                0.626    0.124    5.040    0.000    0.626    0.493
   .x4                0.393    0.073    5.413    0.000    0.393    0.284
   .x5                0.406    0.084    4.836    0.000    0.406    0.241
   .x6                0.364    0.054    6.681    0.000    0.364    0.336
   .x7                0.555    0.174    3.188    0.001    0.555    0.487
   .x8                0.501    0.117    4.291    0.000    0.501    0.488
   .x9                0.554    0.073    7.638    0.000    0.554    0.533
    f1                1.000                               1.000    1.000
    f2                1.000                               1.000    1.000
    f3                1.000                               1.000    1.000

R-Square:
                   Estimate
    x1                0.469
    x2                0.259
    x3                0.507
    x4                0.716
    x5                0.759
    x6                0.664
    x7                0.513
    x8                0.512
    x9                0.467
Code
summary(
  efa4factorOrthogonalLavaan_fit,
  fit.measures = TRUE,
  standardized = TRUE,
  rsquare = TRUE)
lavaan 0.6-21 ended normally after 597 iterations

  Estimator                                         ML
  Optimization method                           NLMINB
  Number of model parameters                        54
  Row rank of the constraints matrix                 6

  Rotation method                   VARIMAX ORTHOGONAL
  Rotation algorithm (rstarts)                GPA (30)
  Standardized metric                             TRUE
  Row weights                                   Kaiser

  Number of observations                           301
  Number of missing patterns                        75

Model Test User Model:
                                              Standard      Scaled
  Test Statistic                                 5.184       5.166
  Degrees of freedom                                 6           6
  P-value (Chi-square)                           0.520       0.523
  Scaling correction factor                                  1.003
    Yuan-Bentler correction (Mplus variant)                       

Model Test Baseline Model:

  Test statistic                               693.305     646.574
  Degrees of freedom                                36          36
  P-value                                        0.000       0.000
  Scaling correction factor                                  1.072

User Model versus Baseline Model:

  Comparative Fit Index (CFI)                    1.000       1.000
  Tucker-Lewis Index (TLI)                       1.007       1.008
                                                                  
  Robust Comparative Fit Index (CFI)                         1.000
  Robust Tucker-Lewis Index (TLI)                              Inf

Loglikelihood and Information Criteria:

  Loglikelihood user model (H0)              -3183.370   -3183.370
  Scaling correction factor                                  1.072
      for the MLR correction                                      
  Loglikelihood unrestricted model (H1)      -3180.778   -3180.778
  Scaling correction factor                                  1.064
      for the MLR correction                                      
                                                                  
  Akaike (AIC)                                6462.741    6462.741
  Bayesian (BIC)                              6640.682    6640.682
  Sample-size adjusted Bayesian (SABIC)       6488.453    6488.453

Root Mean Square Error of Approximation:

  RMSEA                                          0.000       0.000
  90 Percent confidence interval - lower         0.000       0.000
  90 Percent confidence interval - upper         0.069       0.069
  P-value H_0: RMSEA <= 0.050                    0.844       0.845
  P-value H_0: RMSEA >= 0.080                    0.021       0.020
                                                                  
  Robust RMSEA                                               0.000
  90 Percent confidence interval - lower                     0.000
  90 Percent confidence interval - upper                     0.000
  P-value H_0: Robust RMSEA <= 0.050                            NA
  P-value H_0: Robust RMSEA >= 0.080                            NA

Standardized Root Mean Square Residual:

  SRMR                                           0.013       0.013

Parameter Estimates:

  Standard errors                             Sandwich
  Information bread                           Observed
  Observed information based on                Hessian

Latent Variables:
                   Estimate  Std.Err  z-value  P(>|z|)   Std.lv  Std.all
  f1 =~ efa1                                                            
    x1                0.754    0.101    7.462    0.000    0.754    0.653
    x2                0.603    0.087    6.918    0.000    0.603    0.522
    x3                0.728    0.082    8.912    0.000    0.728    0.647
    x4                0.109    0.144    0.753    0.451    0.109    0.093
    x5                0.169    0.109    1.550    0.121    0.169    0.130
    x6                0.303    0.116    2.616    0.009    0.303    0.291
    x7               -0.112    0.072   -1.568    0.117   -0.112   -0.105
    x8                0.204    0.071    2.884    0.004    0.204    0.202
    x9                0.430    0.081    5.303    0.000    0.430    0.422
  f2 =~ efa1                                                            
    x1                0.229    0.165    1.386    0.166    0.229    0.198
    x2                0.061    0.072    0.839    0.401    0.061    0.052
    x3                0.058    0.083    0.696    0.486    0.058    0.051
    x4                1.689    0.819    2.062    0.039    1.689    1.440
    x5                0.524    0.441    1.189    0.234    0.524    0.404
    x6                0.465    0.262    1.771    0.077    0.465    0.447
    x7                0.091    0.055    1.641    0.101    0.091    0.085
    x8                0.029    0.056    0.520    0.603    0.029    0.029
    x9                0.087    0.074    1.167    0.243    0.087    0.085
  f3 =~ efa1                                                            
    x1                0.035    0.253    0.138    0.891    0.035    0.030
    x2                0.019    0.136    0.137    0.891    0.019    0.016
    x3               -0.000    0.012   -0.013    0.990   -0.000   -0.000
    x4                0.040    0.367    0.110    0.913    0.040    0.034
    x5                5.127   32.783    0.156    0.876    5.127    3.945
    x6                0.127    0.856    0.148    0.882    0.127    0.122
    x7                0.002    0.022    0.092    0.926    0.002    0.002
    x8                0.017    0.119    0.142    0.887    0.017    0.017
    x9                0.037    0.249    0.148    0.882    0.037    0.036
  f4 =~ efa1                                                            
    x1                0.142    0.072    1.968    0.049    0.142    0.122
    x2               -0.046    0.059   -0.772    0.440   -0.046   -0.039
    x3                0.198    0.075    2.618    0.009    0.198    0.175
    x4                0.062    0.078    0.804    0.421    0.062    0.053
    x5                0.117    0.055    2.145    0.032    0.117    0.090
    x6                0.140    0.067    2.085    0.037    0.140    0.135
    x7                0.782    0.097    8.059    0.000    0.782    0.732
    x8                0.678    0.084    8.067    0.000    0.678    0.671
    x9                0.539    0.071    7.622    0.000    0.539    0.528

Covariances:
                   Estimate  Std.Err  z-value  P(>|z|)   Std.lv  Std.all
  f1 ~~                                                                 
    f2                0.000                               0.000    0.000
    f3               -0.000                              -0.000   -0.000
    f4                0.000                               0.000    0.000
  f2 ~~                                                                 
    f3               -0.000                              -0.000   -0.000
    f4               -0.000                              -0.000   -0.000
  f3 ~~                                                                 
    f4               -0.000                              -0.000   -0.000

Intercepts:
                   Estimate  Std.Err  z-value  P(>|z|)   Std.lv  Std.all
   .x1                4.975    0.071   70.064    0.000    4.975    4.304
   .x2                6.046    0.070   86.350    0.000    6.046    5.227
   .x3                2.221    0.069   32.192    0.000    2.221    1.972
   .x4                3.092    0.070   43.893    0.000    3.092    2.636
   .x5                4.340    0.078   55.458    0.000    4.340    3.340
   .x6                2.193    0.064   34.043    0.000    2.193    2.109
   .x7                4.178    0.064   64.955    0.000    4.178    3.911
   .x8                5.519    0.061   89.827    0.000    5.519    5.455
   .x9                5.406    0.062   86.844    0.000    5.406    5.305

Variances:
                   Estimate  Std.Err  z-value  P(>|z|)   Std.lv  Std.all
   .x1                0.693    0.123    5.640    0.000    0.693    0.519
   .x2                0.968    0.117    8.266    0.000    0.968    0.723
   .x3                0.696    0.104    6.695    0.000    0.696    0.549
   .x4               -1.495    2.773   -0.539    0.590   -1.495   -1.087
   .x5              -24.912  336.529   -0.074    0.941  -24.912  -14.753
   .x6                0.738    0.216    3.422    0.001    0.738    0.683
   .x7                0.509    0.139    3.662    0.000    0.509    0.446
   .x8                0.520    0.100    5.217    0.000    0.520    0.508
   .x9                0.554    0.071    7.780    0.000    0.554    0.534
    f1                1.000                               1.000    1.000
    f2                1.000                               1.000    1.000
    f3                1.000                               1.000    1.000
    f4                1.000                               1.000    1.000

R-Square:
                   Estimate
    x1                0.481
    x2                0.277
    x3                0.451
    x4                   NA
    x5                   NA
    x6                0.317
    x7                0.554
    x8                0.492
    x9                0.466
Code
summary(
  efa5factorOrthogonalLavaan_fit,
  fit.measures = TRUE,
  standardized = TRUE,
  rsquare = TRUE)
lavaan 0.6-21 did NOT end normally after 10000 iterations
** WARNING ** Estimates below are most likely unreliable

  Estimator                                         ML
  Optimization method                           NLMINB
  Number of model parameters                        63
  Row rank of the constraints matrix                10

  Rotation method                   VARIMAX ORTHOGONAL
  Rotation algorithm (rstarts)                GPA (30)
  Standardized metric                             TRUE
  Row weights                                   Kaiser

  Number of observations                           301
  Number of missing patterns                        75


Parameter Estimates:

  Standard errors                             Sandwich
  Information bread                           Observed
  Observed information based on                Hessian

Latent Variables:
                   Estimate   Std.Err  z-value       P(>|z|)   Std.lv   Std.all
  f1 =~ efa1                                                                   
    x1                 0.704    0.125         5.622    0.000     0.704    0.610
    x2                 0.608    0.106         5.732    0.000     0.608    0.525
    x3                 0.413    0.057         7.294    0.000     0.413    0.367
    x4                 0.118    0.077         1.531    0.126     0.118    0.101
    x5                 0.203    0.108         1.872    0.061     0.203    0.156
    x6                 0.298    0.122         2.440    0.015     0.298    0.287
    x7                -0.204    0.097        -2.103    0.035    -0.204   -0.191
    x8                 0.210    0.085         2.467    0.014     0.210    0.207
    x9                 0.386    0.102         3.782    0.000     0.386    0.379
  f2 =~ efa1                                                                   
    x1                 0.013    0.003         3.815    0.000     0.013    0.011
    x2                 0.009    0.003         3.335    0.001     0.009    0.008
    x3                20.364    0.002     10305.983    0.000    20.364   18.099
    x4                 0.001    0.002         0.769    0.442     0.001    0.001
    x5                 0.001    0.002         0.368    0.713     0.001    0.001
    x6                 0.004    0.002         1.647    0.099     0.004    0.004
    x7                 0.003    0.002         1.354    0.176     0.003    0.003
    x8                 0.002    0.002         0.816    0.415     0.002    0.002
    x9                 0.009    0.002         3.870    0.000     0.009    0.009
  f3 =~ efa1                                                                   
    x1                 0.260    0.125         2.087    0.037     0.260    0.225
    x2                 0.064    0.048         1.332    0.183     0.064    0.056
    x3                 0.070    0.045         1.574    0.115     0.070    0.062
    x4                 1.474    0.533         2.764    0.006     1.474    1.256
    x5                 0.572    0.141         4.045    0.000     0.572    0.440
    x6                 0.536    0.213         2.517    0.012     0.536    0.515
    x7                 0.109    0.052         2.085    0.037     0.109    0.102
    x8                 0.037    0.041         0.901    0.368     0.037    0.037
    x9                 0.094    0.046         2.031    0.042     0.094    0.092
  f4 =~ efa1                                                                   
    x1                 0.004    0.002         2.210    0.027     0.004    0.004
    x2                 0.002    0.001         1.501    0.133     0.002    0.002
    x3                 0.000    0.001         0.369    0.712     0.000    0.000
    x4                 0.007    0.005         1.453    0.146     0.007    0.006
    x5                32.444    0.002     14238.628    0.000    32.444   24.947
    x6                 0.018    0.005         3.703    0.000     0.018    0.017
    x7                 0.000    0.002         0.028    0.978     0.000    0.000
    x8                 0.003    0.002         1.704    0.088     0.003    0.003
    x9                 0.005    0.001         3.415    0.001     0.005    0.005
  f5 =~ efa1                                                                   
    x1                 0.181    0.078         2.324    0.020     0.181    0.157
    x2                -0.007    0.047        -0.140    0.889    -0.007   -0.006
    x3                 0.156    0.051         3.068    0.002     0.156    0.138
    x4                 0.065    0.050         1.297    0.195     0.065    0.056
    x5                 0.124    0.052         2.365    0.018     0.124    0.095
    x6                 0.147    0.065         2.257    0.024     0.147    0.142
    x7                 0.801    0.097         8.260    0.000     0.801    0.749
    x8                 0.686    0.082         8.400    0.000     0.686    0.678
    x9                 0.551    0.074         7.457    0.000     0.551    0.541

Covariances:
                   Estimate   Std.Err  z-value  P(>|z|)   Std.lv   Std.all
  f1 ~~                                                                   
    f2                 0.000                                0.000    0.000
    f3                 0.000                                0.000    0.000
    f4                 0.000                                0.000    0.000
    f5                 0.000                                0.000    0.000
  f2 ~~                                                                   
    f3                 0.000                                0.000    0.000
    f4                 0.000                                0.000    0.000
    f5                -0.000                               -0.000   -0.000
  f3 ~~                                                                   
    f4                -0.000                               -0.000   -0.000
    f5                -0.000                               -0.000   -0.000
  f4 ~~                                                                   
    f5                -0.000                               -0.000   -0.000

Intercepts:
                   Estimate   Std.Err  z-value       P(>|z|)   Std.lv   Std.all
   .x1                 4.978    0.071        70.320    0.000     4.978    4.310
   .x2                 6.046    0.070        86.310    0.000     6.046    5.225
   .x3                 2.224    0.069        32.266    0.000     2.224    1.977
   .x4                 3.092    0.070        43.892    0.000     3.092    2.635
   .x5                 4.340    0.078        55.468    0.000     4.340    3.337
   .x6                 2.193    0.064        34.042    0.000     2.193    2.108
   .x7                 4.179    0.064        64.913    0.000     4.179    3.907
   .x8                 5.519    0.061        89.931    0.000     5.519    5.457
   .x9                 5.405    0.062        86.822    0.000     5.405    5.307

Variances:
                   Estimate   Std.Err  z-value       P(>|z|)   Std.lv   Std.all
   .x1                 0.737    0.150         4.921    0.000     0.737    0.552
   .x2                 0.965    0.137         7.045    0.000     0.965    0.721
   .x3              -413.622    0.000  -8531872.291    0.000  -413.622 -326.724
   .x4                -0.815    1.561        -0.522    0.601    -0.815   -0.592
   .x5             -1051.282    0.000 -29555246.687    0.000 -1051.282 -621.555
   .x6                 0.684    0.174         3.925    0.000     0.684    0.632
   .x7                 0.449    0.150         2.987    0.003     0.449    0.392
   .x8                 0.507    0.091         5.587    0.000     0.507    0.496
   .x9                 0.576    0.080         7.229    0.000     0.576    0.555
    f1                 1.000                                     1.000    1.000
    f2                 1.000                                     1.000    1.000
    f3                 1.000                                     1.000    1.000
    f4                 1.000                                     1.000    1.000
    f5                 1.000                                     1.000    1.000

R-Square:
                   Estimate 
    x1                 0.448
    x2                 0.279
    x3                    NA
    x4                    NA
    x5                    NA
    x6                 0.368
    x7                 0.608
    x8                 0.504
    x9                 0.445
Code
summary(
  efa6factorOrthogonalLavaan_fit,
  fit.measures = TRUE,
  standardized = TRUE,
  rsquare = TRUE)
lavaan 0.6-21 ended normally after 1 iteration

  Estimator                                         ML
  Optimization method                           NLMINB
  Number of model parameters                        72
  Row rank of the constraints matrix                15

  Rotation method                   VARIMAX ORTHOGONAL
  Rotation algorithm (rstarts)                GPA (30)
  Standardized metric                             TRUE
  Row weights                                   Kaiser

  Number of observations                           301
  Number of missing patterns                        75

Model Test User Model:
                                                      
  Test statistic                                    NA
  Degrees of freedom                                -3
  P-value (Unknown)                                 NA
                                                      
  Test statistic                                    NA
  Degrees of freedom                                -3
  P-value (Unknown)                                 NA

Model Test Baseline Model:

  Test statistic                                    NA          NA
  Degrees of freedom                                NA          NA
  P-value                                           NA          NA
  Scaling correction factor                                     NA

User Model versus Baseline Model:

  Comparative Fit Index (CFI)                       NA          NA
  Tucker-Lewis Index (TLI)                          NA          NA
                                                                  
  Robust Comparative Fit Index (CFI)                            NA
  Robust Tucker-Lewis Index (TLI)                               NA

Loglikelihood and Information Criteria:

  Loglikelihood user model (H0)              -3180.778   -3180.778
  Loglikelihood unrestricted model (H1)      -3180.778   -3180.778
                                                                  
  Akaike (AIC)                                6475.557    6475.557
  Bayesian (BIC)                              6686.862    6686.862
  Sample-size adjusted Bayesian (SABIC)       6506.090    6506.090

Root Mean Square Error of Approximation:

  RMSEA                                          0.000          NA
  90 Percent confidence interval - lower            NA          NA
  90 Percent confidence interval - upper            NA          NA
  P-value H_0: RMSEA <= 0.050                       NA          NA
  P-value H_0: RMSEA >= 0.080                       NA          NA
                                                                  
  Robust RMSEA                                               0.000
  90 Percent confidence interval - lower                        NA
  90 Percent confidence interval - upper                        NA
  P-value H_0: Robust RMSEA <= 0.050                            NA
  P-value H_0: Robust RMSEA >= 0.080                            NA

Standardized Root Mean Square Residual:

  SRMR                                           0.000       0.000

Parameter Estimates:

  Standard errors                             Sandwich
  Information bread                           Observed
  Observed information based on                Hessian

Latent Variables:
                   Estimate  Std.Err  z-value  P(>|z|)   Std.lv  Std.all
  f1 =~ efa1                                                            
    x1                0.499    0.351    1.422    0.155    0.499    0.432
    x2                0.013    0.156    0.081    0.936    0.013    0.011
    x3               -0.006    0.264   -0.022    0.982   -0.006   -0.005
    x4                0.239    0.116    2.065    0.039    0.239    0.203
    x5                0.034    0.106    0.320    0.749    0.034    0.026
    x6               -0.081    0.150   -0.541    0.589   -0.081   -0.078
    x7               -0.004    0.027   -0.142    0.887   -0.004   -0.004
    x8                0.048    0.089    0.536    0.592    0.048    0.047
    x9                0.032    0.105    0.304    0.762    0.032    0.031
  f2 =~ efa1                                                            
    x1                0.684    0.232    2.946    0.003    0.684    0.592
    x2                0.529    0.101    5.223    0.000    0.529    0.458
    x3                0.846    0.143    5.908    0.000    0.846    0.752
    x4                0.129    0.112    1.145    0.252    0.129    0.110
    x5                0.092    0.085    1.089    0.276    0.092    0.071
    x6                0.234    0.077    3.048    0.002    0.234    0.225
    x7               -0.056    0.056   -1.005    0.315   -0.056   -0.052
    x8                0.163    0.073    2.221    0.026    0.163    0.161
    x9                0.393    0.209    1.883    0.060    0.393    0.385
  f3 =~ efa1                                                            
    x1                0.289    0.071    4.043    0.000    0.289    0.250
    x2                0.137    0.072    1.919    0.055    0.137    0.119
    x3                0.063    0.052    1.213    0.225    0.063    0.056
    x4                0.990    0.070   14.207    0.000    0.990    0.844
    x5                1.127    0.071   15.874    0.000    1.127    0.867
    x6                0.830    0.071   11.743    0.000    0.830    0.798
    x7                0.085    0.046    1.854    0.064    0.085    0.079
    x8                0.083    0.045    1.859    0.063    0.083    0.082
    x9                0.135    0.057    2.374    0.018    0.135    0.133
  f4 =~ efa1                                                            
    x1               -0.020    0.092   -0.213    0.831   -0.020   -0.017
    x2               -0.166    0.100   -1.668    0.095   -0.166   -0.144
    x3                0.158    0.074    2.141    0.032    0.158    0.141
    x4                0.160    0.066    2.428    0.015    0.160    0.136
    x5               -0.044    0.107   -0.408    0.683   -0.044   -0.034
    x6                0.049    0.071    0.689    0.491    0.049    0.047
    x7                0.834    0.243    3.430    0.001    0.834    0.780
    x8                0.353    0.305    1.157    0.247    0.353    0.350
    x9                0.289    0.227    1.268    0.205    0.289    0.283
  f5 =~ efa1                                                            
    x1                0.173    0.101    1.718    0.086    0.173    0.150
    x2                0.096    0.108    0.887    0.375    0.096    0.083
    x3                0.026    0.141    0.182    0.856    0.026    0.023
    x4               -0.063    0.085   -0.742    0.458   -0.063   -0.053
    x5                0.153    0.149    1.028    0.304    0.153    0.118
    x6                0.104    0.066    1.566    0.117    0.104    0.100
    x7                0.283    0.274    1.033    0.302    0.283    0.264
    x8                0.708    0.229    3.100    0.002    0.708    0.701
    x9                0.295    0.455    0.648    0.517    0.295    0.290
  f6 =~ efa1                                                            
    x1                0.062    0.269    0.230    0.818    0.062    0.054
    x2                0.071    0.189    0.377    0.707    0.071    0.061
    x3                0.099    0.312    0.317    0.751    0.099    0.088
    x4               -0.007    0.077   -0.095    0.924   -0.007   -0.006
    x5                0.245    0.056    4.394    0.000    0.245    0.189
    x6               -0.033    0.251   -0.130    0.897   -0.033   -0.031
    x7                0.116    0.342    0.338    0.735    0.116    0.108
    x8                0.140    0.395    0.354    0.723    0.140    0.138
    x9                0.533    0.731    0.729    0.466    0.533    0.523

Covariances:
                   Estimate  Std.Err  z-value  P(>|z|)   Std.lv  Std.all
  f1 ~~                                                                 
    f2               -0.000                              -0.000   -0.000
    f3                0.000                               0.000    0.000
    f4               -0.000                              -0.000   -0.000
    f5               -0.000                              -0.000   -0.000
    f6                0.000                               0.000    0.000
  f2 ~~                                                                 
    f3               -0.000                              -0.000   -0.000
    f4               -0.000                              -0.000   -0.000
    f5                0.000                               0.000    0.000
    f6               -0.000                              -0.000   -0.000
  f3 ~~                                                                 
    f4               -0.000                              -0.000   -0.000
    f5                0.000                               0.000    0.000
    f6                0.000                               0.000    0.000
  f4 ~~                                                                 
    f5               -0.000                              -0.000   -0.000
    f6               -0.000                              -0.000   -0.000
  f5 ~~                                                                 
    f6               -0.000                              -0.000   -0.000

Intercepts:
                   Estimate  Std.Err  z-value  P(>|z|)   Std.lv  Std.all
   .x1                4.978    0.071   70.388    0.000    4.978    4.312
   .x2                6.046    0.070   86.371    0.000    6.046    5.225
   .x3                2.224    0.069   32.260    0.000    2.224    1.977
   .x4                3.092    0.070   43.927    0.000    3.092    2.636
   .x5                4.340    0.078   55.461    0.000    4.340    3.340
   .x6                2.193    0.064   34.054    0.000    2.193    2.109
   .x7                4.180    0.064   64.927    0.000    4.180    3.906
   .x8                5.519    0.061   89.863    0.000    5.519    5.460
   .x9                5.405    0.062   86.740    0.000    5.405    5.305

Variances:
                   Estimate  Std.Err  z-value  P(>|z|)   Std.lv  Std.all
   .x1                0.499    0.172    2.893    0.004    0.499    0.374
   .x2                0.998    0.127    7.840    0.000    0.998    0.745
   .x3                0.511    0.227    2.255    0.024    0.511    0.404
   .x4                0.293    0.098    2.979    0.003    0.293    0.213
   .x5                0.323    0.114    2.845    0.004    0.323    0.192
   .x6                0.317    0.104    3.057    0.002    0.317    0.293
   .x7                0.345    0.423    0.816    0.415    0.345    0.302
   .x8                0.340    0.305    1.114    0.265    0.340    0.333
   .x9                0.410    0.357    1.148    0.251    0.410    0.395
    f1                1.000                               1.000    1.000
    f2                1.000                               1.000    1.000
    f3                1.000                               1.000    1.000
    f4                1.000                               1.000    1.000
    f5                1.000                               1.000    1.000
    f6                1.000                               1.000    1.000

R-Square:
                   Estimate
    x1                0.626
    x2                0.255
    x3                0.596
    x4                0.787
    x5                0.808
    x6                0.707
    x7                0.698
    x8                0.667
    x9                0.605
Code
summary(
  efa7factorOrthogonalLavaan_fit,
  fit.measures = TRUE,
  standardized = TRUE,
  rsquare = TRUE)
lavaan 0.6-21 ended normally after 1 iteration

  Estimator                                         ML
  Optimization method                           NLMINB
  Number of model parameters                        81
  Row rank of the constraints matrix                21

  Rotation method                   VARIMAX ORTHOGONAL
  Rotation algorithm (rstarts)                GPA (30)
  Standardized metric                             TRUE
  Row weights                                   Kaiser

  Number of observations                           301
  Number of missing patterns                        75

Model Test User Model:
                                                      
  Test statistic                                    NA
  Degrees of freedom                                -6
  P-value (Unknown)                                 NA
                                                      
  Test statistic                                    NA
  Degrees of freedom                                -6
  P-value (Unknown)                                 NA

Model Test Baseline Model:

  Test statistic                                    NA          NA
  Degrees of freedom                                NA          NA
  P-value                                           NA          NA
  Scaling correction factor                                     NA

User Model versus Baseline Model:

  Comparative Fit Index (CFI)                       NA          NA
  Tucker-Lewis Index (TLI)                          NA          NA
                                                                  
  Robust Comparative Fit Index (CFI)                            NA
  Robust Tucker-Lewis Index (TLI)                               NA

Loglikelihood and Information Criteria:

  Loglikelihood user model (H0)              -3180.778   -3180.778
  Loglikelihood unrestricted model (H1)      -3180.778   -3180.778
                                                                  
  Akaike (AIC)                                6481.557    6481.557
  Bayesian (BIC)                              6703.983    6703.983
  Sample-size adjusted Bayesian (SABIC)       6513.697    6513.697

Root Mean Square Error of Approximation:

  RMSEA                                          0.000          NA
  90 Percent confidence interval - lower            NA          NA
  90 Percent confidence interval - upper            NA          NA
  P-value H_0: RMSEA <= 0.050                       NA          NA
  P-value H_0: RMSEA >= 0.080                       NA          NA
                                                                  
  Robust RMSEA                                               0.000
  90 Percent confidence interval - lower                        NA
  90 Percent confidence interval - upper                        NA
  P-value H_0: Robust RMSEA <= 0.050                            NA
  P-value H_0: Robust RMSEA >= 0.080                            NA

Standardized Root Mean Square Residual:

  SRMR                                           0.000       0.000

Parameter Estimates:

  Standard errors                             Sandwich
  Information bread                           Observed
  Observed information based on                Hessian

Latent Variables:
                   Estimate  Std.Err  z-value  P(>|z|)   Std.lv  Std.all
  f1 =~ efa1                                                            
    x1                0.589    0.277    2.125    0.034    0.589    0.510
    x2                0.083    0.107    0.780    0.435    0.083    0.072
    x3                0.072    0.312    0.232    0.817    0.072    0.064
    x4                0.195    0.095    2.044    0.041    0.195    0.166
    x5                0.101    0.089    1.127    0.260    0.101    0.078
    x6               -0.039    0.146   -0.268    0.789   -0.039   -0.038
    x7               -0.104    0.097   -1.070    0.285   -0.104   -0.097
    x8                0.178    0.108    1.654    0.098    0.178    0.176
    x9                0.068    0.114    0.593    0.553    0.068    0.066
  f2 =~ efa1                                                            
    x1                0.235    0.201    1.172    0.241    0.235    0.204
    x2                0.750    0.944    0.794    0.427    0.750    0.648
    x3                0.263    0.238    1.104    0.270    0.263    0.233
    x4                0.022    0.075    0.288    0.773    0.022    0.018
    x5                0.114    0.149    0.766    0.443    0.114    0.088
    x6                0.114    0.096    1.191    0.234    0.114    0.110
    x7               -0.141    0.260   -0.543    0.587   -0.141   -0.132
    x8                0.105    0.179    0.588    0.556    0.105    0.104
    x9                0.138    0.137    1.003    0.316    0.138    0.135
  f3 =~ efa1                                                            
    x1                0.583    0.250    2.332    0.020    0.583    0.505
    x2                0.290    0.184    1.573    0.116    0.290    0.250
    x3                0.777    0.179    4.348    0.000    0.777    0.690
    x4                0.105    0.072    1.455    0.146    0.105    0.090
    x5               -0.000    0.139   -0.001    0.999   -0.000   -0.000
    x6                0.196    0.069    2.822    0.005    0.196    0.188
    x7                0.052    0.130    0.403    0.687    0.052    0.049
    x8                0.100    0.168    0.593    0.553    0.100    0.099
    x9                0.362    0.395    0.916    0.360    0.362    0.355
  f4 =~ efa1                                                            
    x1                0.297    0.077    3.842    0.000    0.297    0.257
    x2                0.121    0.062    1.935    0.053    0.121    0.104
    x3                0.084    0.049    1.691    0.091    0.084    0.074
    x4                1.001    0.073   13.731    0.000    1.001    0.853
    x5                1.119    0.076   14.704    0.000    1.119    0.861
    x6                0.840    0.069   12.197    0.000    0.840    0.808
    x7                0.085    0.054    1.568    0.117    0.085    0.080
    x8                0.080    0.050    1.582    0.114    0.080    0.079
    x9                0.140    0.056    2.498    0.012    0.140    0.137
  f5 =~ efa1                                                            
    x1                0.019    0.074    0.263    0.792    0.019    0.017
    x2                0.017    0.011    1.496    0.135    0.017    0.015
    x3                0.003    0.038    0.083    0.934    0.003    0.003
    x4               -0.253    0.079   -3.194    0.001   -0.253   -0.216
    x5                0.095    0.156    0.613    0.540    0.095    0.073
    x6                0.129    0.139    0.933    0.351    0.129    0.124
    x7               -0.193    0.208   -0.928    0.354   -0.193   -0.180
    x8                0.251    0.323    0.777    0.437    0.251    0.248
    x9                0.016    0.053    0.300    0.764    0.016    0.016
  f6 =~ efa1                                                            
    x1                0.080    0.189    0.427    0.670    0.080    0.070
    x2               -0.037    0.109   -0.340    0.734   -0.037   -0.032
    x3                0.129    0.154    0.837    0.402    0.129    0.114
    x4                0.093    0.099    0.937    0.349    0.093    0.079
    x5                0.086    0.244    0.352    0.725    0.086    0.066
    x6                0.099    0.065    1.509    0.131    0.099    0.095
    x7                0.809    0.193    4.194    0.000    0.809    0.756
    x8                0.712    0.274    2.595    0.009    0.712    0.705
    x9                0.449    0.445    1.007    0.314    0.449    0.440
  f7 =~ efa1                                                            
    x1                0.080    0.398    0.202    0.840    0.080    0.069
    x2                0.061    0.212    0.287    0.774    0.061    0.053
    x3                0.108    0.629    0.171    0.864    0.108    0.096
    x4               -0.032    0.130   -0.245    0.807   -0.032   -0.027
    x5                0.262    0.179    1.469    0.142    0.262    0.202
    x6               -0.037    0.399   -0.093    0.926   -0.037   -0.036
    x7                0.022    0.619    0.036    0.971    0.022    0.021
    x8                0.128    0.528    0.242    0.809    0.128    0.126
    x9                0.510    1.110    0.459    0.646    0.510    0.500

Covariances:
                   Estimate  Std.Err  z-value  P(>|z|)   Std.lv  Std.all
  f1 ~~                                                                 
    f2               -0.000                              -0.000   -0.000
    f3               -0.000                              -0.000   -0.000
    f4                0.000                               0.000    0.000
    f5                0.000                               0.000    0.000
    f6               -0.000                              -0.000   -0.000
    f7               -0.000                              -0.000   -0.000
  f2 ~~                                                                 
    f3               -0.000                              -0.000   -0.000
    f4               -0.000                              -0.000   -0.000
    f5               -0.000                              -0.000   -0.000
    f6                0.000                               0.000    0.000
    f7               -0.000                              -0.000   -0.000
  f3 ~~                                                                 
    f4                0.000                               0.000    0.000
    f5               -0.000                              -0.000   -0.000
    f6               -0.000                              -0.000   -0.000
    f7               -0.000                              -0.000   -0.000
  f4 ~~                                                                 
    f5               -0.000                              -0.000   -0.000
    f6               -0.000                              -0.000   -0.000
    f7                0.000                               0.000    0.000
  f5 ~~                                                                 
    f6               -0.000                              -0.000   -0.000
    f7                0.000                               0.000    0.000
  f6 ~~                                                                 
    f7                0.000                               0.000    0.000

Intercepts:
                   Estimate  Std.Err  z-value  P(>|z|)   Std.lv  Std.all
   .x1                4.978    0.071   70.388    0.000    4.978    4.312
   .x2                6.046    0.070   86.371    0.000    6.046    5.225
   .x3                2.224    0.069   32.260    0.000    2.224    1.977
   .x4                3.092    0.070   43.927    0.000    3.092    2.636
   .x5                4.340    0.078   55.461    0.000    4.340    3.340
   .x6                2.193    0.064   34.054    0.000    2.193    2.109
   .x7                4.180    0.064   64.927    0.000    4.180    3.906
   .x8                5.519    0.061   89.863    0.000    5.519    5.460
   .x9                5.405    0.062   86.740    0.000    5.405    5.305

Variances:
                   Estimate  Std.Err  z-value  P(>|z|)   Std.lv  Std.all
   .x1                0.489    0.142    3.442    0.001    0.489    0.367
   .x2                0.667    1.326    0.503    0.615    0.667    0.498
   .x3                0.553    0.158    3.503    0.000    0.553    0.437
   .x4                0.251    0.104    2.419    0.016    0.251    0.182
   .x5                0.329    0.206    1.594    0.111    0.329    0.195
   .x6                0.295    0.134    2.200    0.028    0.295    0.273
   .x7                0.413    0.234    1.766    0.077    0.413    0.360
   .x8                0.376    0.186    2.027    0.043    0.376    0.368
   .x9                0.403    0.469    0.859    0.390    0.403    0.388
    f1                1.000                               1.000    1.000
    f2                1.000                               1.000    1.000
    f3                1.000                               1.000    1.000
    f4                1.000                               1.000    1.000
    f5                1.000                               1.000    1.000
    f6                1.000                               1.000    1.000
    f7                1.000                               1.000    1.000

R-Square:
                   Estimate
    x1                0.633
    x2                0.502
    x3                0.563
    x4                0.818
    x5                0.805
    x6                0.727
    x7                0.640
    x8                0.632
    x9                0.612
Code
summary(
  efa8factorOrthogonalLavaan_fit,
  fit.measures = TRUE,
  standardized = TRUE,
  rsquare = TRUE)
lavaan 0.6-21 ended normally after 1 iteration

  Estimator                                         ML
  Optimization method                           NLMINB
  Number of model parameters                        90
  Row rank of the constraints matrix                28

  Rotation method                   VARIMAX ORTHOGONAL
  Rotation algorithm (rstarts)                GPA (30)
  Standardized metric                             TRUE
  Row weights                                   Kaiser

  Number of observations                           301
  Number of missing patterns                        75

Model Test User Model:
                                                      
  Test statistic                                    NA
  Degrees of freedom                                -8
  P-value (Unknown)                                 NA
                                                      
  Test statistic                                    NA
  Degrees of freedom                                -8
  P-value (Unknown)                                 NA

Model Test Baseline Model:

  Test statistic                                    NA          NA
  Degrees of freedom                                NA          NA
  P-value                                           NA          NA
  Scaling correction factor                                     NA

User Model versus Baseline Model:

  Comparative Fit Index (CFI)                       NA          NA
  Tucker-Lewis Index (TLI)                          NA          NA
                                                                  
  Robust Comparative Fit Index (CFI)                            NA
  Robust Tucker-Lewis Index (TLI)                               NA

Loglikelihood and Information Criteria:

  Loglikelihood user model (H0)              -3180.778   -3180.778
  Loglikelihood unrestricted model (H1)      -3180.778   -3180.778
                                                                  
  Akaike (AIC)                                6485.557    6485.557
  Bayesian (BIC)                              6715.398    6715.398
  Sample-size adjusted Bayesian (SABIC)       6518.769    6518.769

Root Mean Square Error of Approximation:

  RMSEA                                          0.000          NA
  90 Percent confidence interval - lower            NA          NA
  90 Percent confidence interval - upper            NA          NA
  P-value H_0: RMSEA <= 0.050                       NA          NA
  P-value H_0: RMSEA >= 0.080                       NA          NA
                                                                  
  Robust RMSEA                                               0.000
  90 Percent confidence interval - lower                        NA
  90 Percent confidence interval - upper                        NA
  P-value H_0: Robust RMSEA <= 0.050                            NA
  P-value H_0: Robust RMSEA >= 0.080                            NA

Standardized Root Mean Square Residual:

  SRMR                                           0.000       0.000

Parameter Estimates:

  Standard errors                             Sandwich
  Information bread                           Observed
  Observed information based on                Hessian

Latent Variables:
                   Estimate  Std.Err  z-value  P(>|z|)   Std.lv  Std.all
  f1 =~ efa1                                                            
    x1                0.750    0.214    3.497    0.000    0.750    0.650
    x2                0.149    0.104    1.430    0.153    0.149    0.128
    x3                0.253    0.174    1.453    0.146    0.253    0.225
    x4                0.231    0.085    2.697    0.007    0.231    0.197
    x5                0.097    0.137    0.711    0.477    0.097    0.075
    x6                0.041    0.054    0.761    0.446    0.041    0.039
    x7               -0.075    0.103   -0.732    0.464   -0.075   -0.070
    x8                0.181    0.099    1.838    0.066    0.181    0.179
    x9                0.150    0.090    1.656    0.098    0.150    0.147
  f2 =~ efa1                                                            
    x1                0.247    0.268    0.920    0.358    0.247    0.214
    x2                0.801    0.930    0.861    0.389    0.801    0.692
    x3                0.268    0.349    0.767    0.443    0.268    0.238
    x4                0.028    0.062    0.458    0.647    0.028    0.024
    x5                0.105    0.160    0.658    0.511    0.105    0.081
    x6                0.118    0.127    0.926    0.354    0.118    0.113
    x7               -0.129    0.212   -0.608    0.543   -0.129   -0.121
    x8                0.100    0.137    0.729    0.466    0.100    0.099
    x9                0.143    0.216    0.661    0.508    0.143    0.140
  f3 =~ efa1                                                            
    x1                0.372    0.266    1.397    0.162    0.372    0.322
    x2                0.216    0.073    2.963    0.003    0.216    0.187
    x3                0.779    0.258    3.014    0.003    0.779    0.692
    x4                0.051    0.107    0.482    0.630    0.051    0.044
    x5               -0.027    0.086   -0.311    0.756   -0.027   -0.021
    x6                0.172    0.057    3.013    0.003    0.172    0.166
    x7                0.064    0.118    0.538    0.591    0.064    0.059
    x8                0.053    0.115    0.460    0.646    0.053    0.052
    x9                0.265    0.250    1.061    0.289    0.265    0.260
  f4 =~ efa1                                                            
    x1                0.283    0.099    2.869    0.004    0.283    0.245
    x2                0.118    0.057    2.061    0.039    0.118    0.102
    x3                0.081    0.082    0.977    0.329    0.081    0.072
    x4                0.990    0.129    7.650    0.000    0.990    0.844
    x5                1.119    0.203    5.521    0.000    1.119    0.861
    x6                0.852    0.180    4.733    0.000    0.852    0.819
    x7                0.086    0.046    1.889    0.059    0.086    0.081
    x8                0.076    0.053    1.439    0.150    0.076    0.075
    x9                0.138    0.052    2.661    0.008    0.138    0.135
  f5 =~ efa1                                                            
    x1               -0.000    0.008   -0.032    0.975   -0.000   -0.000
    x2                0.004    0.047    0.089    0.929    0.004    0.004
    x3                0.009    0.051    0.174    0.862    0.009    0.008
    x4               -0.099    1.031   -0.096    0.924   -0.099   -0.084
    x5               -0.118    0.522   -0.227    0.821   -0.118   -0.091
    x6                0.206    0.920    0.224    0.823    0.206    0.198
    x7               -0.008    0.216   -0.039    0.969   -0.008   -0.008
    x8                0.016    0.294    0.055    0.956    0.016    0.016
    x9               -0.001    0.013   -0.071    0.943   -0.001   -0.001
  f6 =~ efa1                                                            
    x1                0.071    0.234    0.304    0.761    0.071    0.062
    x2               -0.043    0.120   -0.355    0.722   -0.043   -0.037
    x3                0.114    0.184    0.620    0.536    0.114    0.102
    x4                0.103    0.108    0.953    0.341    0.103    0.088
    x5                0.068    0.235    0.291    0.771    0.068    0.053
    x6                0.093    0.110    0.848    0.397    0.093    0.090
    x7                0.806    0.132    6.088    0.000    0.806    0.753
    x8                0.702    0.176    3.983    0.000    0.702    0.695
    x9                0.408    0.462    0.882    0.378    0.408    0.400
  f7 =~ efa1                                                            
    x1                0.026    0.114    0.231    0.817    0.026    0.023
    x2                0.018    0.024    0.760    0.447    0.018    0.016
    x3                0.003    0.060    0.056    0.955    0.003    0.003
    x4               -0.220    0.066   -3.335    0.001   -0.220   -0.187
    x5                0.133    0.102    1.313    0.189    0.133    0.103
    x6                0.089    0.160    0.556    0.578    0.089    0.086
    x7               -0.184    0.307   -0.600    0.549   -0.184   -0.172
    x8                0.296    0.676    0.438    0.662    0.296    0.293
    x9                0.022    0.118    0.184    0.854    0.022    0.021
  f8 =~ efa1                                                            
    x1                0.142    0.289    0.493    0.622    0.142    0.123
    x2                0.085    0.117    0.729    0.466    0.085    0.074
    x3                0.173    0.330    0.525    0.600    0.173    0.154
    x4               -0.016    0.160   -0.100    0.921   -0.016   -0.014
    x5                0.237    0.148    1.609    0.108    0.237    0.183
    x6                0.006    0.298    0.019    0.985    0.006    0.005
    x7                0.084    0.470    0.178    0.858    0.084    0.078
    x8                0.169    0.367    0.460    0.645    0.169    0.167
    x9                0.613    0.895    0.685    0.493    0.613    0.602

Covariances:
                   Estimate  Std.Err  z-value  P(>|z|)   Std.lv  Std.all
  f1 ~~                                                                 
    f2               -0.000                              -0.000   -0.000
    f3                0.000                               0.000    0.000
    f4                0.000                               0.000    0.000
    f5                0.000                               0.000    0.000
    f6               -0.000                              -0.000   -0.000
    f7               -0.000                              -0.000   -0.000
    f8                0.000                               0.000    0.000
  f2 ~~                                                                 
    f3               -0.000                              -0.000   -0.000
    f4                0.000                               0.000    0.000
    f5               -0.000                              -0.000   -0.000
    f6               -0.000                              -0.000   -0.000
    f7                0.000                               0.000    0.000
    f8               -0.000                              -0.000   -0.000
  f3 ~~                                                                 
    f4                0.000                               0.000    0.000
    f5               -0.000                              -0.000   -0.000
    f6               -0.000                              -0.000   -0.000
    f7                0.000                               0.000    0.000
    f8               -0.000                              -0.000   -0.000
  f4 ~~                                                                 
    f5               -0.000                              -0.000   -0.000
    f6                0.000                               0.000    0.000
    f7               -0.000                              -0.000   -0.000
    f8               -0.000                              -0.000   -0.000
  f5 ~~                                                                 
    f6                0.000                               0.000    0.000
    f7                0.000                               0.000    0.000
    f8               -0.000                              -0.000   -0.000
  f6 ~~                                                                 
    f7                0.000                               0.000    0.000
    f8               -0.000                              -0.000   -0.000
  f7 ~~                                                                 
    f8               -0.000                              -0.000   -0.000

Intercepts:
                   Estimate  Std.Err  z-value  P(>|z|)   Std.lv  Std.all
   .x1                4.978    0.071   70.388    0.000    4.978    4.312
   .x2                6.046    0.070   86.371    0.000    6.046    5.225
   .x3                2.224    0.069   32.260    0.000    2.224    1.977
   .x4                3.092    0.070   43.927    0.000    3.092    2.636
   .x5                4.340    0.078   55.461    0.000    4.340    3.340
   .x6                2.193    0.064   34.054    0.000    2.193    2.109
   .x7                4.180    0.064   64.927    0.000    4.180    3.906
   .x8                5.519    0.061   89.863    0.000    5.519    5.460
   .x9                5.405    0.062   86.740    0.000    5.405    5.305

Variances:
                   Estimate  Std.Err  z-value  P(>|z|)   Std.lv  Std.all
   .x1                0.465    0.186    2.492    0.013    0.465    0.349
   .x2                0.606    1.468    0.413    0.680    0.606    0.453
   .x3                0.474    0.224    2.116    0.034    0.474    0.375
   .x4                0.271    0.395    0.686    0.492    0.271    0.197
   .x5                0.322    0.420    0.767    0.443    0.322    0.191
   .x6                0.252    0.691    0.365    0.715    0.252    0.233
   .x7                0.420    0.207    2.028    0.043    0.420    0.367
   .x8                0.361    0.348    1.037    0.300    0.361    0.353
   .x9                0.363    0.543    0.668    0.504    0.363    0.350
    f1                1.000                               1.000    1.000
    f2                1.000                               1.000    1.000
    f3                1.000                               1.000    1.000
    f4                1.000                               1.000    1.000
    f5                1.000                               1.000    1.000
    f6                1.000                               1.000    1.000
    f7                1.000                               1.000    1.000
    f8                1.000                               1.000    1.000

R-Square:
                   Estimate
    x1                0.651
    x2                0.547
    x3                0.625
    x4                0.803
    x5                0.809
    x6                0.767
    x7                0.633
    x8                0.647
    x9                0.650
Code
summary(
  efa9factorOrthogonalLavaan_fit,
  fit.measures = TRUE,
  standardized = TRUE,
  rsquare = TRUE)
lavaan 0.6-21 ended normally after 1 iteration

  Estimator                                         ML
  Optimization method                           NLMINB
  Number of model parameters                        99
  Row rank of the constraints matrix                36

  Rotation method                   VARIMAX ORTHOGONAL
  Rotation algorithm (rstarts)                GPA (30)
  Standardized metric                             TRUE
  Row weights                                   Kaiser

  Number of observations                           301
  Number of missing patterns                        75

Model Test User Model:
                                                      
  Test statistic                                    NA
  Degrees of freedom                                -9
  P-value (Unknown)                                 NA
                                                      
  Test statistic                                    NA
  Degrees of freedom                                -9
  P-value (Unknown)                                 NA

Model Test Baseline Model:

  Test statistic                                    NA          NA
  Degrees of freedom                                NA          NA
  P-value                                           NA          NA
  Scaling correction factor                                     NA

User Model versus Baseline Model:

  Comparative Fit Index (CFI)                       NA          NA
  Tucker-Lewis Index (TLI)                          NA          NA
                                                                  
  Robust Comparative Fit Index (CFI)                            NA
  Robust Tucker-Lewis Index (TLI)                               NA

Loglikelihood and Information Criteria:

  Loglikelihood user model (H0)              -3180.778   -3180.778
  Loglikelihood unrestricted model (H1)      -3180.778   -3180.778
                                                                  
  Akaike (AIC)                                6487.557    6487.557
  Bayesian (BIC)                              6721.105    6721.105
  Sample-size adjusted Bayesian (SABIC)       6521.305    6521.305

Root Mean Square Error of Approximation:

  RMSEA                                          0.000          NA
  90 Percent confidence interval - lower            NA          NA
  90 Percent confidence interval - upper            NA          NA
  P-value H_0: RMSEA <= 0.050                       NA          NA
  P-value H_0: RMSEA >= 0.080                       NA          NA
                                                                  
  Robust RMSEA                                               0.000
  90 Percent confidence interval - lower                        NA
  90 Percent confidence interval - upper                        NA
  P-value H_0: Robust RMSEA <= 0.050                            NA
  P-value H_0: Robust RMSEA >= 0.080                            NA

Standardized Root Mean Square Residual:

  SRMR                                           0.000       0.000

Parameter Estimates:

  Standard errors                             Sandwich
  Information bread                           Observed
  Observed information based on                Hessian

Latent Variables:
                   Estimate  Std.Err  z-value  P(>|z|)   Std.lv  Std.all
  f1 =~ efa1                                                            
    x1                0.779    0.153    5.093    0.000    0.779    0.675
    x2                0.152    0.045    3.356    0.001    0.152    0.132
    x3                0.258    0.067    3.843    0.000    0.258    0.230
    x4                0.233    0.078    2.985    0.003    0.233    0.199
    x5                0.093    0.094    0.996    0.319    0.093    0.072
    x6                0.050    0.043    1.166    0.244    0.050    0.048
    x7               -0.057    0.094   -0.608    0.543   -0.057   -0.054
    x8                0.178    0.071    2.502    0.012    0.178    0.176
    x9                0.154    0.077    2.000    0.046    0.154    0.152
  f2 =~ efa1                                                            
    x1                0.233    0.084    2.765    0.006    0.233    0.202
    x2                0.837    0.339    2.471    0.013    0.837    0.724
    x3                0.251    0.132    1.906    0.057    0.251    0.223
    x4                0.032    0.057    0.557    0.577    0.032    0.027
    x5                0.098    0.080    1.236    0.217    0.098    0.076
    x6                0.113    0.052    2.171    0.030    0.113    0.109
    x7               -0.115    0.069   -1.665    0.096   -0.115   -0.107
    x8                0.095    0.085    1.109    0.267    0.095    0.094
    x9                0.134    0.072    1.865    0.062    0.134    0.132
  f3 =~ efa1                                                            
    x1                0.349    0.128    2.738    0.006    0.349    0.303
    x2                0.208    0.044    4.718    0.000    0.208    0.179
    x3                0.810    0.134    6.047    0.000    0.810    0.720
    x4                0.048    0.074    0.648    0.517    0.048    0.041
    x5               -0.020    0.067   -0.304    0.761   -0.020   -0.016
    x6                0.163    0.043    3.785    0.000    0.163    0.157
    x7                0.054    0.058    0.921    0.357    0.054    0.050
    x8                0.056    0.065    0.864    0.388    0.056    0.056
    x9                0.245    0.202    1.214    0.225    0.245    0.240
  f4 =~ efa1                                                            
    x1                0.281    0.069    4.100    0.000    0.281    0.244
    x2                0.116    0.055    2.123    0.034    0.116    0.100
    x3                0.080    0.049    1.631    0.103    0.080    0.071
    x4                0.985    0.068   14.426    0.000    0.985    0.840
    x5                1.120    0.084   13.251    0.000    1.120    0.862
    x6                0.857    0.078   11.036    0.000    0.857    0.824
    x7                0.085    0.045    1.881    0.060    0.085    0.079
    x8                0.075    0.047    1.589    0.112    0.075    0.074
    x9                0.137    0.053    2.600    0.009    0.137    0.134
  f5 =~ efa1                                                            
    x1               -0.000    0.000   -0.360    0.719   -0.000   -0.000
    x2                0.000    0.000    0.906    0.365    0.000    0.000
    x3                0.000    0.000    0.232    0.817    0.000    0.000
    x4               -0.000    0.000   -1.201    0.230   -0.000   -0.000
    x5                0.000    0.000    0.014    0.989    0.000    0.000
    x6                0.000    0.000    0.349    0.727    0.000    0.000
    x7               -0.000    0.000   -0.279    0.780   -0.000   -0.000
    x8                0.000    0.000    0.510    0.610    0.000    0.000
    x9                0.000    0.000    0.219    0.827    0.000    0.000
  f6 =~ efa1                                                            
    x1                0.001    0.007    0.186    0.853    0.001    0.001
    x2                0.006    0.015    0.381    0.704    0.006    0.005
    x3                0.011    0.019    0.598    0.550    0.011    0.010
    x4               -0.107    0.211   -0.507    0.612   -0.107   -0.091
    x5               -0.131    0.142   -0.922    0.357   -0.131   -0.101
    x6                0.252    0.273    0.923    0.356    0.252    0.242
    x7               -0.006    0.061   -0.100    0.921   -0.006   -0.006
    x8                0.018    0.098    0.186    0.853    0.018    0.018
    x9                0.000    0.007    0.022    0.982    0.000    0.000
  f7 =~ efa1                                                            
    x1                0.050    0.149    0.333    0.739    0.050    0.043
    x2               -0.055    0.109   -0.503    0.615   -0.055   -0.047
    x3                0.101    0.101    0.999    0.318    0.101    0.089
    x4                0.120    0.092    1.299    0.194    0.120    0.102
    x5                0.048    0.161    0.297    0.767    0.048    0.037
    x6                0.083    0.070    1.183    0.237    0.083    0.080
    x7                0.820    0.168    4.874    0.000    0.820    0.766
    x8                0.666    0.101    6.607    0.000    0.666    0.659
    x9                0.373    0.317    1.177    0.239    0.373    0.366
  f8 =~ efa1                                                            
    x1                0.045    0.139    0.324    0.746    0.045    0.039
    x2                0.023    0.047    0.489    0.625    0.023    0.020
    x3                0.012    0.045    0.256    0.798    0.012    0.010
    x4               -0.189    0.075   -2.505    0.012   -0.189   -0.161
    x5                0.141    0.103    1.363    0.173    0.141    0.108
    x6                0.085    0.083    1.027    0.304    0.085    0.082
    x7               -0.126    0.375   -0.336    0.737   -0.126   -0.118
    x8                0.379    0.602    0.629    0.529    0.379    0.375
    x9                0.045    0.132    0.340    0.734    0.045    0.044
  f9 =~ efa1                                                            
    x1                0.159    0.139    1.142    0.254    0.159    0.138
    x2                0.093    0.074    1.256    0.209    0.093    0.080
    x3                0.188    0.168    1.122    0.262    0.188    0.167
    x4               -0.011    0.133   -0.081    0.935   -0.011   -0.009
    x5                0.230    0.109    2.105    0.035    0.230    0.177
    x6                0.021    0.103    0.209    0.835    0.021    0.021
    x7                0.112    0.338    0.330    0.741    0.112    0.104
    x8                0.199    0.078    2.544    0.011    0.199    0.197
    x9                0.666    0.674    0.987    0.323    0.666    0.653

Covariances:
                   Estimate  Std.Err  z-value  P(>|z|)   Std.lv  Std.all
  f1 ~~                                                                 
    f2               -0.000                              -0.000   -0.000
    f3               -0.000                              -0.000   -0.000
    f4               -0.000                              -0.000   -0.000
    f5               -0.000                              -0.000   -0.000
    f6                0.000                               0.000    0.000
    f7               -0.000                              -0.000   -0.000
    f8                0.000                               0.000    0.000
    f9               -0.000                              -0.000   -0.000
  f2 ~~                                                                 
    f3                0.000                               0.000    0.000
    f4                0.000                               0.000    0.000
    f5               -0.000                              -0.000   -0.000
    f6                0.000                               0.000    0.000
    f7                0.000                               0.000    0.000
    f8                0.000                               0.000    0.000
    f9               -0.000                              -0.000   -0.000
  f3 ~~                                                                 
    f4               -0.000                              -0.000   -0.000
    f5               -0.000                              -0.000   -0.000
    f6               -0.000                              -0.000   -0.000
    f7                0.000                               0.000    0.000
    f8               -0.000                              -0.000   -0.000
    f9                0.000                               0.000    0.000
  f4 ~~                                                                 
    f5                0.000                               0.000    0.000
    f6               -0.000                              -0.000   -0.000
    f7               -0.000                              -0.000   -0.000
    f8               -0.000                              -0.000   -0.000
    f9                0.000                               0.000    0.000
  f5 ~~                                                                 
    f6                0.000                               0.000    0.000
    f7                0.000                               0.000    0.000
    f8                0.000                               0.000    0.000
    f9                0.000                               0.000    0.000
  f6 ~~                                                                 
    f7               -0.000                              -0.000   -0.000
    f8               -0.000                              -0.000   -0.000
    f9               -0.000                              -0.000   -0.000
  f7 ~~                                                                 
    f8               -0.000                              -0.000   -0.000
    f9                0.000                               0.000    0.000
  f8 ~~                                                                 
    f9                0.000                               0.000    0.000

Intercepts:
                   Estimate  Std.Err  z-value  P(>|z|)   Std.lv  Std.all
   .x1                4.978    0.071   70.388    0.000    4.978    4.312
   .x2                6.046    0.070   86.371    0.000    6.046    5.225
   .x3                2.224    0.069   32.260    0.000    2.224    1.977
   .x4                3.092    0.070   43.927    0.000    3.092    2.636
   .x5                4.340    0.078   55.461    0.000    4.340    3.340
   .x6                2.193    0.064   34.054    0.000    2.193    2.109
   .x7                4.180    0.064   64.927    0.000    4.180    3.906
   .x8                5.519    0.061   89.863    0.000    5.519    5.460
   .x9                5.405    0.062   86.740    0.000    5.405    5.305

Variances:
                   Estimate  Std.Err  z-value  P(>|z|)   Std.lv  Std.all
   .x1                0.440    0.173    2.542    0.011    0.440    0.330
   .x2                0.546    0.558    0.978    0.328    0.546    0.408
   .x3                0.427    0.160    2.677    0.007    0.427    0.338
   .x4                0.287    0.108    2.650    0.008    0.287    0.208
   .x5                0.324    0.128    2.527    0.011    0.324    0.192
   .x6                0.227    0.236    0.960    0.337    0.227    0.210
   .x7                0.418    0.297    1.405    0.160    0.418    0.365
   .x8                0.345    0.396    0.872    0.383    0.345    0.338
   .x9                0.333    0.575    0.579    0.562    0.333    0.321
    f1                1.000                               1.000    1.000
    f2                1.000                               1.000    1.000
    f3                1.000                               1.000    1.000
    f4                1.000                               1.000    1.000
    f5                1.000                               1.000    1.000
    f6                1.000                               1.000    1.000
    f7                1.000                               1.000    1.000
    f8                1.000                               1.000    1.000
    f9                1.000                               1.000    1.000

R-Square:
                   Estimate
    x1                0.670
    x2                0.592
    x3                0.662
    x4                0.792
    x5                0.808
    x6                0.790
    x7                0.635
    x8                0.662
    x9                0.679
14.4.1.3.2 Oblique (Oblimin) rotation
14.4.1.3.2.1 psych

The factor loadings and summaries of the model results are below:

Code
efa1factorOblique
Factor Analysis using method =  ml
Call: fa(r = HolzingerSwineford1939[, vars], nfactors = 1, rotate = "oblimin", 
    fm = "ml")
Standardized loadings (pattern matrix) based upon correlation matrix
    ML1    h2   u2 com
x1 0.45 0.202 0.80   1
x2 0.24 0.056 0.94   1
x3 0.27 0.071 0.93   1
x4 0.84 0.710 0.29   1
x5 0.85 0.722 0.28   1
x6 0.80 0.636 0.36   1
x7 0.17 0.029 0.97   1
x8 0.26 0.068 0.93   1
x9 0.32 0.099 0.90   1

                ML1
SS loadings    2.59
Proportion Var 0.29

Mean item complexity =  1
Test of the hypothesis that 1 factor is sufficient.

df null model =  36  with the objective function =  3.05 with Chi Square =  904.68
df of  the model are 27  and the objective function was  1.09 

The root mean square of the residuals (RMSR) is  0.16 
The df corrected root mean square of the residuals is  0.18 

The harmonic n.obs is  222 with the empirical chi square  203.45  with prob <  5.5e-29 
The total n.obs was  301  with Likelihood Chi Square =  322.51  with prob <  2.3e-52 

Tucker Lewis Index of factoring reliability =  0.545
RMSEA index =  0.191  and the 90 % confidence intervals are  0.173 0.21
BIC =  168.42
Fit based upon off diagonal values = 0.75
Measures of factor score adequacy             
                                                   ML1
Correlation of (regression) scores with factors   0.94
Multiple R square of scores with factors          0.88
Minimum correlation of possible factor scores     0.76
Code
efa2factorOblique
Factor Analysis using method =  ml
Call: fa(r = HolzingerSwineford1939[, vars], nfactors = 2, rotate = "oblimin", 
    fm = "ml")
Standardized loadings (pattern matrix) based upon correlation matrix
     ML1   ML2    h2   u2 com
x1  0.28  0.38 0.301 0.70 1.8
x2  0.13  0.23 0.092 0.91 1.6
x3  0.05  0.48 0.252 0.75 1.0
x4  0.87 -0.03 0.737 0.26 1.0
x5  0.84  0.03 0.726 0.27 1.0
x6  0.80 -0.01 0.643 0.36 1.0
x7 -0.03  0.46 0.198 0.80 1.0
x8 -0.02  0.63 0.388 0.61 1.0
x9 -0.02  0.77 0.576 0.42 1.0

                       ML1  ML2
SS loadings           2.25 1.66
Proportion Var        0.25 0.18
Cumulative Var        0.25 0.43
Proportion Explained  0.57 0.43
Cumulative Proportion 0.57 1.00

 With factor correlations of 
     ML1  ML2
ML1 1.00 0.36
ML2 0.36 1.00

Mean item complexity =  1.2
Test of the hypothesis that 2 factors are sufficient.

df null model =  36  with the objective function =  3.05 with Chi Square =  904.68
df of  the model are 19  and the objective function was  0.48 

The root mean square of the residuals (RMSR) is  0.09 
The df corrected root mean square of the residuals is  0.12 

The harmonic n.obs is  222 with the empirical chi square  60.3  with prob <  3.5e-06 
The total n.obs was  301  with Likelihood Chi Square =  140.93  with prob <  1.2e-20 

Tucker Lewis Index of factoring reliability =  0.733
RMSEA index =  0.146  and the 90 % confidence intervals are  0.124 0.169
BIC =  32.49
Fit based upon off diagonal values = 0.93
Measures of factor score adequacy             
                                                   ML1  ML2
Correlation of (regression) scores with factors   0.91 0.83
Multiple R square of scores with factors          0.83 0.70
Minimum correlation of possible factor scores     0.66 0.39
Code
efa3factorOblique
Factor Analysis using method =  ml
Call: fa(r = HolzingerSwineford1939[, vars], nfactors = 3, rotate = "oblimin", 
    fm = "ml")
Standardized loadings (pattern matrix) based upon correlation matrix
     ML1   ML3   ML2   h2   u2 com
x1  0.20  0.59  0.00 0.47 0.53 1.2
x2  0.05  0.51 -0.14 0.26 0.74 1.2
x3 -0.06  0.71  0.04 0.50 0.50 1.0
x4  0.86  0.01 -0.02 0.73 0.27 1.0
x5  0.86 -0.02  0.04 0.74 0.26 1.0
x6  0.79  0.02 -0.01 0.64 0.36 1.0
x7  0.03 -0.15  0.73 0.49 0.51 1.1
x8  0.01  0.11  0.69 0.54 0.46 1.1
x9  0.01  0.39  0.47 0.48 0.52 1.9

                       ML1  ML3  ML2
SS loadings           2.19 1.37 1.29
Proportion Var        0.24 0.15 0.14
Cumulative Var        0.24 0.40 0.54
Proportion Explained  0.45 0.28 0.27
Cumulative Proportion 0.45 0.73 1.00

 With factor correlations of 
     ML1  ML3  ML2
ML1 1.00 0.35 0.23
ML3 0.35 1.00 0.28
ML2 0.23 0.28 1.00

Mean item complexity =  1.2
Test of the hypothesis that 3 factors are sufficient.

df null model =  36  with the objective function =  3.05 with Chi Square =  904.68
df of  the model are 12  and the objective function was  0.12 

The root mean square of the residuals (RMSR) is  0.02 
The df corrected root mean square of the residuals is  0.04 

The harmonic n.obs is  222 with the empirical chi square  4.3  with prob <  0.98 
The total n.obs was  301  with Likelihood Chi Square =  35.88  with prob <  0.00034 

Tucker Lewis Index of factoring reliability =  0.917
RMSEA index =  0.081  and the 90 % confidence intervals are  0.052 0.113
BIC =  -32.61
Fit based upon off diagonal values = 0.99
Measures of factor score adequacy             
                                                   ML1  ML3  ML2
Correlation of (regression) scores with factors   0.91 0.79 0.82
Multiple R square of scores with factors          0.82 0.63 0.67
Minimum correlation of possible factor scores     0.64 0.25 0.34
Code
efa4factorOblique
Factor Analysis using method =  ml
Call: fa(r = HolzingerSwineford1939[, vars], nfactors = 4, rotate = "oblimin", 
    fm = "ml")
Standardized loadings (pattern matrix) based upon correlation matrix
     ML4   ML1   ML2   ML3   h2    u2 com
x1  0.63 -0.04  0.25 -0.01 0.50 0.499 1.3
x2  0.50  0.13 -0.06 -0.16 0.27 0.734 1.4
x3  0.70 -0.06  0.01  0.03 0.48 0.522 1.0
x4  0.04  0.07  0.94  0.02 1.00 0.005 1.0
x5 -0.03  0.98  0.04  0.00 1.00 0.005 1.0
x6  0.08  0.43  0.35  0.01 0.55 0.449 2.0
x7 -0.13 -0.08  0.12  0.78 0.58 0.417 1.1
x8  0.18  0.14 -0.12  0.63 0.52 0.484 1.3
x9  0.42  0.14 -0.10  0.43 0.48 0.520 2.3

                       ML4  ML1  ML2  ML3
SS loadings           1.45 1.39 1.26 1.26
Proportion Var        0.16 0.15 0.14 0.14
Cumulative Var        0.16 0.32 0.46 0.60
Proportion Explained  0.27 0.26 0.24 0.24
Cumulative Proportion 0.27 0.53 0.76 1.00

 With factor correlations of 
     ML4  ML1  ML2  ML3
ML4 1.00 0.30 0.25 0.24
ML1 0.30 1.00 0.68 0.18
ML2 0.25 0.68 1.00 0.12
ML3 0.24 0.18 0.12 1.00

Mean item complexity =  1.4
Test of the hypothesis that 4 factors are sufficient.

df null model =  36  with the objective function =  3.05 with Chi Square =  904.68
df of  the model are 6  and the objective function was  0.03 

The root mean square of the residuals (RMSR) is  0.01 
The df corrected root mean square of the residuals is  0.04 

The harmonic n.obs is  222 with the empirical chi square  1.64  with prob <  0.95 
The total n.obs was  301  with Likelihood Chi Square =  9.57  with prob <  0.14 

Tucker Lewis Index of factoring reliability =  0.975
RMSEA index =  0.044  and the 90 % confidence intervals are  0 0.095
BIC =  -24.67
Fit based upon off diagonal values = 1
Measures of factor score adequacy             
                                                   ML4  ML1  ML2  ML3
Correlation of (regression) scores with factors   0.81 0.89 0.84 0.84
Multiple R square of scores with factors          0.65 0.79 0.71 0.71
Minimum correlation of possible factor scores     0.31 0.58 0.41 0.41
Code
efa5factorOblique
Factor Analysis using method =  ml
Call: fa(r = HolzingerSwineford1939[, vars], nfactors = 5, rotate = "oblimin", 
    fm = "ml")
Standardized loadings (pattern matrix) based upon correlation matrix
     ML4   ML1   ML3   ML2   ML5   h2    u2 com
x1  0.54 -0.08  0.31  0.15 -0.14 0.49 0.505 2.0
x2  0.45  0.13 -0.05  0.05 -0.21 0.26 0.739 1.7
x3  0.76 -0.01 -0.01 -0.06  0.05 0.54 0.455 1.0
x4  0.00  0.06  0.92 -0.02  0.05 0.94 0.061 1.0
x5 -0.01  0.98  0.03  0.00 -0.01 1.00 0.005 1.0
x6  0.04  0.38  0.40  0.07 -0.05 0.56 0.437 2.1
x7  0.00 -0.03  0.09  0.09  0.72 0.60 0.396 1.1
x8 -0.01  0.00 -0.01  1.00  0.02 1.00 0.005 1.0
x9  0.47  0.19 -0.12  0.12  0.30 0.46 0.535 2.4

                       ML4  ML1  ML3  ML2  ML5
SS loadings           1.37 1.32 1.30 1.13 0.73
Proportion Var        0.15 0.15 0.14 0.13 0.08
Cumulative Var        0.15 0.30 0.44 0.57 0.65
Proportion Explained  0.23 0.23 0.22 0.19 0.12
Cumulative Proportion 0.23 0.46 0.68 0.88 1.00

 With factor correlations of 
     ML4  ML1  ML3  ML2  ML5
ML4 1.00 0.25 0.28 0.34 0.08
ML1 0.25 1.00 0.71 0.24 0.08
ML3 0.28 0.71 1.00 0.14 0.07
ML2 0.34 0.24 0.14 1.00 0.54
ML5 0.08 0.08 0.07 0.54 1.00

Mean item complexity =  1.5
Test of the hypothesis that 5 factors are sufficient.

df null model =  36  with the objective function =  3.05 with Chi Square =  904.68
df of  the model are 1  and the objective function was  0.01 

The root mean square of the residuals (RMSR) is  0.01 
The df corrected root mean square of the residuals is  0.04 

The harmonic n.obs is  222 with the empirical chi square  0.28  with prob <  0.6 
The total n.obs was  301  with Likelihood Chi Square =  1.77  with prob <  0.18 

Tucker Lewis Index of factoring reliability =  0.968
RMSEA index =  0.05  and the 90 % confidence intervals are  0 0.172
BIC =  -3.94
Fit based upon off diagonal values = 1
Measures of factor score adequacy             
                                                   ML4  ML1  ML3  ML2  ML5
Correlation of (regression) scores with factors   0.81 0.86 0.80 0.89 0.71
Multiple R square of scores with factors          0.65 0.74 0.64 0.80 0.50
Minimum correlation of possible factor scores     0.31 0.47 0.29 0.59 0.01
Code
efa6factorOblique
Factor Analysis using method =  ml
Call: fa(r = HolzingerSwineford1939[, vars], nfactors = 6, rotate = "oblimin", 
    fm = "ml")
Standardized loadings (pattern matrix) based upon correlation matrix
     ML4   ML1   ML3   ML2   ML6   ML5   h2    u2 com
x1  0.34 -0.07  0.38  0.30 -0.26 -0.02 0.51 0.489 3.8
x2  0.34  0.14 -0.02  0.11 -0.26 -0.01 0.25 0.748 2.5
x3  0.83 -0.01 -0.03 -0.07  0.04  0.06 0.63 0.374 1.0
x4 -0.04  0.09  0.87 -0.05  0.06  0.08 0.94 0.060 1.1
x5 -0.01  0.92  0.04  0.00 -0.02  0.04 0.95 0.049 1.0
x6  0.08  0.11  0.09  0.08 -0.01  0.65 0.70 0.298 1.2
x7  0.07 -0.04  0.10  0.17  0.69 -0.01 0.62 0.376 1.2
x8 -0.05  0.02 -0.05  0.78  0.12  0.06 0.68 0.321 1.1
x9  0.37  0.25  0.00  0.29  0.17 -0.18 0.47 0.530 3.8

                       ML4  ML1  ML3  ML2  ML6  ML5
SS loadings           1.19 1.11 1.10 1.02 0.72 0.61
Proportion Var        0.13 0.12 0.12 0.11 0.08 0.07
Cumulative Var        0.13 0.26 0.38 0.49 0.57 0.64
Proportion Explained  0.21 0.19 0.19 0.18 0.13 0.11
Cumulative Proportion 0.21 0.40 0.59 0.77 0.89 1.00

 With factor correlations of 
      ML4  ML1  ML3  ML2   ML6   ML5
ML4  1.00 0.19 0.30 0.45 -0.07  0.09
ML1  0.19 1.00 0.69 0.27  0.07  0.74
ML3  0.30 0.69 1.00 0.20  0.03  0.70
ML2  0.45 0.27 0.20 1.00  0.45  0.07
ML6 -0.07 0.07 0.03 0.45  1.00 -0.02
ML5  0.09 0.74 0.70 0.07 -0.02  1.00

Mean item complexity =  1.8
Test of the hypothesis that 6 factors are sufficient.

df null model =  36  with the objective function =  3.05 with Chi Square =  904.68
df of  the model are -3  and the objective function was  0 

The root mean square of the residuals (RMSR) is  0 
The df corrected root mean square of the residuals is  NA 

The harmonic n.obs is  222 with the empirical chi square  0  with prob <  NA 
The total n.obs was  301  with Likelihood Chi Square =  0  with prob <  NA 

Tucker Lewis Index of factoring reliability =  1.042
Fit based upon off diagonal values = 1
Measures of factor score adequacy             
                                                   ML4   ML1   ML3  ML2  ML6
Correlation of (regression) scores with factors   0.79  0.70  0.68 0.72 0.72
Multiple R square of scores with factors          0.63  0.48  0.46 0.51 0.52
Minimum correlation of possible factor scores     0.26 -0.03 -0.08 0.03 0.04
                                                    ML5
Correlation of (regression) scores with factors    0.59
Multiple R square of scores with factors           0.34
Minimum correlation of possible factor scores     -0.31
Code
efa7factorOblique
Factor Analysis using method =  ml
Call: fa(r = HolzingerSwineford1939[, vars], nfactors = 7, rotate = "oblimin", 
    fm = "ml")
Standardized loadings (pattern matrix) based upon correlation matrix
     ML3   ML2   ML1   ML4   ML6   ML5   ML7   h2     u2 com
x1  0.04  0.01  0.06  0.04  0.75  0.00 -0.02 0.66 0.3413 1.0
x2  0.09  0.02  0.12  0.21 -0.01 -0.02  0.49 0.33 0.6697 1.6
x3 -0.06 -0.05 -0.03  0.64  0.17  0.11  0.09 0.57 0.4300 1.3
x4 -0.02  0.02  0.96 -0.02  0.02  0.02  0.01 0.99 0.0058 1.0
x5 -0.01  0.96  0.02 -0.01  0.00  0.03  0.00 0.99 0.0146 1.0
x6  0.06  0.09  0.07  0.04  0.00  0.70 -0.01 0.70 0.2999 1.1
x7  0.50 -0.04  0.16  0.18 -0.14 -0.02 -0.28 0.52 0.4786 2.4
x8  0.84  0.00 -0.04 -0.05  0.07  0.05  0.04 0.69 0.3135 1.0
x9  0.33  0.23  0.01  0.39  0.07 -0.15 -0.01 0.49 0.5133 3.1

                       ML3  ML2  ML1  ML4  ML6  ML5  ML7
SS loadings           1.19 1.09 1.08 0.81 0.76 0.62 0.39
Proportion Var        0.13 0.12 0.12 0.09 0.08 0.07 0.04
Cumulative Var        0.13 0.25 0.37 0.46 0.55 0.62 0.66
Proportion Explained  0.20 0.18 0.18 0.14 0.13 0.10 0.06
Cumulative Proportion 0.20 0.38 0.57 0.70 0.83 0.94 1.00

 With factor correlations of 
      ML3  ML2   ML1  ML4  ML6  ML5   ML7
ML3  1.00 0.24  0.15 0.42 0.23 0.09 -0.27
ML2  0.24 1.00  0.71 0.15 0.32 0.76  0.11
ML1  0.15 0.71  1.00 0.17 0.41 0.74 -0.07
ML4  0.42 0.15  0.17 1.00 0.53 0.10  0.17
ML6  0.23 0.32  0.41 0.53 1.00 0.36  0.46
ML5  0.09 0.76  0.74 0.10 0.36 1.00  0.15
ML7 -0.27 0.11 -0.07 0.17 0.46 0.15  1.00

Mean item complexity =  1.5
Test of the hypothesis that 7 factors are sufficient.

df null model =  36  with the objective function =  3.05 with Chi Square =  904.68
df of  the model are -6  and the objective function was  0 

The root mean square of the residuals (RMSR) is  0 
The df corrected root mean square of the residuals is  NA 

The harmonic n.obs is  222 with the empirical chi square  0  with prob <  NA 
The total n.obs was  301  with Likelihood Chi Square =  0  with prob <  NA 

Tucker Lewis Index of factoring reliability =  1.042
Fit based upon off diagonal values = 1
Measures of factor score adequacy             
                                                   ML3  ML2  ML1   ML4   ML6
Correlation of (regression) scores with factors   0.79 0.76 0.75  0.65  0.65
Multiple R square of scores with factors          0.63 0.58 0.57  0.42  0.42
Minimum correlation of possible factor scores     0.25 0.16 0.14 -0.15 -0.16
                                                    ML5   ML7
Correlation of (regression) scores with factors    0.57  0.65
Multiple R square of scores with factors           0.33  0.42
Minimum correlation of possible factor scores     -0.34 -0.17
Code
efa8factorOblique
Factor Analysis using method =  ml
Call: fa(r = HolzingerSwineford1939[, vars], nfactors = 8, rotate = "oblimin", 
    fm = "ml")
Standardized loadings (pattern matrix) based upon correlation matrix
     ML1   ML3   ML2   ML4   ML6   ML5   ML7   ML8   h2     u2 com
x1  0.03 -0.01  0.06  0.79  0.00 -0.01 -0.01  0.00 0.65 0.3462 1.0
x2  0.04 -0.04  0.09 -0.02 -0.01 -0.03  0.61  0.00 0.36 0.6438 1.1
x3 -0.04  0.05 -0.12  0.27  0.17  0.13  0.26  0.31 0.54 0.4648 4.4
x4  0.01  0.01  0.94  0.03  0.02  0.04  0.02 -0.01 0.99 0.0140 1.0
x5  0.99  0.00  0.00  0.00  0.00  0.00  0.00  0.00 0.99 0.0091 1.0
x6  0.02 -0.01  0.04 -0.02 -0.01  0.81 -0.02  0.01 0.71 0.2884 1.0
x7  0.01  0.75  0.08 -0.06  0.01 -0.04 -0.07  0.10 0.57 0.4309 1.1
x8  0.01  0.59 -0.10  0.12  0.11  0.09  0.09 -0.23 0.64 0.3580 1.7
x9  0.01  0.00  0.03 -0.02  0.79 -0.01 -0.02  0.00 0.61 0.3912 1.0

                       ML1  ML3  ML2  ML4  ML6  ML5  ML7  ML8
SS loadings           1.03 1.00 0.98 0.82 0.77 0.75 0.53 0.18
Proportion Var        0.11 0.11 0.11 0.09 0.09 0.08 0.06 0.02
Cumulative Var        0.11 0.23 0.33 0.43 0.51 0.59 0.65 0.67
Proportion Explained  0.17 0.16 0.16 0.14 0.13 0.12 0.09 0.03
Cumulative Proportion 0.17 0.33 0.50 0.63 0.76 0.88 0.97 1.00

 With factor correlations of 
      ML1   ML3  ML2  ML4  ML6   ML5   ML7   ML8
ML1  1.00  0.14 0.72 0.31 0.31  0.81  0.21 -0.10
ML3  0.14  1.00 0.11 0.17 0.63  0.18 -0.01 -0.16
ML2  0.72  0.11 1.00 0.37 0.16  0.76  0.07  0.11
ML4  0.31  0.17 0.37 1.00 0.57  0.45  0.67  0.08
ML6  0.31  0.63 0.16 0.57 1.00  0.30  0.50  0.08
ML5  0.81  0.18 0.76 0.45 0.30  1.00  0.29 -0.01
ML7  0.21 -0.01 0.07 0.67 0.50  0.29  1.00  0.12
ML8 -0.10 -0.16 0.11 0.08 0.08 -0.01  0.12  1.00

Mean item complexity =  1.5
Test of the hypothesis that 8 factors are sufficient.

df null model =  36  with the objective function =  3.05 with Chi Square =  904.68
df of  the model are -8  and the objective function was  0 

The root mean square of the residuals (RMSR) is  0 
The df corrected root mean square of the residuals is  NA 

The harmonic n.obs is  222 with the empirical chi square  0  with prob <  NA 
The total n.obs was  301  with Likelihood Chi Square =  0  with prob <  NA 

Tucker Lewis Index of factoring reliability =  1.042
Fit based upon off diagonal values = 1
Measures of factor score adequacy             
                                                   ML1  ML3  ML2   ML4   ML6
Correlation of (regression) scores with factors   0.78 0.74 0.73  0.65  0.64
Multiple R square of scores with factors          0.61 0.55 0.54  0.42  0.41
Minimum correlation of possible factor scores     0.22 0.10 0.07 -0.16 -0.18
                                                    ML5   ML7   ML8
Correlation of (regression) scores with factors    0.58  0.62  0.54
Multiple R square of scores with factors           0.34  0.38  0.30
Minimum correlation of possible factor scores     -0.33 -0.23 -0.41
Code
efa9factorOblique
Factor Analysis using method =  ml
Call: fa(r = HolzingerSwineford1939[, vars], nfactors = 9, rotate = "oblimin", 
    fm = "ml")
Standardized loadings (pattern matrix) based upon correlation matrix
     ML1   ML2   ML3   ML4 ML9 ML5 ML6 ML7 ML8   h2   u2 com
x1  0.15  0.01  0.59  0.00   0   0   0   0   0 0.45 0.55 1.1
x2  0.07 -0.13  0.38  0.17   0   0   0   0   0 0.26 0.74 1.7
x3 -0.07  0.06  0.60  0.07   0   0   0   0   0 0.41 0.59 1.1
x4  0.81 -0.02  0.06 -0.06   0   0   0   0   0 0.70 0.30 1.0
x5  0.84  0.04 -0.05  0.04   0   0   0   0   0 0.69 0.31 1.0
x6  0.79 -0.01  0.00  0.01   0   0   0   0   0 0.62 0.38 1.0
x7  0.02  0.67 -0.11 -0.06   0   0   0   0   0 0.41 0.59 1.1
x8  0.02  0.65  0.06  0.05   0   0   0   0   0 0.47 0.53 1.0
x9  0.01  0.47  0.28  0.09   0   0   0   0   0 0.46 0.54 1.7

                       ML1  ML2  ML3  ML4 ML9 ML5 ML6 ML7 ML8
SS loadings           2.07 1.15 1.11 0.14 0.0 0.0 0.0 0.0 0.0
Proportion Var        0.23 0.13 0.12 0.02 0.0 0.0 0.0 0.0 0.0
Cumulative Var        0.23 0.36 0.48 0.50 0.5 0.5 0.5 0.5 0.5
Proportion Explained  0.46 0.26 0.25 0.03 0.0 0.0 0.0 0.0 0.0
Cumulative Proportion 0.46 0.72 0.97 1.00 1.0 1.0 1.0 1.0 1.0

 With factor correlations of 
     ML1  ML2  ML3  ML4 ML9 ML5 ML6 ML7 ML8
ML1 1.00 0.26 0.43 0.03   0   0   0   0   0
ML2 0.26 1.00 0.33 0.18   0   0   0   0   0
ML3 0.43 0.33 1.00 0.67   0   0   0   0   0
ML4 0.03 0.18 0.67 1.00   0   0   0   0   0
ML9 0.00 0.00 0.00 0.00   1   0   0   0   0
ML5 0.00 0.00 0.00 0.00   0   1   0   0   0
ML6 0.00 0.00 0.00 0.00   0   0   1   0   0
ML7 0.00 0.00 0.00 0.00   0   0   0   1   0
ML8 0.00 0.00 0.00 0.00   0   0   0   0   1

Mean item complexity =  1.2
Test of the hypothesis that 9 factors are sufficient.

df null model =  36  with the objective function =  3.05 with Chi Square =  904.68
df of  the model are -9  and the objective function was  0.15 

The root mean square of the residuals (RMSR) is  0.03 
The df corrected root mean square of the residuals is  NA 

The harmonic n.obs is  222 with the empirical chi square  7.83  with prob <  NA 
The total n.obs was  301  with Likelihood Chi Square =  43.91  with prob <  NA 

Tucker Lewis Index of factoring reliability =  1.249
Fit based upon off diagonal values = 0.99
Measures of factor score adequacy             
                                                   ML1  ML2   ML3   ML4 ML9 ML5
Correlation of (regression) scores with factors   0.87 0.77  0.65  0.55   0   0
Multiple R square of scores with factors          0.76 0.60  0.42  0.30   0   0
Minimum correlation of possible factor scores     0.52 0.19 -0.16 -0.40  -1  -1
                                                  ML6 ML7 ML8
Correlation of (regression) scores with factors     0   0   0
Multiple R square of scores with factors            0   0   0
Minimum correlation of possible factor scores      -1  -1  -1
14.4.1.3.2.2 lavaan

The factor loadings and summaries of the model results are below:

Code
summary(
  efaObliqueLavaan_fit)
This is lavaan 0.6-21 -- running exploratory factor analysis

  Estimator                                         ML
  Rotation method                       GEOMIN OBLIQUE
  Geomin epsilon                                 1e-04
  Rotation algorithm (rstarts)                GPA (30)
  Standardized metric                             TRUE
  Row weights                                     None

  Number of observations                           301
  Number of missing patterns                        75

Overview models:
                    aic      bic    sabic   chisq df pvalue   cfi rmsea
  nfactors = 1 6655.547 6755.639 6670.010 235.316 27  0.000 0.664 0.190
  nfactors = 2 6536.011 6665.760 6554.760 112.999 19  0.000 0.868 0.152
  nfactors = 3 6468.608 6624.307 6491.107  23.723 12  0.022 1.000 0.099
  nfactors = 4 6464.728 6642.669 6490.440   5.251  6  0.512    NA 0.000
  nfactors = 5 6469.292 6665.769 6497.683   0.365  1  0.546    NA 0.000

Eigenvalues correlation matrix:

    ev1     ev2     ev3     ev4     ev5     ev6     ev7     ev8     ev9 
  3.220   1.621   1.380   0.689   0.569   0.542   0.461   0.289   0.229 

Number of factors:  1 

Standardized loadings: (* = significant at 1% level)

       f1       unique.var   communalities
x1  0.447*           0.800           0.200
x2      .*           0.944           0.056
x3      .*           0.928           0.072
x4  0.829*           0.313           0.687
x5  0.851*           0.276           0.724
x6  0.817*           0.332           0.668
x7      .*           0.964           0.036
x8      .*           0.926           0.074
x9  0.335*           0.888           0.112

                           f1
Sum of squared loadings 2.629
Proportion of total     1.000
Proportion var          0.292
Cumulative var          0.292

Number of factors:  2 

Standardized loadings: (* = significant at 1% level)

       f1      f2       unique.var   communalities
x1      .*  0.377*           0.714           0.286
x2      .       .            0.907           0.093
x3          0.496*           0.742           0.258
x4  0.866*                   0.279           0.721
x5  0.860*                   0.259           0.741
x6  0.810*                   0.333           0.667
x7          0.447*           0.804           0.196
x8          0.625*           0.619           0.381
x9          0.746*           0.441           0.559

                              f1    f2 total
Sum of sq (obliq) loadings 2.270 1.630 3.900
Proportion of total        0.582 0.418 1.000
Proportion var             0.252 0.181 0.433
Cumulative var             0.252 0.433 0.433

Factor correlations: (* = significant at 1% level)

       f1      f2 
f1  1.000         
f2  0.362*  1.000 

Number of factors:  3 

Standardized loadings: (* = significant at 1% level)

       f1      f2      f3       unique.var   communalities
x1  0.632*      .                    0.531           0.469
x2  0.505*              .            0.741           0.259
x3  0.753*      .                    0.493           0.507
x4          0.843*                   0.284           0.716
x5          0.869*                   0.241           0.759
x6          0.774*                   0.336           0.664
x7                  0.708*           0.487           0.513
x8      .           0.630*           0.488           0.512
x9  0.487*          0.424*           0.533           0.467

                              f2    f1    f3 total
Sum of sq (obliq) loadings 2.126 1.596 1.143 4.865
Proportion of total        0.437 0.328 0.235 1.000
Proportion var             0.236 0.177 0.127 0.541
Cumulative var             0.236 0.414 0.541 0.541

Factor correlations: (* = significant at 1% level)

       f1      f2      f3 
f1  1.000                 
f2  0.396*  1.000         
f3  0.112   0.107   1.000 

Number of factors:  4 

Standardized loadings: (* = significant at 1% level)

       f1      f2      f3      f4       unique.var   communalities
x1  0.663*      .                            0.516           0.484
x2  0.525*                      .            0.733           0.267
x3  0.761*      .       .                    0.506           0.494
x4          0.431*  0.730*                   0.000           1.000
x5         -0.385*  1.110*                   0.000           1.000
x6      .           0.688*                   0.422           0.578
x7              .           0.767*           0.396           0.604
x8  0.317*                  0.581*           0.521           0.479
x9  0.524*                  0.392*           0.522           0.478

                              f3    f1    f4    f2 total
Sum of sq (obliq) loadings 2.189 1.692 1.136 0.366 5.384
Proportion of total        0.407 0.314 0.211 0.068 1.000
Proportion var             0.243 0.188 0.126 0.041 0.598
Cumulative var             0.243 0.431 0.558 0.598 0.598

Factor correlations: (* = significant at 1% level)

       f1      f2      f3      f4 
f1  1.000                         
f2  0.078   1.000                 
f3  0.413*  0.446   1.000         
f4  0.116  -0.070   0.057   1.000 

Number of factors:  5 

Standardized loadings: (* = significant at 1% level)

       f1      f2      f3      f4      f5       unique.var   communalities
x1          0.492   0.338*              .            0.517           0.483
x2          0.461*      .                            0.748           0.252
x3  1.002*                                           0.000           1.000
x4              .   0.734*  0.446                    0.000           1.000
x5                          1.023*                   0.000           1.000
x6                      .*  0.589*                   0.423           0.577
x7         -0.615*                  0.861*           0.333           0.667
x8      .                           0.825*           0.475           0.525
x9                                  0.591*           0.547           0.453

                              f4    f5    f1    f3    f2 total
Sum of sq (obliq) loadings 1.794 1.540 0.981 0.951 0.689 5.955
Proportion of total        0.301 0.259 0.165 0.160 0.116 1.000
Proportion var             0.199 0.171 0.109 0.106 0.077 0.662
Cumulative var             0.199 0.370 0.479 0.585 0.662 0.662

Factor correlations: (* = significant at 1% level)

       f1      f2      f3      f4      f5 
f1  1.000                                 
f2  0.611*  1.000                         
f3  0.195   0.007   1.000                 
f4  0.159   0.252   0.423   1.000         
f5  0.538*  0.428   0.114   0.328   1.000 
Code
summary(
  efa1factorObliqueLavaan_fit,
  fit.measures = TRUE,
  standardized = TRUE,
  rsquare = TRUE)
lavaan 0.6-21 ended normally after 30 iterations

  Estimator                                         ML
  Optimization method                           NLMINB
  Number of model parameters                        27

  Rotation method                       GEOMIN OBLIQUE
  Geomin epsilon                                 1e-04
  Rotation algorithm (rstarts)                GPA (30)
  Standardized metric                             TRUE
  Row weights                                     None

  Number of observations                           301
  Number of missing patterns                        75

Model Test User Model:
                                              Standard      Scaled
  Test Statistic                               239.990     235.316
  Degrees of freedom                                27          27
  P-value (Chi-square)                           0.000       0.000
  Scaling correction factor                                  1.020
    Yuan-Bentler correction (Mplus variant)                       

Model Test Baseline Model:

  Test statistic                               693.305     646.574
  Degrees of freedom                                36          36
  P-value                                        0.000       0.000
  Scaling correction factor                                  1.072

User Model versus Baseline Model:

  Comparative Fit Index (CFI)                    0.676       0.659
  Tucker-Lewis Index (TLI)                       0.568       0.545
                                                                  
  Robust Comparative Fit Index (CFI)                         0.664
  Robust Tucker-Lewis Index (TLI)                            0.552

Loglikelihood and Information Criteria:

  Loglikelihood user model (H0)              -3300.774   -3300.774
  Scaling correction factor                                  1.108
      for the MLR correction                                      
  Loglikelihood unrestricted model (H1)      -3180.778   -3180.778
  Scaling correction factor                                  1.064
      for the MLR correction                                      
                                                                  
  Akaike (AIC)                                6655.547    6655.547
  Bayesian (BIC)                              6755.639    6755.639
  Sample-size adjusted Bayesian (SABIC)       6670.010    6670.010

Root Mean Square Error of Approximation:

  RMSEA                                          0.162       0.160
  90 Percent confidence interval - lower         0.143       0.142
  90 Percent confidence interval - upper         0.181       0.179
  P-value H_0: RMSEA <= 0.050                    0.000       0.000
  P-value H_0: RMSEA >= 0.080                    1.000       1.000
                                                                  
  Robust RMSEA                                               0.190
  90 Percent confidence interval - lower                     0.167
  90 Percent confidence interval - upper                     0.214
  P-value H_0: Robust RMSEA <= 0.050                         0.000
  P-value H_0: Robust RMSEA >= 0.080                         1.000

Standardized Root Mean Square Residual:

  SRMR                                           0.129       0.129

Parameter Estimates:

  Standard errors                             Sandwich
  Information bread                           Observed
  Observed information based on                Hessian

Latent Variables:
                   Estimate  Std.Err  z-value  P(>|z|)   Std.lv  Std.all
  f1 =~ efa1                                                            
    x1                0.517    0.087    5.944    0.000    0.517    0.447
    x2                0.273    0.083    3.277    0.001    0.273    0.236
    x3                0.303    0.087    3.506    0.000    0.303    0.269
    x4                0.973    0.067   14.475    0.000    0.973    0.829
    x5                1.100    0.066   16.748    0.000    1.100    0.851
    x6                0.851    0.068   12.576    0.000    0.851    0.817
    x7                0.203    0.078    2.590    0.010    0.203    0.189
    x8                0.276    0.077    3.584    0.000    0.276    0.272
    x9                0.341    0.082    4.154    0.000    0.341    0.335

Intercepts:
                   Estimate  Std.Err  z-value  P(>|z|)   Std.lv  Std.all
   .x1                4.961    0.072   69.035    0.000    4.961    4.290
   .x2                6.058    0.071   85.159    0.000    6.058    5.232
   .x3                2.222    0.070   31.650    0.000    2.222    1.971
   .x4                3.098    0.071   43.846    0.000    3.098    2.639
   .x5                4.356    0.078   56.050    0.000    4.356    3.369
   .x6                2.188    0.064   34.213    0.000    2.188    2.101
   .x7                4.173    0.066   63.709    0.000    4.173    3.895
   .x8                5.516    0.063   87.910    0.000    5.516    5.433
   .x9                5.407    0.063   85.469    0.000    5.407    5.303

Variances:
                   Estimate  Std.Err  z-value  P(>|z|)   Std.lv  Std.all
   .x1                1.069    0.116    9.243    0.000    1.069    0.800
   .x2                1.266    0.136    9.282    0.000    1.266    0.944
   .x3                1.179    0.086   13.758    0.000    1.179    0.928
   .x4                0.431    0.062    6.913    0.000    0.431    0.313
   .x5                0.461    0.073    6.349    0.000    0.461    0.276
   .x6                0.360    0.056    6.458    0.000    0.360    0.332
   .x7                1.107    0.085   13.003    0.000    1.107    0.964
   .x8                0.955    0.114    8.347    0.000    0.955    0.926
   .x9                0.923    0.088   10.486    0.000    0.923    0.888
    f1                1.000                               1.000    1.000

R-Square:
                   Estimate
    x1                0.200
    x2                0.056
    x3                0.072
    x4                0.687
    x5                0.724
    x6                0.668
    x7                0.036
    x8                0.074
    x9                0.112
Code
summary(
  efa2factorObliqueLavaan_fit,
  fit.measures = TRUE,
  standardized = TRUE,
  rsquare = TRUE)
lavaan 0.6-21 ended normally after 37 iterations

  Estimator                                         ML
  Optimization method                           NLMINB
  Number of model parameters                        37
  Row rank of the constraints matrix                 2

  Rotation method                       GEOMIN OBLIQUE
  Geomin epsilon                                 1e-04
  Rotation algorithm (rstarts)                GPA (30)
  Standardized metric                             TRUE
  Row weights                                     None

  Number of observations                           301
  Number of missing patterns                        75

Model Test User Model:
                                              Standard      Scaled
  Test Statistic                               104.454     112.999
  Degrees of freedom                                19          19
  P-value (Chi-square)                           0.000       0.000
  Scaling correction factor                                  0.924
    Yuan-Bentler correction (Mplus variant)                       

Model Test Baseline Model:

  Test statistic                               693.305     646.574
  Degrees of freedom                                36          36
  P-value                                        0.000       0.000
  Scaling correction factor                                  1.072

User Model versus Baseline Model:

  Comparative Fit Index (CFI)                    0.870       0.846
  Tucker-Lewis Index (TLI)                       0.754       0.708
                                                                  
  Robust Comparative Fit Index (CFI)                         0.868
  Robust Tucker-Lewis Index (TLI)                            0.749

Loglikelihood and Information Criteria:

  Loglikelihood user model (H0)              -3233.006   -3233.006
  Scaling correction factor                                  1.140
      for the MLR correction                                      
  Loglikelihood unrestricted model (H1)      -3180.778   -3180.778
  Scaling correction factor                                  1.064
      for the MLR correction                                      
                                                                  
  Akaike (AIC)                                6536.011    6536.011
  Bayesian (BIC)                              6665.760    6665.760
  Sample-size adjusted Bayesian (SABIC)       6554.760    6554.760

Root Mean Square Error of Approximation:

  RMSEA                                          0.122       0.128
  90 Percent confidence interval - lower         0.100       0.105
  90 Percent confidence interval - upper         0.146       0.152
  P-value H_0: RMSEA <= 0.050                    0.000       0.000
  P-value H_0: RMSEA >= 0.080                    0.999       1.000
                                                                  
  Robust RMSEA                                               0.152
  90 Percent confidence interval - lower                     0.120
  90 Percent confidence interval - upper                     0.186
  P-value H_0: Robust RMSEA <= 0.050                         0.000
  P-value H_0: Robust RMSEA >= 0.080                         1.000

Standardized Root Mean Square Residual:

  SRMR                                           0.073       0.073

Parameter Estimates:

  Standard errors                             Sandwich
  Information bread                           Observed
  Observed information based on                Hessian

Latent Variables:
                   Estimate  Std.Err  z-value  P(>|z|)   Std.lv  Std.all
  f1 =~ efa1                                                            
    x1                0.308    0.115    2.685    0.007    0.308    0.267
    x2                0.144    0.116    1.240    0.215    0.144    0.124
    x3                0.034    0.102    0.339    0.734    0.034    0.031
    x4                1.017    0.080   12.762    0.000    1.017    0.866
    x5                1.113    0.069   16.232    0.000    1.113    0.860
    x6                0.842    0.065   12.867    0.000    0.842    0.810
    x7               -0.014    0.095   -0.149    0.881   -0.014   -0.013
    x8               -0.022    0.093   -0.242    0.809   -0.022   -0.022
    x9                0.003    0.020    0.159    0.873    0.003    0.003
  f2 =~ efa1                                                            
    x1                0.435    0.167    2.614    0.009    0.435    0.377
    x2                0.275    0.159    1.731    0.083    0.275    0.238
    x3                0.558    0.157    3.550    0.000    0.558    0.496
    x4               -0.058    0.080   -0.729    0.466   -0.058   -0.049
    x5                0.003    0.012    0.252    0.801    0.003    0.002
    x6                0.017    0.073    0.234    0.815    0.017    0.016
    x7                0.479    0.162    2.963    0.003    0.479    0.447
    x8                0.633    0.139    4.542    0.000    0.633    0.625
    x9                0.761    0.074   10.322    0.000    0.761    0.746

Covariances:
                   Estimate  Std.Err  z-value  P(>|z|)   Std.lv  Std.all
  f1 ~~                                                                 
    f2                0.362    0.082    4.390    0.000    0.362    0.362

Intercepts:
                   Estimate  Std.Err  z-value  P(>|z|)   Std.lv  Std.all
   .x1                4.964    0.072   69.307    0.000    4.964    4.300
   .x2                6.058    0.071   85.415    0.000    6.058    5.231
   .x3                2.202    0.069   31.736    0.000    2.202    1.955
   .x4                3.096    0.071   43.802    0.000    3.096    2.635
   .x5                4.348    0.078   55.599    0.000    4.348    3.357
   .x6                2.187    0.064   34.263    0.000    2.187    2.105
   .x7                4.177    0.065   64.157    0.000    4.177    3.898
   .x8                5.516    0.062   89.366    0.000    5.516    5.447
   .x9                5.399    0.063   85.200    0.000    5.399    5.297

Variances:
                   Estimate  Std.Err  z-value  P(>|z|)   Std.lv  Std.all
   .x1                0.951    0.115    8.250    0.000    0.951    0.714
   .x2                1.216    0.129    9.398    0.000    1.216    0.907
   .x3                0.942    0.143    6.610    0.000    0.942    0.742
   .x4                0.385    0.069    5.546    0.000    0.385    0.279
   .x5                0.435    0.078    5.558    0.000    0.435    0.259
   .x6                0.360    0.056    6.485    0.000    0.360    0.333
   .x7                0.924    0.127    7.295    0.000    0.924    0.804
   .x8                0.635    0.130    4.869    0.000    0.635    0.619
   .x9                0.459    0.090    5.076    0.000    0.459    0.441
    f1                1.000                               1.000    1.000
    f2                1.000                               1.000    1.000

R-Square:
                   Estimate
    x1                0.286
    x2                0.093
    x3                0.258
    x4                0.721
    x5                0.741
    x6                0.667
    x7                0.196
    x8                0.381
    x9                0.559
Code
summary(
  efa3factorObliqueLavaan_fit,
  fit.measures = TRUE,
  standardized = TRUE,
  rsquare = TRUE)
lavaan 0.6-21 ended normally after 49 iterations

  Estimator                                         ML
  Optimization method                           NLMINB
  Number of model parameters                        48
  Row rank of the constraints matrix                 6

  Rotation method                       GEOMIN OBLIQUE
  Geomin epsilon                                 1e-04
  Rotation algorithm (rstarts)                GPA (30)
  Standardized metric                             TRUE
  Row weights                                     None

  Number of observations                           301
  Number of missing patterns                        75

Model Test User Model:
                                              Standard      Scaled
  Test Statistic                                23.051      23.723
  Degrees of freedom                                12          12
  P-value (Chi-square)                           0.027       0.022
  Scaling correction factor                                  0.972
    Yuan-Bentler correction (Mplus variant)                       

Model Test Baseline Model:

  Test statistic                               693.305     646.574
  Degrees of freedom                                36          36
  P-value                                        0.000       0.000
  Scaling correction factor                                  1.072

User Model versus Baseline Model:

  Comparative Fit Index (CFI)                    0.983       0.981
  Tucker-Lewis Index (TLI)                       0.950       0.942
                                                                  
  Robust Comparative Fit Index (CFI)                         1.000
  Robust Tucker-Lewis Index (TLI)                            1.012

Loglikelihood and Information Criteria:

  Loglikelihood user model (H0)              -3192.304   -3192.304
  Scaling correction factor                                  1.090
      for the MLR correction                                      
  Loglikelihood unrestricted model (H1)      -3180.778   -3180.778
  Scaling correction factor                                  1.064
      for the MLR correction                                      
                                                                  
  Akaike (AIC)                                6468.608    6468.608
  Bayesian (BIC)                              6624.307    6624.307
  Sample-size adjusted Bayesian (SABIC)       6491.107    6491.107

Root Mean Square Error of Approximation:

  RMSEA                                          0.055       0.057
  90 Percent confidence interval - lower         0.018       0.020
  90 Percent confidence interval - upper         0.089       0.091
  P-value H_0: RMSEA <= 0.050                    0.358       0.329
  P-value H_0: RMSEA >= 0.080                    0.124       0.144
                                                                  
  Robust RMSEA                                               0.099
  90 Percent confidence interval - lower                     0.000
  90 Percent confidence interval - upper                     0.189
  P-value H_0: Robust RMSEA <= 0.050                         0.169
  P-value H_0: Robust RMSEA >= 0.080                         0.687

Standardized Root Mean Square Residual:

  SRMR                                           0.020       0.020

Parameter Estimates:

  Standard errors                             Sandwich
  Information bread                           Observed
  Observed information based on                Hessian

Latent Variables:
                   Estimate  Std.Err  z-value  P(>|z|)   Std.lv  Std.all
  f1 =~ efa1                                                            
    x1                0.732    0.117    6.277    0.000    0.732    0.632
    x2                0.584    0.091    6.402    0.000    0.584    0.505
    x3                0.848    0.103    8.206    0.000    0.848    0.753
    x4                0.006    0.077    0.079    0.937    0.006    0.005
    x5               -0.005    0.033   -0.151    0.880   -0.005   -0.004
    x6                0.097    0.078    1.231    0.218    0.097    0.093
    x7               -0.001    0.002   -0.475    0.635   -0.001   -0.001
    x8                0.284    0.114    2.486    0.013    0.284    0.280
    x9                0.496    0.095    5.244    0.000    0.496    0.487
  f2 =~ efa1                                                            
    x1                0.139    0.123    1.134    0.257    0.139    0.120
    x2               -0.008    0.040   -0.199    0.843   -0.008   -0.007
    x3               -0.145    0.118   -1.226    0.220   -0.145   -0.129
    x4                0.991    0.082   12.070    0.000    0.991    0.843
    x5                1.127    0.073   15.377    0.000    1.127    0.869
    x6                0.804    0.066   12.258    0.000    0.804    0.774
    x7                0.060    0.103    0.587    0.557    0.060    0.056
    x8               -0.008    0.034   -0.220    0.826   -0.008   -0.007
    x9                0.008    0.042    0.186    0.853    0.008    0.008
  f3 =~ efa1                                                            
    x1               -0.043    0.122   -0.353    0.724   -0.043   -0.037
    x2               -0.180    0.114   -1.569    0.117   -0.180   -0.155
    x3                0.006    0.010    0.611    0.541    0.006    0.006
    x4                0.007    0.072    0.102    0.919    0.007    0.006
    x5                0.034    0.086    0.399    0.690    0.034    0.026
    x6               -0.001    0.008   -0.161    0.872   -0.001   -0.001
    x7                0.756    0.125    6.062    0.000    0.756    0.708
    x8                0.638    0.130    4.913    0.000    0.638    0.630
    x9                0.432    0.092    4.700    0.000    0.432    0.424

Covariances:
                   Estimate  Std.Err  z-value  P(>|z|)   Std.lv  Std.all
  f1 ~~                                                                 
    f2                0.396    0.122    3.255    0.001    0.396    0.396
    f3                0.112    0.125    0.897    0.370    0.112    0.112
  f2 ~~                                                                 
    f3                0.107    0.135    0.798    0.425    0.107    0.107

Intercepts:
                   Estimate  Std.Err  z-value  P(>|z|)   Std.lv  Std.all
   .x1                4.974    0.071   69.866    0.000    4.974    4.297
   .x2                6.047    0.070   86.533    0.000    6.047    5.230
   .x3                2.221    0.069   32.224    0.000    2.221    1.971
   .x4                3.095    0.071   43.794    0.000    3.095    2.634
   .x5                4.341    0.078   55.604    0.000    4.341    3.347
   .x6                2.188    0.064   34.270    0.000    2.188    2.104
   .x7                4.177    0.064   64.895    0.000    4.177    3.914
   .x8                5.520    0.062   89.727    0.000    5.520    5.449
   .x9                5.401    0.063   86.038    0.000    5.401    5.297

Variances:
                   Estimate  Std.Err  z-value  P(>|z|)   Std.lv  Std.all
   .x1                0.711    0.121    5.855    0.000    0.711    0.531
   .x2                0.991    0.119    8.325    0.000    0.991    0.741
   .x3                0.626    0.124    5.040    0.000    0.626    0.493
   .x4                0.393    0.073    5.413    0.000    0.393    0.284
   .x5                0.406    0.084    4.836    0.000    0.406    0.241
   .x6                0.364    0.054    6.681    0.000    0.364    0.336
   .x7                0.555    0.174    3.187    0.001    0.555    0.487
   .x8                0.501    0.117    4.291    0.000    0.501    0.488
   .x9                0.554    0.073    7.638    0.000    0.554    0.533
    f1                1.000                               1.000    1.000
    f2                1.000                               1.000    1.000
    f3                1.000                               1.000    1.000

R-Square:
                   Estimate
    x1                0.469
    x2                0.259
    x3                0.507
    x4                0.716
    x5                0.759
    x6                0.664
    x7                0.513
    x8                0.512
    x9                0.467
Code
summary(
  efa4factorObliqueLavaan_fit,
  fit.measures = TRUE,
  standardized = TRUE,
  rsquare = TRUE)
lavaan 0.6-21 ended normally after 597 iterations

  Estimator                                         ML
  Optimization method                           NLMINB
  Number of model parameters                        60
  Row rank of the constraints matrix                12

  Rotation method                       GEOMIN OBLIQUE
  Geomin epsilon                                 1e-04
  Rotation algorithm (rstarts)                GPA (30)
  Standardized metric                             TRUE
  Row weights                                     None

  Number of observations                           301
  Number of missing patterns                        75

Model Test User Model:
                                              Standard      Scaled
  Test Statistic                                 5.184       5.166
  Degrees of freedom                                 6           6
  P-value (Chi-square)                           0.520       0.523
  Scaling correction factor                                  1.003
    Yuan-Bentler correction (Mplus variant)                       

Model Test Baseline Model:

  Test statistic                               693.305     646.574
  Degrees of freedom                                36          36
  P-value                                        0.000       0.000
  Scaling correction factor                                  1.072

User Model versus Baseline Model:

  Comparative Fit Index (CFI)                    1.000       1.000
  Tucker-Lewis Index (TLI)                       1.007       1.008
                                                                  
  Robust Comparative Fit Index (CFI)                            NA
  Robust Tucker-Lewis Index (TLI)                               NA

Loglikelihood and Information Criteria:

  Loglikelihood user model (H0)              -3183.370   -3183.370
  Scaling correction factor                                  1.072
      for the MLR correction                                      
  Loglikelihood unrestricted model (H1)      -3180.778   -3180.778
  Scaling correction factor                                  1.064
      for the MLR correction                                      
                                                                  
  Akaike (AIC)                                6462.741    6462.741
  Bayesian (BIC)                              6640.682    6640.682
  Sample-size adjusted Bayesian (SABIC)       6488.453    6488.453

Root Mean Square Error of Approximation:

  RMSEA                                          0.000       0.000
  90 Percent confidence interval - lower         0.000       0.000
  90 Percent confidence interval - upper         0.069       0.069
  P-value H_0: RMSEA <= 0.050                    0.844       0.845
  P-value H_0: RMSEA >= 0.080                    0.021       0.020
                                                                  
  Robust RMSEA                                               0.000
  90 Percent confidence interval - lower                        NA
  90 Percent confidence interval - upper                        NA
  P-value H_0: Robust RMSEA <= 0.050                            NA
  P-value H_0: Robust RMSEA >= 0.080                            NA

Standardized Root Mean Square Residual:

  SRMR                                           0.013       0.013

Parameter Estimates:

  Standard errors                             Sandwich
  Information bread                           Observed
  Observed information based on                Hessian

Latent Variables:
                   Estimate  Std.Err  z-value  P(>|z|)   Std.lv  Std.all
  f1 =~ efa1                                                            
    x1                0.741    0.107    6.915    0.000    0.741    0.642
    x2                0.650    0.109    5.987    0.000    0.650    0.562
    x3                0.707    0.116    6.106    0.000    0.707    0.627
    x4               -0.000    0.001   -0.149    0.881   -0.000   -0.000
    x5               -0.000    0.001   -0.051    0.959   -0.000   -0.000
    x6                0.248    0.124    2.000    0.045    0.248    0.239
    x7               -0.370    0.156   -2.366    0.018   -0.370   -0.347
    x8                0.001    0.002    0.566    0.572    0.001    0.001
    x9                0.281    0.091    3.085    0.002    0.281    0.276
  f2 =~ efa1                                                            
    x1                0.185    0.136    1.361    0.174    0.185    0.160
    x2                0.038    0.063    0.600    0.549    0.038    0.033
    x3               -0.001    0.033   -0.030    0.976   -0.001   -0.001
    x4                1.798    0.981    1.832    0.067    1.798    1.533
    x5                0.000    0.001    0.021    0.984    0.000    0.000
    x6                0.452    0.306    1.479    0.139    0.452    0.435
    x7                0.003    0.027    0.095    0.924    0.003    0.002
    x8               -0.068    0.053   -1.292    0.197   -0.068   -0.068
    x9               -0.002    0.027   -0.072    0.943   -0.002   -0.002
  f3 =~ efa1                                                            
    x1                0.001    0.013    0.083    0.934    0.001    0.001
    x2               -0.004    0.028   -0.140    0.889   -0.004   -0.003
    x3               -0.030    0.206   -0.146    0.884   -0.030   -0.027
    x4               -0.000    0.004   -0.100    0.920   -0.000   -0.000
    x5                5.158   32.416    0.159    0.874    5.158    3.969
    x6                0.105    0.699    0.151    0.880    0.105    0.101
    x7               -0.004    0.019   -0.229    0.819   -0.004   -0.004
    x8                0.002    0.026    0.064    0.949    0.002    0.002
    x9                0.014    0.095    0.146    0.884    0.014    0.014
  f4 =~ efa1                                                            
    x1               -0.001    0.006   -0.190    0.849   -0.001   -0.001
    x2               -0.150    0.121   -1.239    0.215   -0.150   -0.130
    x3                0.108    0.135    0.801    0.423    0.108    0.096
    x4               -0.365    0.618   -0.591    0.554   -0.365   -0.311
    x5               -0.000    0.003   -0.057    0.955   -0.000   -0.000
    x6                0.001    0.003    0.425    0.671    0.001    0.001
    x7                0.877    0.137    6.395    0.000    0.877    0.821
    x8                0.732    0.084    8.670    0.000    0.732    0.723
    x9                0.528    0.081    6.548    0.000    0.528    0.518

Covariances:
                   Estimate  Std.Err  z-value  P(>|z|)   Std.lv  Std.all
  f1 ~~                                                                 
    f2                0.215    0.094    2.291    0.022    0.215    0.215
    f3                0.081    0.514    0.157    0.875    0.081    0.081
    f4                0.423    0.130    3.252    0.001    0.423    0.423
  f2 ~~                                                                 
    f3                0.135    0.836    0.161    0.872    0.135    0.135
    f4                0.376    0.195    1.924    0.054    0.376    0.376
  f3 ~~                                                                 
    f4                0.068    0.411    0.164    0.870    0.068    0.068

Intercepts:
                   Estimate  Std.Err  z-value  P(>|z|)   Std.lv  Std.all
   .x1                4.975    0.071   70.064    0.000    4.975    4.304
   .x2                6.046    0.070   86.350    0.000    6.046    5.227
   .x3                2.221    0.069   32.192    0.000    2.221    1.972
   .x4                3.092    0.070   43.893    0.000    3.092    2.636
   .x5                4.340    0.078   55.458    0.000    4.340    3.340
   .x6                2.193    0.064   34.043    0.000    2.193    2.109
   .x7                4.178    0.064   64.955    0.000    4.178    3.911
   .x8                5.519    0.061   89.827    0.000    5.519    5.455
   .x9                5.406    0.062   86.843    0.000    5.406    5.305

Variances:
                   Estimate  Std.Err  z-value  P(>|z|)   Std.lv  Std.all
   .x1                0.693    0.123    5.641    0.000    0.693    0.519
   .x2                0.968    0.117    8.266    0.000    0.968    0.723
   .x3                0.696    0.104    6.700    0.000    0.696    0.549
   .x4               -1.495    2.773   -0.539    0.590   -1.495   -1.087
   .x5              -24.912  334.376   -0.075    0.941  -24.912  -14.753
   .x6                0.738    0.215    3.430    0.001    0.738    0.683
   .x7                0.509    0.139    3.662    0.000    0.509    0.446
   .x8                0.520    0.100    5.217    0.000    0.520    0.508
   .x9                0.554    0.071    7.780    0.000    0.554    0.534
    f1                1.000                               1.000    1.000
    f2                1.000                               1.000    1.000
    f3                1.000                               1.000    1.000
    f4                1.000                               1.000    1.000

R-Square:
                   Estimate
    x1                0.481
    x2                0.277
    x3                0.451
    x4                   NA
    x5                   NA
    x6                0.317
    x7                0.554
    x8                0.492
    x9                0.466
Code
summary(
  efa5factorObliqueLavaan_fit,
  fit.measures = TRUE,
  standardized = TRUE,
  rsquare = TRUE)
Error in `qr.default()`:
! NA/NaN/Inf in foreign function call (arg 1)
Code
summary(
  efa6factorObliqueLavaan_fit,
  fit.measures = TRUE,
  standardized = TRUE,
  rsquare = TRUE)
lavaan 0.6-21 ended normally after 1 iteration

  Estimator                                         ML
  Optimization method                           NLMINB
  Number of model parameters                        87
  Row rank of the constraints matrix                30

  Rotation method                       GEOMIN OBLIQUE
  Geomin epsilon                                 1e-04
  Rotation algorithm (rstarts)                GPA (30)
  Standardized metric                             TRUE
  Row weights                                     None

  Number of observations                           301
  Number of missing patterns                        75

Model Test User Model:
                                                      
  Test statistic                                    NA
  Degrees of freedom                                -3
  P-value (Unknown)                                 NA
                                                      
  Test statistic                                    NA
  Degrees of freedom                                -3
  P-value (Unknown)                                 NA

Model Test Baseline Model:

  Test statistic                                    NA          NA
  Degrees of freedom                                NA          NA
  P-value                                           NA          NA
  Scaling correction factor                                     NA

User Model versus Baseline Model:

  Comparative Fit Index (CFI)                       NA          NA
  Tucker-Lewis Index (TLI)                          NA          NA
                                                                  
  Robust Comparative Fit Index (CFI)                            NA
  Robust Tucker-Lewis Index (TLI)                               NA

Loglikelihood and Information Criteria:

  Loglikelihood user model (H0)              -3180.778   -3180.778
  Loglikelihood unrestricted model (H1)      -3180.778   -3180.778
                                                                  
  Akaike (AIC)                                6475.557    6475.557
  Bayesian (BIC)                              6686.862    6686.862
  Sample-size adjusted Bayesian (SABIC)       6506.090    6506.090

Root Mean Square Error of Approximation:

  RMSEA                                          0.000          NA
  90 Percent confidence interval - lower            NA          NA
  90 Percent confidence interval - upper            NA          NA
  P-value H_0: RMSEA <= 0.050                       NA          NA
  P-value H_0: RMSEA >= 0.080                       NA          NA
                                                                  
  Robust RMSEA                                               0.000
  90 Percent confidence interval - lower                        NA
  90 Percent confidence interval - upper                        NA
  P-value H_0: Robust RMSEA <= 0.050                            NA
  P-value H_0: Robust RMSEA >= 0.080                            NA

Standardized Root Mean Square Residual:

  SRMR                                           0.000       0.000

Parameter Estimates:

  Standard errors                             Sandwich
  Information bread                           Observed
  Observed information based on                Hessian

Latent Variables:
                   Estimate  Std.Err  z-value  P(>|z|)   Std.lv  Std.all
  f1 =~ efa1                                                            
    x1                0.829    0.218    3.794    0.000    0.829    0.718
    x2                0.015    0.243    0.061    0.951    0.015    0.013
    x3               -0.001    0.003   -0.186    0.852   -0.001   -0.001
    x4                0.571    0.214    2.666    0.008    0.571    0.487
    x5                0.194    0.434    0.447    0.655    0.194    0.149
    x6               -0.002    0.006   -0.369    0.712   -0.002   -0.002
    x7                0.004    0.012    0.328    0.743    0.004    0.004
    x8               -0.002    0.003   -0.680    0.497   -0.002   -0.002
    x9               -0.001    0.004   -0.267    0.790   -0.001   -0.001
  f2 =~ efa1                                                            
    x1                0.002    0.064    0.036    0.971    0.002    0.002
    x2                0.440    0.269    1.633    0.103    0.440    0.380
    x3                0.818    0.316    2.590    0.010    0.818    0.727
    x4               -0.003    0.123   -0.025    0.980   -0.003   -0.003
    x5                0.001    0.048    0.023    0.982    0.001    0.001
    x6                0.480    0.288    1.668    0.095    0.480    0.462
    x7                0.001    0.064    0.019    0.985    0.001    0.001
    x8               -0.002    0.032   -0.052    0.958   -0.002   -0.002
    x9               -0.000    0.042   -0.010    0.992   -0.000   -0.000
  f3 =~ efa1                                                            
    x1                0.520    0.233    2.234    0.025    0.520    0.451
    x2                0.146    0.221    0.663    0.507    0.146    0.126
    x3               -0.002    0.003   -0.752    0.452   -0.002   -0.002
    x4                0.002    0.010    0.209    0.835    0.002    0.002
    x5               -0.004    0.004   -1.142    0.253   -0.004   -0.003
    x6                0.013    0.177    0.076    0.940    0.013    0.013
    x7               -0.002    0.006   -0.389    0.697   -0.002   -0.002
    x8                0.587    0.205    2.870    0.004    0.587    0.581
    x9                0.005    0.009    0.527    0.598    0.005    0.004
  f4 =~ efa1                                                            
    x1               -0.000    0.001   -0.258    0.796   -0.000   -0.000
    x2                0.002    0.006    0.307    0.759    0.002    0.002
    x3               -0.210    0.195   -1.075    0.282   -0.210   -0.186
    x4                0.888    0.115    7.753    0.000    0.888    0.757
    x5                1.117    0.134    8.361    0.000    1.117    0.860
    x6                0.772    0.123    6.298    0.000    0.772    0.742
    x7                0.002    0.004    0.529    0.596    0.002    0.002
    x8               -0.000    0.001   -0.236    0.814   -0.000   -0.000
    x9               -0.000    0.001   -0.298    0.766   -0.000   -0.000
  f5 =~ efa1                                                            
    x1                0.001    0.005    0.255    0.799    0.001    0.001
    x2               -0.004    0.011   -0.308    0.758   -0.004   -0.003
    x3                0.423    0.337    1.256    0.209    0.423    0.376
    x4               -0.002    0.007   -0.331    0.741   -0.002   -0.002
    x5                0.000    0.001    0.187    0.852    0.000    0.000
    x6                0.002    0.004    0.477    0.633    0.002    0.002
    x7                0.833    0.180    4.624    0.000    0.833    0.779
    x8                0.401    0.272    1.476    0.140    0.401    0.397
    x9                0.699    0.152    4.588    0.000    0.699    0.686
  f6 =~ efa1                                                            
    x1                0.000    0.002    0.059    0.953    0.000    0.000
    x2                0.123    0.205    0.600    0.549    0.123    0.106
    x3                0.000    0.000    0.412    0.681    0.000    0.000
    x4                0.000    0.004    0.026    0.979    0.000    0.000
    x5                0.469    0.243    1.928    0.054    0.469    0.361
    x6               -0.001    0.003   -0.300    0.764   -0.001   -0.001
    x7               -0.171    0.519   -0.330    0.741   -0.171   -0.160
    x8               -0.000    0.001   -0.154    0.878   -0.000   -0.000
    x9                0.606    0.360    1.686    0.092    0.606    0.595

Covariances:
                   Estimate  Std.Err  z-value  P(>|z|)   Std.lv  Std.all
  f1 ~~                                                                 
    f2                0.731    0.109    6.714    0.000    0.731    0.731
    f3               -0.148    0.366   -0.403    0.687   -0.148   -0.148
    f4               -0.028    0.413   -0.068    0.945   -0.028   -0.028
    f5               -0.079    0.267   -0.295    0.768   -0.079   -0.079
    f6                0.453    0.130    3.495    0.000    0.453    0.453
  f2 ~~                                                                 
    f3                0.145    0.346    0.419    0.675    0.145    0.145
    f4               -0.089    0.292   -0.303    0.762   -0.089   -0.089
    f5               -0.158    0.522   -0.302    0.763   -0.158   -0.158
    f6                0.672    0.173    3.890    0.000    0.672    0.672
  f3 ~~                                                                 
    f4                0.154    0.257    0.598    0.550    0.154    0.154
    f5                0.375    0.530    0.707    0.479    0.375    0.375
    f6                0.259    0.459    0.565    0.572    0.259    0.259
  f4 ~~                                                                 
    f5                0.322    0.150    2.140    0.032    0.322    0.322
    f6               -0.200    0.236   -0.845    0.398   -0.200   -0.200
  f5 ~~                                                                 
    f6               -0.272    0.456   -0.598    0.550   -0.272   -0.272

Intercepts:
                   Estimate  Std.Err  z-value  P(>|z|)   Std.lv  Std.all
   .x1                4.978    0.071   70.388    0.000    4.978    4.312
   .x2                6.046    0.070   86.371    0.000    6.046    5.225
   .x3                2.224    0.069   32.260    0.000    2.224    1.977
   .x4                3.092    0.070   43.927    0.000    3.092    2.636
   .x5                4.340    0.078   55.461    0.000    4.340    3.340
   .x6                2.193    0.064   34.054    0.000    2.193    2.109
   .x7                4.180    0.064   64.927    0.000    4.180    3.906
   .x8                5.519    0.061   89.863    0.000    5.519    5.460
   .x9                5.405    0.062   86.740    0.000    5.405    5.305

Variances:
                   Estimate  Std.Err  z-value  P(>|z|)   Std.lv  Std.all
   .x1                0.499    0.186    2.689    0.007    0.499    0.374
   .x2                0.998    0.126    7.933    0.000    0.998    0.745
   .x3                0.511    0.237    2.160    0.031    0.511    0.404
   .x4                0.293    0.099    2.971    0.003    0.293    0.213
   .x5                0.323    0.117    2.767    0.006    0.323    0.192
   .x6                0.317    0.087    3.639    0.000    0.317    0.293
   .x7                0.345    0.333    1.036    0.300    0.345    0.302
   .x8                0.340    0.256    1.330    0.183    0.340    0.333
   .x9                0.410    0.148    2.769    0.006    0.410    0.395
    f1                1.000                               1.000    1.000
    f2                1.000                               1.000    1.000
    f3                1.000                               1.000    1.000
    f4                1.000                               1.000    1.000
    f5                1.000                               1.000    1.000
    f6                1.000                               1.000    1.000

R-Square:
                   Estimate
    x1                0.626
    x2                0.255
    x3                0.596
    x4                0.787
    x5                0.808
    x6                0.707
    x7                0.698
    x8                0.667
    x9                0.605
Code
summary(
  efa7factorObliqueLavaan_fit,
  fit.measures = TRUE,
  standardized = TRUE,
  rsquare = TRUE)
lavaan 0.6-21 ended normally after 1 iteration

  Estimator                                         ML
  Optimization method                           NLMINB
  Number of model parameters                       102
  Row rank of the constraints matrix                42

  Rotation method                       GEOMIN OBLIQUE
  Geomin epsilon                                 1e-04
  Rotation algorithm (rstarts)                GPA (30)
  Standardized metric                             TRUE
  Row weights                                     None

  Number of observations                           301
  Number of missing patterns                        75

Model Test User Model:
                                                      
  Test statistic                                    NA
  Degrees of freedom                                -6
  P-value (Unknown)                                 NA
                                                      
  Test statistic                                    NA
  Degrees of freedom                                -6
  P-value (Unknown)                                 NA

Model Test Baseline Model:

  Test statistic                                    NA          NA
  Degrees of freedom                                NA          NA
  P-value                                           NA          NA
  Scaling correction factor                                     NA

User Model versus Baseline Model:

  Comparative Fit Index (CFI)                       NA          NA
  Tucker-Lewis Index (TLI)                          NA          NA
                                                                  
  Robust Comparative Fit Index (CFI)                            NA
  Robust Tucker-Lewis Index (TLI)                               NA

Loglikelihood and Information Criteria:

  Loglikelihood user model (H0)              -3180.778   -3180.778
  Loglikelihood unrestricted model (H1)      -3180.778   -3180.778
                                                                  
  Akaike (AIC)                                6481.557    6481.557
  Bayesian (BIC)                              6703.983    6703.983
  Sample-size adjusted Bayesian (SABIC)       6513.697    6513.697

Root Mean Square Error of Approximation:

  RMSEA                                          0.000          NA
  90 Percent confidence interval - lower            NA          NA
  90 Percent confidence interval - upper            NA          NA
  P-value H_0: RMSEA <= 0.050                       NA          NA
  P-value H_0: RMSEA >= 0.080                       NA          NA
                                                                  
  Robust RMSEA                                               0.000
  90 Percent confidence interval - lower                        NA
  90 Percent confidence interval - upper                        NA
  P-value H_0: Robust RMSEA <= 0.050                            NA
  P-value H_0: Robust RMSEA >= 0.080                            NA

Standardized Root Mean Square Residual:

  SRMR                                           0.000       0.000

Parameter Estimates:

  Standard errors                             Sandwich
  Information bread                           Observed
  Observed information based on                Hessian

Latent Variables:
                   Estimate  Std.Err  z-value  P(>|z|)   Std.lv  Std.all
  f1 =~ efa1                                                            
    x1                0.820    0.328    2.503    0.012    0.820    0.710
    x2                0.000    0.001    0.139    0.890    0.000    0.000
    x3                0.314    0.367    0.855    0.393    0.314    0.279
    x4                0.455    0.215    2.115    0.034    0.455    0.388
    x5                0.001    0.003    0.201    0.841    0.001    0.000
    x6               -0.000    0.001   -0.283    0.778   -0.000   -0.000
    x7                0.001    0.002    0.361    0.718    0.001    0.001
    x8               -0.000    0.001   -0.276    0.782   -0.000   -0.000
    x9               -0.000    0.002   -0.114    0.909   -0.000   -0.000
  f2 =~ efa1                                                            
    x1               -0.002    0.009   -0.242    0.809   -0.002   -0.002
    x2                0.663    0.818    0.811    0.418    0.663    0.573
    x3                0.002    0.004    0.530    0.596    0.002    0.002
    x4                0.002    0.006    0.305    0.760    0.002    0.001
    x5                0.004    0.021    0.199    0.842    0.004    0.003
    x6               -0.035    0.214   -0.166    0.869   -0.035   -0.034
    x7               -0.076    0.246   -0.308    0.758   -0.076   -0.071
    x8                0.002    0.008    0.217    0.829    0.002    0.002
    x9               -0.002    0.008   -0.272    0.785   -0.002   -0.002
  f3 =~ efa1                                                            
    x1                0.003    0.017    0.184    0.854    0.003    0.003
    x2                0.536    0.508    1.056    0.291    0.536    0.463
    x3                0.564    0.191    2.958    0.003    0.564    0.502
    x4               -0.009    0.074   -0.114    0.909   -0.009   -0.007
    x5                0.005    0.041    0.130    0.897    0.005    0.004
    x6                0.413    0.169    2.441    0.015    0.413    0.397
    x7                0.009    0.163    0.056    0.956    0.009    0.008
    x8               -0.003    0.015   -0.167    0.868   -0.003   -0.002
    x9               -0.002    0.007   -0.206    0.837   -0.002   -0.002
  f4 =~ efa1                                                            
    x1                0.615    0.306    2.010    0.044    0.615    0.533
    x2               -0.000    0.001   -0.066    0.947   -0.000   -0.000
    x3                0.002    0.007    0.254    0.799    0.002    0.002
    x4               -0.003    0.016   -0.194    0.847   -0.003   -0.003
    x5                0.012    0.306    0.039    0.969    0.012    0.009
    x6               -0.002    0.014   -0.157    0.876   -0.002   -0.002
    x7                0.002    0.011    0.160    0.873    0.002    0.002
    x8                0.559    0.295    1.893    0.058    0.559    0.553
    x9               -0.003    0.015   -0.205    0.837   -0.003   -0.003
  f5 =~ efa1                                                            
    x1                0.000    0.001    0.380    0.704    0.000    0.000
    x2                0.000    0.001    0.310    0.757    0.000    0.000
    x3               -0.000    0.000   -0.889    0.374   -0.000   -0.000
    x4                0.840    0.126    6.683    0.000    0.840    0.716
    x5                1.089    0.081   13.392    0.000    1.089    0.838
    x6                0.914    0.202    4.520    0.000    0.914    0.879
    x7                0.000    0.002    0.209    0.835    0.000    0.000
    x8               -0.000    0.001   -0.275    0.783   -0.000   -0.000
    x9                0.000    0.001    0.170    0.865    0.000    0.000
  f6 =~ efa1                                                            
    x1               -0.000    0.001   -0.286    0.775   -0.000   -0.000
    x2               -0.000    0.000   -0.407    0.684   -0.000   -0.000
    x3                0.000    0.000    0.235    0.814    0.000    0.000
    x4                0.001    0.002    0.485    0.627    0.001    0.001
    x5               -0.001    0.002   -0.357    0.721   -0.001   -0.001
    x6               -0.000    0.001   -0.023    0.982   -0.000   -0.000
    x7                0.839    0.131    6.392    0.000    0.839    0.784
    x8                0.772    0.307    2.513    0.012    0.772    0.763
    x9                0.402    0.141    2.852    0.004    0.402    0.394
  f7 =~ efa1                                                            
    x1               -0.000    0.003   -0.123    0.902   -0.000   -0.000
    x2               -0.000    0.001   -0.127    0.899   -0.000   -0.000
    x3                0.182    0.460    0.396    0.692    0.182    0.162
    x4                0.000    0.002    0.101    0.919    0.000    0.000
    x5                0.378    0.109    3.486    0.000    0.378    0.291
    x6               -0.000    0.002   -0.194    0.846   -0.000   -0.000
    x7               -0.001    0.005   -0.179    0.858   -0.001   -0.001
    x8                0.001    0.004    0.144    0.886    0.001    0.001
    x9                0.663    0.192    3.462    0.001    0.663    0.651

Covariances:
                   Estimate  Std.Err  z-value  P(>|z|)   Std.lv  Std.all
  f1 ~~                                                                 
    f2                0.160    0.676    0.236    0.813    0.160    0.160
    f3                0.309    0.296    1.047    0.295    0.309    0.309
    f4               -0.207    0.312   -0.664    0.507   -0.207   -0.207
    f5                0.275    0.169    1.622    0.105    0.275    0.275
    f6                0.282    0.262    1.077    0.282    0.282    0.282
    f7                0.331    0.377    0.877    0.380    0.331    0.331
  f2 ~~                                                                 
    f3               -0.076    0.847   -0.090    0.928   -0.076   -0.076
    f4                0.207    0.575    0.360    0.719    0.207    0.207
    f5                0.313    0.456    0.687    0.492    0.313    0.313
    f6               -0.178    0.201   -0.883    0.377   -0.178   -0.178
    f7                0.202    0.579    0.349    0.727    0.202    0.202
  f3 ~~                                                                 
    f4                0.379    0.287    1.322    0.186    0.379    0.379
    f5               -0.267    0.203   -1.311    0.190   -0.267   -0.267
    f6                0.044    0.166    0.266    0.790    0.044    0.044
    f7                0.555    0.207    2.687    0.007    0.555    0.555
  f4 ~~                                                                 
    f5               -0.038    0.306   -0.124    0.902   -0.038   -0.038
    f6               -0.303    0.344   -0.880    0.379   -0.303   -0.303
    f7                0.505    0.607    0.831    0.406    0.505    0.505
  f5 ~~                                                                 
    f6                0.153    0.129    1.187    0.235    0.153    0.153
    f7                0.029    0.196    0.149    0.882    0.029    0.029
  f6 ~~                                                                 
    f7                0.069    0.391    0.176    0.860    0.069    0.069

Intercepts:
                   Estimate  Std.Err  z-value  P(>|z|)   Std.lv  Std.all
   .x1                4.978    0.071   70.388    0.000    4.978    4.312
   .x2                6.046    0.070   86.371    0.000    6.046    5.225
   .x3                2.224    0.069   32.260    0.000    2.224    1.977
   .x4                3.092    0.070   43.927    0.000    3.092    2.636
   .x5                4.340    0.078   55.461    0.000    4.340    3.340
   .x6                2.193    0.064   34.054    0.000    2.193    2.109
   .x7                4.180    0.064   64.927    0.000    4.180    3.906
   .x8                5.519    0.061   89.863    0.000    5.519    5.460
   .x9                5.405    0.062   86.740    0.000    5.405    5.305

Variances:
                   Estimate  Std.Err  z-value  P(>|z|)   Std.lv  Std.all
   .x1                0.489    0.227    2.156    0.031    0.489    0.367
   .x2                0.667    0.991    0.673    0.501    0.667    0.498
   .x3                0.553    0.236    2.343    0.019    0.553    0.437
   .x4                0.251    0.105    2.382    0.017    0.251    0.182
   .x5                0.329    0.107    3.085    0.002    0.329    0.195
   .x6                0.295    0.102    2.889    0.004    0.295    0.273
   .x7                0.413    0.198    2.082    0.037    0.413    0.360
   .x8                0.376    0.288    1.306    0.192    0.376    0.368
   .x9                0.403    0.244    1.649    0.099    0.403    0.388
    f1                1.000                               1.000    1.000
    f2                1.000                               1.000    1.000
    f3                1.000                               1.000    1.000
    f4                1.000                               1.000    1.000
    f5                1.000                               1.000    1.000
    f6                1.000                               1.000    1.000
    f7                1.000                               1.000    1.000

R-Square:
                   Estimate
    x1                0.633
    x2                0.502
    x3                0.563
    x4                0.818
    x5                0.805
    x6                0.727
    x7                0.640
    x8                0.632
    x9                0.612
Code
summary(
  efa8factorObliqueLavaan_fit,
  fit.measures = TRUE,
  standardized = TRUE,
  rsquare = TRUE)
lavaan 0.6-21 ended normally after 1 iteration

  Estimator                                         ML
  Optimization method                           NLMINB
  Number of model parameters                       118
  Row rank of the constraints matrix                56

  Rotation method                       GEOMIN OBLIQUE
  Geomin epsilon                                 1e-04
  Rotation algorithm (rstarts)                GPA (30)
  Standardized metric                             TRUE
  Row weights                                     None

  Number of observations                           301
  Number of missing patterns                        75

Model Test User Model:
                                                      
  Test statistic                                    NA
  Degrees of freedom                                -8
  P-value (Unknown)                                 NA
                                                      
  Test statistic                                    NA
  Degrees of freedom                                -8
  P-value (Unknown)                                 NA

Model Test Baseline Model:

  Test statistic                                    NA          NA
  Degrees of freedom                                NA          NA
  P-value                                           NA          NA
  Scaling correction factor                                     NA

User Model versus Baseline Model:

  Comparative Fit Index (CFI)                       NA          NA
  Tucker-Lewis Index (TLI)                          NA          NA
                                                                  
  Robust Comparative Fit Index (CFI)                            NA
  Robust Tucker-Lewis Index (TLI)                               NA

Loglikelihood and Information Criteria:

  Loglikelihood user model (H0)              -3180.778   -3180.778
  Loglikelihood unrestricted model (H1)      -3180.778   -3180.778
                                                                  
  Akaike (AIC)                                6485.557    6485.557
  Bayesian (BIC)                              6715.398    6715.398
  Sample-size adjusted Bayesian (SABIC)       6518.769    6518.769

Root Mean Square Error of Approximation:

  RMSEA                                          0.000          NA
  90 Percent confidence interval - lower            NA          NA
  90 Percent confidence interval - upper            NA          NA
  P-value H_0: RMSEA <= 0.050                       NA          NA
  P-value H_0: RMSEA >= 0.080                       NA          NA
                                                                  
  Robust RMSEA                                               0.000
  90 Percent confidence interval - lower                        NA
  90 Percent confidence interval - upper                        NA
  P-value H_0: Robust RMSEA <= 0.050                            NA
  P-value H_0: Robust RMSEA >= 0.080                            NA

Standardized Root Mean Square Residual:

  SRMR                                           0.000       0.000

Parameter Estimates:

  Standard errors                             Sandwich
  Information bread                           Observed
  Observed information based on                Hessian

Latent Variables:
                   Estimate  Std.Err  z-value  P(>|z|)   Std.lv  Std.all
  f1 =~ efa1                                                            
    x1                0.628    0.486    1.294    0.196    0.628    0.544
    x2                0.000    0.006    0.051    0.960    0.000    0.000
    x3                0.001    0.002    0.673    0.501    0.001    0.001
    x4               -0.001    0.039   -0.019    0.985   -0.001   -0.001
    x5                0.001    0.039    0.018    0.986    0.001    0.001
    x6               -0.000    0.001   -0.009    0.993   -0.000   -0.000
    x7               -0.474    0.497   -0.954    0.340   -0.474   -0.443
    x8                0.000    0.001    0.231    0.817    0.000    0.000
    x9               -0.090    0.167   -0.540    0.589   -0.090   -0.088
  f2 =~ efa1                                                            
    x1               -0.001    0.004   -0.131    0.896   -0.001   -0.000
    x2                0.856    2.025    0.423    0.673    0.856    0.740
    x3                0.001    0.001    0.434    0.664    0.001    0.001
    x4                0.051    0.143    0.353    0.724    0.051    0.043
    x5               -0.002    0.011   -0.180    0.857   -0.002   -0.002
    x6                0.000    0.000    0.200    0.842    0.000    0.000
    x7               -0.002    0.006   -0.289    0.773   -0.002   -0.002
    x8                0.001    0.004    0.312    0.755    0.001    0.001
    x9                0.000    0.001    0.055    0.956    0.000    0.000
  f3 =~ efa1                                                            
    x1                0.001    0.005    0.130    0.897    0.001    0.001
    x2                0.001    0.011    0.057    0.954    0.001    0.001
    x3                0.615    1.861    0.331    0.741    0.615    0.547
    x4               -0.047    1.242   -0.038    0.970   -0.047   -0.040
    x5                0.002    0.059    0.036    0.971    0.002    0.002
    x6                0.000    0.002    0.052    0.958    0.000    0.000
    x7                0.001    0.015    0.082    0.935    0.001    0.001
    x8               -0.001    0.015   -0.055    0.956   -0.001   -0.001
    x9               -0.001    0.005   -0.169    0.866   -0.001   -0.001
  f4 =~ efa1                                                            
    x1                0.159    1.314    0.121    0.903    0.159    0.138
    x2                0.000    0.000    0.609    0.543    0.000    0.000
    x3               -0.000    0.001   -0.074    0.941   -0.000   -0.000
    x4                1.031    0.570    1.811    0.070    1.031    0.879
    x5                1.236    1.680    0.736    0.462    1.236    0.951
    x6                0.476    2.363    0.201    0.840    0.476    0.458
    x7                0.001    0.007    0.162    0.872    0.001    0.001
    x8               -0.001    0.005   -0.110    0.912   -0.001   -0.001
    x9               -0.000    0.004   -0.124    0.901   -0.000   -0.000
  f5 =~ efa1                                                            
    x1                0.627    0.999    0.628    0.530    0.627    0.543
    x2                0.000    0.001    0.046    0.963    0.000    0.000
    x3                0.619    0.930    0.666    0.505    0.619    0.550
    x4                0.001    0.010    0.100    0.921    0.001    0.001
    x5               -0.001    0.007   -0.096    0.924   -0.001   -0.001
    x6                0.000    0.001    0.127    0.899    0.000    0.000
    x7                0.000    0.001    0.134    0.893    0.000    0.000
    x8                0.000    0.001    0.056    0.955    0.000    0.000
    x9                0.783    0.692    1.131    0.258    0.783    0.769
  f6 =~ efa1                                                            
    x1               -0.001    0.011   -0.094    0.925   -0.001   -0.001
    x2               -0.001    0.003   -0.225    0.822   -0.001   -0.001
    x3                0.000    0.008    0.048    0.961    0.000    0.000
    x4                0.011    0.355    0.030    0.976    0.011    0.009
    x5               -0.005    0.015   -0.336    0.737   -0.005   -0.004
    x6                0.550    1.934    0.285    0.776    0.550    0.529
    x7               -0.003    0.025   -0.131    0.896   -0.003   -0.003
    x8                0.002    0.017    0.137    0.891    0.002    0.002
    x9                0.001    0.003    0.313    0.754    0.001    0.001
  f7 =~ efa1                                                            
    x1               -0.000    0.003   -0.125    0.901   -0.000   -0.000
    x2                0.000    0.001    0.150    0.880    0.000    0.000
    x3               -0.000    0.003   -0.064    0.949   -0.000   -0.000
    x4               -0.001    0.001   -0.704    0.481   -0.001   -0.000
    x5                0.538    1.642    0.328    0.743    0.538    0.414
    x6                0.000    0.000    1.063    0.288    0.000    0.000
    x7               -0.001    0.001   -0.499    0.618   -0.001   -0.000
    x8                0.473    1.829    0.259    0.796    0.473    0.468
    x9                0.288    3.906    0.074    0.941    0.288    0.283
  f8 =~ efa1                                                            
    x1                0.000    0.002    0.092    0.926    0.000    0.000
    x2               -0.000    0.001   -0.145    0.885   -0.000   -0.000
    x3                0.000    0.002    0.096    0.924    0.000    0.000
    x4                0.001    0.004    0.240    0.811    0.001    0.001
    x5               -0.001    0.002   -0.440    0.660   -0.001   -0.001
    x6                0.000    0.000    0.278    0.781    0.000    0.000
    x7                0.697    0.606    1.151    0.250    0.697    0.652
    x8                0.831    1.276    0.651    0.515    0.831    0.822
    x9                0.000    0.003    0.001    0.999    0.000    0.000

Covariances:
                   Estimate  Std.Err  z-value  P(>|z|)   Std.lv  Std.all
  f1 ~~                                                                 
    f2                0.406    0.814    0.499    0.618    0.406    0.406
    f3                0.482    0.277    1.739    0.082    0.482    0.482
    f4                0.090    3.696    0.024    0.981    0.090    0.090
    f5               -0.048    0.989   -0.048    0.962   -0.048   -0.048
    f6                0.080    0.466    0.172    0.864    0.080    0.080
    f7               -0.132    5.362   -0.025    0.980   -0.132   -0.132
    f8               -0.021    3.489   -0.006    0.995   -0.021   -0.021
  f2 ~~                                                                 
    f3                0.473    3.992    0.119    0.906    0.473    0.473
    f4                0.167    0.174    0.957    0.339    0.167    0.167
    f5                0.357    0.223    1.599    0.110    0.357    0.357
    f6                0.359    0.567    0.633    0.527    0.359    0.359
    f7                0.152    1.823    0.084    0.933    0.152    0.152
    f8                0.077    0.229    0.336    0.737    0.077    0.077
  f3 ~~                                                                 
    f4               -0.073    1.605   -0.045    0.964   -0.073   -0.073
    f5                0.036    1.847    0.020    0.984    0.036    0.036
    f6                0.256    2.765    0.092    0.926    0.256    0.256
    f7               -0.083    6.211   -0.013    0.989   -0.083   -0.083
    f8               -0.115    2.461   -0.047    0.963   -0.115   -0.115
  f4 ~~                                                                 
    f5                0.374    0.569    0.658    0.511    0.374    0.374
    f6                0.572    2.392    0.239    0.811    0.572    0.572
    f7               -0.330    3.032   -0.109    0.913   -0.330   -0.330
    f8                0.314    1.801    0.174    0.862    0.314    0.314
  f5 ~~                                                                 
    f6                0.241    0.919    0.262    0.793    0.241    0.241
    f7               -0.096    3.256   -0.029    0.977   -0.096   -0.096
    f8                0.662    1.587    0.417    0.676    0.662    0.662
  f6 ~~                                                                 
    f7                0.243    0.823    0.295    0.768    0.243    0.243
    f8                0.164    0.594    0.276    0.783    0.164    0.164
  f7 ~~                                                                 
    f8               -0.324    2.442   -0.133    0.894   -0.324   -0.324

Intercepts:
                   Estimate  Std.Err  z-value  P(>|z|)   Std.lv  Std.all
   .x1                4.978    0.071   70.389    0.000    4.978    4.312
   .x2                6.046    0.070   86.371    0.000    6.046    5.225
   .x3                2.224    0.069   32.260    0.000    2.224    1.977
   .x4                3.092    0.070   43.927    0.000    3.092    2.636
   .x5                4.340    0.078   55.461    0.000    4.340    3.340
   .x6                2.193    0.064   34.054    0.000    2.193    2.109
   .x7                4.180    0.064   64.927    0.000    4.180    3.906
   .x8                5.519    0.061   89.863    0.000    5.519    5.460
   .x9                5.405    0.062   86.740    0.000    5.405    5.305

Variances:
                   Estimate  Std.Err  z-value  P(>|z|)   Std.lv  Std.all
   .x1                0.465    1.767    0.263    0.793    0.465    0.349
   .x2                0.606    3.458    0.175    0.861    0.606    0.453
   .x3                0.474    2.181    0.218    0.828    0.474    0.375
   .x4                0.271    0.799    0.339    0.735    0.271    0.197
   .x5                0.322    0.153    2.105    0.035    0.322    0.191
   .x6                0.252    0.686    0.367    0.714    0.252    0.233
   .x7                0.420    1.155    0.364    0.716    0.420    0.367
   .x8                0.361    0.732    0.493    0.622    0.361    0.353
   .x9                0.363    0.969    0.375    0.708    0.363    0.350
    f1                1.000                               1.000    1.000
    f2                1.000                               1.000    1.000
    f3                1.000                               1.000    1.000
    f4                1.000                               1.000    1.000
    f5                1.000                               1.000    1.000
    f6                1.000                               1.000    1.000
    f7                1.000                               1.000    1.000
    f8                1.000                               1.000    1.000

R-Square:
                   Estimate
    x1                0.651
    x2                0.547
    x3                0.625
    x4                0.803
    x5                0.809
    x6                0.767
    x7                0.633
    x8                0.647
    x9                0.650
Code
summary(
  efa9factorObliqueLavaan_fit,
  fit.measures = TRUE,
  standardized = TRUE,
  rsquare = TRUE)
lavaan 0.6-21 ended normally after 1 iteration

  Estimator                                         ML
  Optimization method                           NLMINB
  Number of model parameters                       135
  Row rank of the constraints matrix                72

  Rotation method                       GEOMIN OBLIQUE
  Geomin epsilon                                 1e-04
  Rotation algorithm (rstarts)                GPA (30)
  Standardized metric                             TRUE
  Row weights                                     None

  Number of observations                           301
  Number of missing patterns                        75

Model Test User Model:
                                                      
  Test statistic                                    NA
  Degrees of freedom                                -9
  P-value (Unknown)                                 NA
                                                      
  Test statistic                                    NA
  Degrees of freedom                                -9
  P-value (Unknown)                                 NA

Model Test Baseline Model:

  Test statistic                                    NA          NA
  Degrees of freedom                                NA          NA
  P-value                                           NA          NA
  Scaling correction factor                                     NA

User Model versus Baseline Model:

  Comparative Fit Index (CFI)                       NA          NA
  Tucker-Lewis Index (TLI)                          NA          NA
                                                                  
  Robust Comparative Fit Index (CFI)                            NA
  Robust Tucker-Lewis Index (TLI)                               NA

Loglikelihood and Information Criteria:

  Loglikelihood user model (H0)              -3180.778   -3180.778
  Loglikelihood unrestricted model (H1)      -3180.778   -3180.778
                                                                  
  Akaike (AIC)                                6487.557    6487.557
  Bayesian (BIC)                              6721.105    6721.105
  Sample-size adjusted Bayesian (SABIC)       6521.305    6521.305

Root Mean Square Error of Approximation:

  RMSEA                                          0.000          NA
  90 Percent confidence interval - lower            NA          NA
  90 Percent confidence interval - upper            NA          NA
  P-value H_0: RMSEA <= 0.050                       NA          NA
  P-value H_0: RMSEA >= 0.080                       NA          NA
                                                                  
  Robust RMSEA                                               0.000
  90 Percent confidence interval - lower                        NA
  90 Percent confidence interval - upper                        NA
  P-value H_0: Robust RMSEA <= 0.050                            NA
  P-value H_0: Robust RMSEA >= 0.080                            NA

Standardized Root Mean Square Residual:

  SRMR                                           0.000       0.000

Parameter Estimates:

  Standard errors                             Sandwich
  Information bread                           Observed
  Observed information based on                Hessian

Latent Variables:
                   Estimate  Std.Err  z-value  P(>|z|)   Std.lv  Std.all
  f1 =~ efa1                                                            
    x1                0.616    2.069    0.298    0.766    0.616    0.534
    x2                0.000    0.000    0.750    0.453    0.000    0.000
    x3                0.000    0.002    0.053    0.958    0.000    0.000
    x4               -0.000    0.001   -0.782    0.434   -0.000   -0.000
    x5                0.000    0.001    0.405    0.686    0.000    0.000
    x6                0.000    0.001    0.126    0.899    0.000    0.000
    x7               -0.408    0.718   -0.568    0.570   -0.408   -0.381
    x8                0.000    0.001    0.410    0.682    0.000    0.000
    x9               -0.000    0.001   -0.182    0.856   -0.000   -0.000
  f2 =~ efa1                                                            
    x1                0.795    0.595    1.336    0.181    0.795    0.688
    x2               -0.000    0.000   -0.113    0.910   -0.000   -0.000
    x3                0.000    0.005    0.076    0.940    0.000    0.000
    x4                0.366    0.226    1.615    0.106    0.366    0.312
    x5               -0.000    0.001   -0.257    0.797   -0.000   -0.000
    x6                0.000    0.001    0.196    0.844    0.000    0.000
    x7                0.000    0.001    0.185    0.854    0.000    0.000
    x8               -0.000    0.002   -0.031    0.975   -0.000   -0.000
    x9                0.000    0.001    0.368    0.713    0.000    0.000
  f3 =~ efa1                                                            
    x1               -0.003    0.021   -0.123    0.902   -0.003   -0.002
    x2                0.751    1.910    0.393    0.694    0.751    0.648
    x3                0.000    0.005    0.000    1.000    0.000    0.000
    x4                0.022    0.219    0.099    0.922    0.022    0.018
    x5               -0.006    0.065   -0.097    0.922   -0.006   -0.005
    x6               -0.000    0.002   -0.059    0.953   -0.000   -0.000
    x7               -0.002    0.011   -0.189    0.850   -0.002   -0.002
    x8                0.003    0.013    0.253    0.801    0.003    0.003
    x9                0.001    0.013    0.112    0.911    0.001    0.001
  f4 =~ efa1                                                            
    x1                0.003    0.039    0.076    0.939    0.003    0.003
    x2                0.508    1.105    0.459    0.646    0.508    0.439
    x3                0.915    1.514    0.604    0.546    0.915    0.813
    x4               -0.008    0.216   -0.035    0.972   -0.008   -0.007
    x5                0.007    0.136    0.049    0.961    0.007    0.005
    x6                0.000    0.005    0.082    0.935    0.000    0.000
    x7                0.002    0.020    0.102    0.919    0.002    0.002
    x8               -0.003    0.027   -0.116    0.907   -0.003   -0.003
    x9               -0.001    0.022   -0.059    0.953   -0.001   -0.001
  f5 =~ efa1                                                            
    x1                0.000    0.000    0.949    0.343    0.000    0.000
    x2                0.000    0.000    0.338    0.735    0.000    0.000
    x3               -0.000    0.000   -0.079    0.937   -0.000   -0.000
    x4                0.835    0.157    5.327    0.000    0.835    0.712
    x5                1.057    0.132    8.030    0.000    1.057    0.813
    x6                0.842    0.788    1.069    0.285    0.842    0.810
    x7                0.000    0.000    0.227    0.821    0.000    0.000
    x8               -0.000    0.000   -0.485    0.628   -0.000   -0.000
    x9               -0.000    0.000   -0.059    0.953   -0.000   -0.000
  f6 =~ efa1                                                            
    x1               -0.002    0.049   -0.043    0.965   -0.002   -0.002
    x2               -0.000    0.005   -0.033    0.974   -0.000   -0.000
    x3                0.001    0.004    0.206    0.837    0.001    0.001
    x4                0.005    0.120    0.042    0.967    0.005    0.004
    x5               -0.006    0.160   -0.037    0.971   -0.006   -0.005
    x6                0.455    0.496    0.918    0.359    0.455    0.438
    x7               -0.002    0.026   -0.068    0.946   -0.002   -0.002
    x8                0.003    0.064    0.048    0.961    0.003    0.003
    x9                0.002    0.020    0.079    0.937    0.002    0.002
  f7 =~ efa1                                                            
    x1                0.000    0.000    0.784    0.433    0.000    0.000
    x2               -0.000    0.000   -0.086    0.932   -0.000   -0.000
    x3                0.000    0.001    0.212    0.832    0.000    0.000
    x4               -0.000    0.001   -0.524    0.600   -0.000   -0.000
    x5                0.000    0.003    0.074    0.941    0.000    0.000
    x6                0.000    0.002    0.064    0.949    0.000    0.000
    x7                0.578    1.063    0.544    0.587    0.578    0.541
    x8                0.701    1.323    0.530    0.596    0.701    0.693
    x9                0.000    0.002    0.034    0.973    0.000    0.000
  f8 =~ efa1                                                            
    x1                0.000    0.004    0.112    0.911    0.000    0.000
    x2               -0.000    0.001   -0.165    0.869   -0.000   -0.000
    x3                0.000    0.002    0.275    0.783    0.000    0.000
    x4               -0.000    0.005   -0.074    0.941   -0.000   -0.000
    x5                0.000    0.005    0.055    0.956    0.000    0.000
    x6                0.000    0.002    0.093    0.926    0.000    0.000
    x7                0.226    0.773    0.292    0.770    0.226    0.211
    x8               -0.001    0.004   -0.148    0.882   -0.001   -0.001
    x9                0.479    1.141    0.420    0.675    0.479    0.470
  f9 =~ efa1                                                            
    x1                0.000    0.001    0.207    0.836    0.000    0.000
    x2                0.000    0.001    0.119    0.905    0.000    0.000
    x3                0.000    0.004    0.024    0.981    0.000    0.000
    x4               -0.000    0.002   -0.224    0.823   -0.000   -0.000
    x5                0.437    0.481    0.908    0.364    0.437    0.336
    x6                0.000    0.002    0.032    0.975    0.000    0.000
    x7               -0.000    0.001   -0.132    0.895   -0.000   -0.000
    x8                0.230    0.101    2.284    0.022    0.230    0.228
    x9                0.613    0.540    1.135    0.256    0.613    0.602

Covariances:
                   Estimate  Std.Err  z-value  P(>|z|)   Std.lv  Std.all
  f1 ~~                                                                 
    f2               -0.124    1.964   -0.063    0.950   -0.124   -0.124
    f3                0.289    0.529    0.547    0.584    0.289    0.289
    f4                0.409    1.865    0.219    0.827    0.409    0.409
    f5               -0.127    0.861   -0.148    0.883   -0.127   -0.127
    f6                0.334    1.761    0.189    0.850    0.334    0.334
    f7               -0.029    0.600   -0.049    0.961   -0.029   -0.029
    f8               -0.332    1.566   -0.212    0.832   -0.332   -0.332
    f9                0.286    0.197    1.449    0.147    0.286    0.286
  f2 ~~                                                                 
    f3               -0.055    0.475   -0.115    0.909   -0.055   -0.055
    f4                0.506    1.404    0.360    0.718    0.506    0.506
    f5                0.425    0.318    1.334    0.182    0.425    0.425
    f6                0.173    0.288    0.603    0.547    0.173    0.173
    f7                0.369    0.192    1.917    0.055    0.369    0.369
    f8                0.673    0.708    0.951    0.342    0.673    0.673
    f9                0.277    0.859    0.322    0.747    0.277    0.277
  f3 ~~                                                                 
    f4               -0.037    2.418   -0.015    0.988   -0.037   -0.037
    f5                0.105    0.163    0.641    0.521    0.105    0.105
    f6                0.081    1.043    0.078    0.938    0.081    0.081
    f7               -0.096    0.554   -0.174    0.862   -0.096   -0.096
    f8               -0.288    1.857   -0.155    0.877   -0.288   -0.288
    f9                0.218    1.354    0.161    0.872    0.218    0.218
  f4 ~~                                                                 
    f5                0.038    0.796    0.048    0.962    0.038    0.038
    f6                0.547    0.925    0.591    0.554    0.547    0.547
    f7                0.255    1.091    0.233    0.816    0.255    0.255
    f8                0.603    3.716    0.162    0.871    0.603    0.603
    f9                0.324    0.336    0.965    0.335    0.324    0.324
  f5 ~~                                                                 
    f6               -0.081    1.923   -0.042    0.966   -0.081   -0.081
    f7               -0.005    0.126   -0.038    0.970   -0.005   -0.005
    f8                0.014    0.227    0.060    0.952    0.014    0.014
    f9                0.064    0.896    0.071    0.943    0.064    0.064
  f6 ~~                                                                 
    f7                0.417    0.294    1.421    0.155    0.417    0.417
    f8                0.310    0.723    0.428    0.669    0.310    0.310
    f9                0.437    0.934    0.468    0.640    0.437    0.437
  f7 ~~                                                                 
    f8                0.378    1.642    0.230    0.818    0.378    0.378
    f9                0.409    1.004    0.407    0.684    0.409    0.409
  f8 ~~                                                                 
    f9                0.170    1.486    0.114    0.909    0.170    0.170

Intercepts:
                   Estimate  Std.Err  z-value  P(>|z|)   Std.lv  Std.all
   .x1                4.978    0.071   70.388    0.000    4.978    4.312
   .x2                6.046    0.070   86.371    0.000    6.046    5.225
   .x3                2.224    0.069   32.260    0.000    2.224    1.977
   .x4                3.092    0.070   43.927    0.000    3.092    2.636
   .x5                4.340    0.078   55.461    0.000    4.340    3.340
   .x6                2.193    0.064   34.054    0.000    2.193    2.109
   .x7                4.180    0.064   64.927    0.000    4.180    3.906
   .x8                5.519    0.061   89.863    0.000    5.519    5.460
   .x9                5.405    0.062   86.740    0.000    5.405    5.305

Variances:
                   Estimate  Std.Err  z-value  P(>|z|)   Std.lv  Std.all
   .x1                0.440    1.013    0.434    0.664    0.440    0.330
   .x2                0.546    2.016    0.271    0.786    0.546    0.408
   .x3                0.427    2.779    0.154    0.878    0.427    0.338
   .x4                0.287    0.126    2.277    0.023    0.287    0.208
   .x5                0.324    0.115    2.824    0.005    0.324    0.192
   .x6                0.227    0.582    0.390    0.697    0.227    0.210
   .x7                0.418    1.137    0.367    0.713    0.418    0.365
   .x8                0.345    1.746    0.198    0.843    0.345    0.338
   .x9                0.333    1.105    0.301    0.763    0.333    0.321
    f1                1.000                               1.000    1.000
    f2                1.000                               1.000    1.000
    f3                1.000                               1.000    1.000
    f4                1.000                               1.000    1.000
    f5                1.000                               1.000    1.000
    f6                1.000                               1.000    1.000
    f7                1.000                               1.000    1.000
    f8                1.000                               1.000    1.000
    f9                1.000                               1.000    1.000

R-Square:
                   Estimate
    x1                0.670
    x2                0.592
    x3                0.662
    x4                0.792
    x5                0.808
    x6                0.790
    x7                0.635
    x8                0.662
    x9                0.679

14.4.1.4 Estimates of Model Fit

14.4.1.4.1 Orthogonal (Varimax) rotation

Fit indices are generated using the syntax below.

14.4.1.4.1.1 psych
Code
residuals(efa3factorOrthogonal)
   x1    x2    x3    x4    x5    x6    x7    x8    x9   
x1  0.53                                                
x2 -0.01  0.74                                          
x3  0.00  0.00  0.50                                    
x4  0.05 -0.03  0.00  0.27                              
x5 -0.04  0.03 -0.02  0.00  0.26                        
x6 -0.02  0.00  0.02 -0.01  0.01  0.36                  
x7 -0.02 -0.03  0.03  0.04 -0.04 -0.01  0.51            
x8  0.03  0.02 -0.03 -0.04  0.02  0.02  0.00  0.46      
x9 -0.02  0.00  0.02 -0.02  0.04 -0.02  0.00  0.00  0.52
Code
hist(residuals(efa3factorOrthogonal))

Code
factor.residuals(
  corMatrix_HolzingerSwineford1939,
  efa3factorOrthogonal$loadings)
             x1            x2            x3            x4           x5
x1  0.525604637 -0.0121613494  0.0020909443  0.0481340574 -0.036771251
x2 -0.012161349  0.7448898000  0.0006576074 -0.0296115336  0.030848053
x3  0.002090944  0.0006576074  0.5019212070  0.0006260792 -0.015163678
x4  0.048134057 -0.0296115336  0.0006260792  0.2668740282 -0.001827322
x5 -0.036771251  0.0308480531 -0.0151636779 -0.0018273222  0.263188714
x6 -0.015033262  0.0001545610  0.0206794944 -0.0051858959  0.007660701
x7 -0.018931574 -0.0310098503  0.0281289383  0.0445961395 -0.035368460
x8  0.032636590  0.0241116342 -0.0347251123 -0.0359074265  0.016406036
x9 -0.017156197  0.0017870132  0.0158438483 -0.0168211784  0.036038114
             x6           x7           x8           x9
x1 -0.015033262 -0.018931574  0.032636590 -0.017156197
x2  0.000154561 -0.031009850  0.024111634  0.001787013
x3  0.020679494  0.028128938 -0.034725112  0.015843848
x4 -0.005185896  0.044596140 -0.035907426 -0.016821178
x5  0.007660701 -0.035368460  0.016406036  0.036038114
x6  0.360031487 -0.006967004  0.019779865 -0.024899374
x7 -0.006967004  0.505427999  0.002550111 -0.003589245
x8  0.019779865  0.002550111  0.460332518 -0.001611445
x9 -0.024899374 -0.003589245 -0.001611445  0.519163584
14.4.1.4.1.2 lavaan
Code
fitMeasures(
  efaOrthogonalLavaan_fit,
  fit.measures = c(
    "chisq", "df", "pvalue",
    "chisq.scaled", "df.scaled", "pvalue.scaled",
    "chisq.scaling.factor",
    "baseline.chisq","baseline.df","baseline.pvalue",
    "rmsea", "cfi", "tli", "srmr",
    "rmsea.robust", "cfi.robust", "tli.robust"))
                      nfct=1  nfct=2  nfct=3  nfct=4  nfct=5
chisq                239.990 104.454  23.051   7.171   1.736
df                    27.000  19.000  12.000   6.000   1.000
pvalue                 0.000   0.000   0.027   0.305   0.188
chisq.scaled         235.316 112.999  23.723   5.251   0.365
df.scaled             27.000  19.000  12.000   6.000   1.000
pvalue.scaled          0.000   0.000   0.022   0.512   0.546
chisq.scaling.factor   1.020   0.924   0.972   1.366   4.755
baseline.chisq       693.305 693.305 693.305 693.305 693.305
baseline.df           36.000  36.000  36.000  36.000  36.000
baseline.pvalue        0.000   0.000   0.000   0.000   0.000
rmsea                  0.162   0.122   0.055   0.025   0.049
cfi                    0.676   0.870   0.983   0.998   0.999
tli                    0.568   0.754   0.950   0.989   0.960
srmr                   0.129   0.073   0.020   0.012   0.006
rmsea.robust           0.190   0.148   0.080   0.000   0.000
cfi.robust             0.664   0.865   0.988   1.000      NA
tli.robust             0.552   0.745   0.964     Inf      NA
Code
residuals(efaOrthogonalLavaan_fit$nf3, type = "cor")
$type
[1] "cor.bollen"

$cov
       x1     x2     x3     x4     x5     x6     x7     x8     x9
x1  0.000                                                        
x2 -0.008  0.000                                                 
x3  0.001 -0.004  0.000                                          
x4  0.040 -0.022 -0.001  0.000                                   
x5 -0.019  0.013 -0.031 -0.004  0.000                            
x6 -0.034  0.015  0.024 -0.002  0.005  0.000                     
x7 -0.034 -0.037  0.027  0.035 -0.043  0.001  0.000              
x8  0.027  0.029 -0.041 -0.044  0.016  0.016 -0.007  0.000       
x9 -0.010  0.013  0.014 -0.033  0.042 -0.024 -0.009 -0.002  0.000

$mean
    x1     x2     x3     x4     x5     x6     x7     x8     x9 
 0.003 -0.001  0.003 -0.003 -0.001  0.005  0.003 -0.001  0.003 
Code
hist(residuals(efaOrthogonalLavaan_fit$nf3, type = "cor")$cov)

residuals(efa3factorOrthogonalLavaan_fit, type = "cor")
$type
[1] "cor.bollen"

$cov
       x1     x2     x3     x4     x5     x6     x7     x8     x9
x1  0.000                                                        
x2 -0.008  0.000                                                 
x3  0.001 -0.004  0.000                                          
x4  0.040 -0.022 -0.001  0.000                                   
x5 -0.019  0.013 -0.031 -0.004  0.000                            
x6 -0.034  0.015  0.024 -0.002  0.005  0.000                     
x7 -0.034 -0.037  0.027  0.035 -0.043  0.001  0.000              
x8  0.027  0.029 -0.041 -0.044  0.016  0.016 -0.007  0.000       
x9 -0.010  0.013  0.014 -0.033  0.042 -0.024 -0.009 -0.002  0.000

$mean
    x1     x2     x3     x4     x5     x6     x7     x8     x9 
 0.003 -0.001  0.003 -0.003 -0.001  0.005  0.003 -0.001  0.003 
Figure 14.36
14.4.1.4.2 Oblique (Oblimin) rotation

14.4.1.4.2.1 psych
Code
residuals(efa3factorOblique)
   x1    x2    x3    x4    x5    x6    x7    x8    x9   
x1  0.53                                                
x2 -0.01  0.74                                          
x3  0.00  0.00  0.50                                    
x4  0.05 -0.03  0.00  0.27                              
x5 -0.04  0.03 -0.02  0.00  0.26                        
x6 -0.02  0.00  0.02 -0.01  0.01  0.36                  
x7 -0.02 -0.03  0.03  0.04 -0.04 -0.01  0.51            
x8  0.03  0.02 -0.03 -0.04  0.02  0.02  0.00  0.46      
x9 -0.02  0.00  0.02 -0.02  0.04 -0.02  0.00  0.00  0.52
Code
hist(residuals(efa3factorOblique))

Code
factor.residuals(
  corMatrix_HolzingerSwineford1939,
  efa3factorOblique$loadings)
            x1           x2          x3           x4           x5           x6
x1 0.609006606  0.005778083  0.04785250  0.224197219  0.149160462  0.151645536
x2 0.005778083  0.721805449 -0.01628447  0.094316026  0.164366228  0.116982126
x3 0.047852500 -0.016284471  0.48637804  0.219885172  0.215321248  0.226439421
x4 0.224197219  0.094316026  0.21988517  0.265514062 -0.001939637 -0.001399424
x5 0.149160462  0.164366228  0.21532125 -0.001939637  0.263236280  0.012613464
x6 0.151645536  0.116982126  0.22643942 -0.001399424  0.012613464  0.368286166
x7 0.129266226  0.087907675  0.17257093  0.141351101  0.052104575  0.084024198
x8 0.189010607  0.130179709  0.09641742  0.133399799  0.181072446  0.178880766
x9 0.111498418  0.068099418  0.10214055  0.191433127  0.246193720  0.170825288
            x7          x8         x9
x1 0.129266226 0.189010607 0.11149842
x2 0.087907675 0.130179709 0.06809942
x3 0.172570930 0.096417423 0.10214055
x4 0.141351101 0.133399799 0.19143313
x5 0.052104575 0.181072446 0.24619372
x6 0.084024198 0.178880766 0.17082529
x7 0.448517388 0.001914572 0.06229779
x8 0.001914572 0.508094015 0.09255410
x9 0.062297795 0.092554098 0.62544311
14.4.1.4.2.2 lavaan
Code
fitMeasures(
  efaObliqueLavaan_fit,
  fit.measures = c(
    "chisq", "df", "pvalue",
    "chisq.scaled", "df.scaled", "pvalue.scaled",
    "chisq.scaling.factor",
    "baseline.chisq","baseline.df","baseline.pvalue",
    "rmsea", "cfi", "tli", "srmr",
    "rmsea.robust", "cfi.robust", "tli.robust"))
                      nfct=1  nfct=2  nfct=3  nfct=4  nfct=5
chisq                239.990 104.454  23.051   7.171   1.736
df                    27.000  19.000  12.000   6.000   1.000
pvalue                 0.000   0.000   0.027   0.305   0.188
chisq.scaled         235.316 112.999  23.723   5.251   0.365
df.scaled             27.000  19.000  12.000   6.000   1.000
pvalue.scaled          0.000   0.000   0.022   0.512   0.546
chisq.scaling.factor   1.020   0.924   0.972   1.366   4.755
baseline.chisq       693.305 693.305 693.305 693.305 693.305
baseline.df           36.000  36.000  36.000  36.000  36.000
baseline.pvalue        0.000   0.000   0.000   0.000   0.000
rmsea                  0.162   0.122   0.055   0.025   0.049
cfi                    0.676   0.870   0.983   0.998   0.999
tli                    0.568   0.754   0.950   0.989   0.960
srmr                   0.129   0.073   0.020   0.012   0.006
rmsea.robust           0.190   0.152   0.099   0.000   0.000
cfi.robust             0.664   0.868   1.000      NA      NA
tli.robust             0.552   0.749   1.012      NA      NA
Code
residuals(efaObliqueLavaan_fit$nf3, type = "cor")
$type
[1] "cor.bollen"

$cov
       x1     x2     x3     x4     x5     x6     x7     x8     x9
x1  0.000                                                        
x2 -0.008  0.000                                                 
x3  0.001 -0.004  0.000                                          
x4  0.040 -0.022 -0.001  0.000                                   
x5 -0.019  0.013 -0.031 -0.004  0.000                            
x6 -0.034  0.015  0.024 -0.002  0.005  0.000                     
x7 -0.034 -0.037  0.027  0.035 -0.043  0.001  0.000              
x8  0.027  0.029 -0.041 -0.044  0.016  0.016 -0.007  0.000       
x9 -0.010  0.013  0.014 -0.033  0.042 -0.024 -0.009 -0.002  0.000

$mean
    x1     x2     x3     x4     x5     x6     x7     x8     x9 
 0.003 -0.001  0.003 -0.003 -0.001  0.005  0.003 -0.001  0.003 
Code
hist(residuals(efaObliqueLavaan_fit$nf3, type = "cor")$cov)

Code
residuals(efa3factorObliqueLavaan_fit, type = "cor")
$type
[1] "cor.bollen"

$cov
       x1     x2     x3     x4     x5     x6     x7     x8     x9
x1  0.000                                                        
x2 -0.008  0.000                                                 
x3  0.001 -0.004  0.000                                          
x4  0.040 -0.022 -0.001  0.000                                   
x5 -0.019  0.013 -0.031 -0.004  0.000                            
x6 -0.034  0.015  0.024 -0.002  0.005  0.000                     
x7 -0.034 -0.037  0.027  0.035 -0.043  0.001  0.000              
x8  0.027  0.029 -0.041 -0.044  0.016  0.016 -0.007  0.000       
x9 -0.010  0.013  0.014 -0.033  0.042 -0.024 -0.009 -0.002  0.000

$mean
    x1     x2     x3     x4     x5     x6     x7     x8     x9 
 0.003 -0.001  0.003 -0.003 -0.001  0.005  0.003 -0.001  0.003 

14.4.1.5 Factor Scores

14.4.1.5.1 Orthogonal (Varimax) rotation
14.4.1.5.1.1 psych

Code
fa3Orthogonal <- efa3factorOrthogonal$scores
14.4.1.5.1.2 lavaan

Code
fa3Orthogonal_lavaan <- lavPredict(efa3factorOrthogonalLavaan_fit)
14.4.1.5.2 Oblique (Oblimin) rotation
14.4.1.5.2.1 psych

Code
fa3Oblique <- efa3factorOblique$scores
14.4.1.5.2.2 lavaan

Code
fa3Oblique_lavaan <- lavPredict(efa3factorObliqueLavaan_fit)

14.4.1.6 Plots

Biplots were generated using the psych package (Revelle, 2022). Pairs panel plots were generated using the psych package (Revelle, 2022). Correlation plots were generated using the corrplot package (Wei & Simko, 2021).

14.4.1.6.1 Orthogonal (Varimax) rotation

A scree plot from a model with orthogonal rotation is in Figure 14.37.

Code
plot(
  efa9factorOrthogonal$e.values,
  xlab = "Factor",
  ylab = "Eigenvalue")
Scree Plot With Orthogonal Rotation in Exploratory Factor Analysis: psych.
Figure 14.37: Scree Plot With Orthogonal Rotation in Exploratory Factor Analysis: psych.

A scree plot based on factor loadings from lavaan is in Figure 14.38. When the factors are uncorrelated (orthogonal rotation), the eigenvalue for a factor is calculated as the sum of squared standardized factor loadings across all items, as described in Section 14.1.4.2.1.

Code
param1Factor <- parameterEstimates(
  efa1factorOrthogonalLavaan_fit,
  standardized = TRUE)

param2Factor <- parameterEstimates(
  efa2factorOrthogonalLavaan_fit,
  standardized = TRUE)

param3Factor <- parameterEstimates(
  efa3factorOrthogonalLavaan_fit,
  standardized = TRUE)

param4Factor <- parameterEstimates(
  efa4factorOrthogonalLavaan_fit,
  standardized = TRUE)

param5Factor <- parameterEstimates(
  efa5factorOrthogonalLavaan_fit,
  standardized = TRUE)

param6Factor <- parameterEstimates(
  efa6factorOrthogonalLavaan_fit,
  standardized = TRUE)

param7Factor <- parameterEstimates(
  efa7factorOrthogonalLavaan_fit,
  standardized = TRUE)

param8Factor <- parameterEstimates(
  efa8factorOrthogonalLavaan_fit,
  standardized = TRUE)

param9Factor <- parameterEstimates(
  efa9factorOrthogonalLavaan_fit,
  standardized = TRUE)

factorNames <- c("f1","f2","f3","f4","f5","f6","f7","f8","f9")

loadings1Factor <- param1Factor[which(
  param1Factor$lhs %in% factorNames &
    param1Factor$rhs %in% vars),
  c("lhs","std.all")]

loadings2Factor <- param2Factor[which(
  param2Factor$lhs %in% factorNames &
    param2Factor$rhs %in% vars),
  c("lhs","std.all")]

loadings3Factor <- param3Factor[which(
  param3Factor$lhs %in% factorNames &
    param3Factor$rhs %in% vars),
  c("lhs","std.all")]

loadings4Factor <- param4Factor[which(
  param4Factor$lhs %in% factorNames &
    param4Factor$rhs %in% vars),
  c("lhs","std.all")]

loadings5Factor <- param5Factor[which(
  param5Factor$lhs %in% factorNames &
    param5Factor$rhs %in% vars),
  c("lhs","std.all")]

loadings6Factor <- param6Factor[which(
  param6Factor$lhs %in% factorNames &
    param6Factor$rhs %in% vars),
  c("lhs","std.all")]

loadings7Factor <- param7Factor[which(
  param7Factor$lhs %in% factorNames &
    param7Factor$rhs %in% vars),
  c("lhs","std.all")]

loadings8Factor <- param8Factor[which(
  param8Factor$lhs %in% factorNames &
    param8Factor$rhs %in% vars),
  c("lhs","std.all")]

loadings9Factor <- param9Factor[which(
  param9Factor$lhs %in% factorNames &
    param9Factor$rhs %in% vars),
  c("lhs","std.all")]

eigenData <- data.frame(
  Factor = 1:9,
  Eigenvalue = NA)

eigenData$Eigenvalue[which(
  eigenData$Factor == 1)] <- sum(loadings1Factor$std.all^2)

eigenData$Eigenvalue[which(eigenData$Factor == 2)] <- 
  loadings2Factor %>% 
  group_by(lhs) %>% 
  summarise(
    Eigenvalue = sum(std.all^2),
    .groups = "drop") %>% 
  summarise(min(Eigenvalue))

eigenData$Eigenvalue[which(eigenData$Factor == 3)] <- 
  loadings3Factor %>% 
  group_by(lhs) %>% 
  summarise(
    Eigenvalue = sum(std.all^2),
    .groups = "drop") %>% 
  summarise(min(Eigenvalue))

eigenData$Eigenvalue[which(eigenData$Factor == 4)] <- 
  loadings4Factor %>% 
  group_by(lhs) %>% 
  summarise(
    Eigenvalue = sum(std.all^2),
    .groups = "drop") %>% 
  summarise(min(Eigenvalue))

eigenData$Eigenvalue[which(eigenData$Factor == 5)] <- 
  loadings5Factor %>% 
  group_by(lhs) %>% 
  summarise(
    Eigenvalue = sum(std.all^2),
    .groups = "drop") %>% 
  summarise(min(Eigenvalue))

eigenData$Eigenvalue[which(eigenData$Factor == 6)] <- 
  loadings6Factor %>% 
  group_by(lhs) %>% 
  summarise(
    Eigenvalue = sum(std.all^2),
    .groups = "drop") %>% 
  summarise(min(Eigenvalue))

eigenData$Eigenvalue[which(eigenData$Factor == 7)] <- 
  loadings7Factor %>% 
  group_by(lhs) %>% 
  summarise(
    Eigenvalue = sum(std.all^2),
    .groups = "drop") %>% 
  summarise(min(Eigenvalue))

eigenData$Eigenvalue[which(eigenData$Factor == 8)] <- 
  loadings8Factor %>% 
  group_by(lhs) %>% 
  summarise(
    Eigenvalue = sum(std.all^2),
    .groups = "drop") %>% 
  summarise(min(Eigenvalue))

eigenData$Eigenvalue[which(eigenData$Factor == 9)] <- 
  loadings9Factor %>% 
  group_by(lhs) %>% 
  summarise(
    Eigenvalue = sum(std.all^2),
    .groups = "drop") %>% 
  summarise(min(Eigenvalue))

plot(
  eigenData$Factor,
  eigenData$Eigenvalue,
  xlab = "Factor",
  ylab = "Eigevalue")
Scree Plot With Orthogonal Rotation in Exploratory Factor Analysis: lavaan.
Figure 14.38: Scree Plot With Orthogonal Rotation in Exploratory Factor Analysis: lavaan.

A biplot is in Figure 14.39.

Code
biplot(efa2factorOrthogonal)
abline(h = 0, v = 0, lty = 2)
Biplot Using Orthogonal Rotation in Exploratory Factor Analysis.
Figure 14.39: Biplot Using Orthogonal Rotation in Exploratory Factor Analysis.

A factor plot is in Figure 14.40.

Code
factor.plot(efa3factorOrthogonal, cut = 0.5)
Factor Plot With Orthogonal Rotation in Exploratory Factor Analysis.
Figure 14.40: Factor Plot With Orthogonal Rotation in Exploratory Factor Analysis.

A factor diagram is in Figure 14.41.

Code
fa.diagram(efa3factorOrthogonal, digits = 2)
Factor Diagram With Orthogonal Rotation in Exploratory Factor Analysis.
Figure 14.41: Factor Diagram With Orthogonal Rotation in Exploratory Factor Analysis.

A pairs panel plot is in Figure 14.42.

Code
pairs.panels(fa3Orthogonal)
Pairs Panel Plot With Orthogonal Rotation in Exploratory Factor Analysis.
Figure 14.42: Pairs Panel Plot With Orthogonal Rotation in Exploratory Factor Analysis.

A correlation plot is in Figure 14.43.

Code
corrplot(cor(
  fa3Orthogonal,
  use = "pairwise.complete.obs"))
Correlation Plot With Orthogonal Rotation in Exploratory Factor Analysis.
Figure 14.43: Correlation Plot With Orthogonal Rotation in Exploratory Factor Analysis.
14.4.1.6.2 Oblique (Oblimin) rotation

A biplot is in Figure 14.44.

Code
biplot(efa2factorOblique)
Biplot Using Oblique Rotation in Exploratory Factor Analysis.
Figure 14.44: Biplot Using Oblique Rotation in Exploratory Factor Analysis.

A factor plot is in Figure 14.45.

Code
factor.plot(efa3factorOblique, cut = 0.5)
Factor Plot With Oblique Rotation in Exploratory Factor Analysis.
Figure 14.45: Factor Plot With Oblique Rotation in Exploratory Factor Analysis.

A factor diagram is in Figure 14.46.

Code
fa.diagram(efa3factorOblique, digits = 2)
Factor Diagram With Oblique Rotation in Exploratory Factor Analysis.
Figure 14.46: Factor Diagram With Oblique Rotation in Exploratory Factor Analysis.

A pairs panel plot is in Figure 14.47.

Code
pairs.panels(fa3Oblique)
Pairs Panel Plot With Oblique Rotation in Exploratory Factor Analysis.
Figure 14.47: Pairs Panel Plot With Oblique Rotation in Exploratory Factor Analysis.

A correlation plot is in Figure 14.48.

Code
corrplot(cor(
  fa3Oblique,
  use = "pairwise.complete.obs"))
Correlation Plot With Oblique Rotation in Exploratory Factor Analysis.
Figure 14.48: Correlation Plot With Oblique Rotation in Exploratory Factor Analysis.

14.4.2 Confirmatory Factor Analysis (CFA)

I introduced confirmatory factor analysis (CFA) models in Section 7.3.3 in the chapter on structural equation models.

The confirmatory factor analysis (CFA) models were fit in the lavaan package (Rosseel et al., 2022). The examples were adapted from the lavaan documentation: https://lavaan.ugent.be/tutorial/cfa.html (archived at https://perma.cc/GKY3-9YE4)

14.4.2.1 Specify the model

Code
cfaModel_syntax <- '
 #Factor loadings
 visual  =~ x1 + x2 + x3
 textual =~ x4 + x5 + x6
 speed   =~ x7 + x8 + x9
'

cfaModel_fullSyntax <- '
 #Factor loadings (free the factor loading of the first indicator)
 visual  =~ NA*x1 + x2 + x3
 textual =~ NA*x4 + x5 + x6
 speed   =~ NA*x7 + x8 + x9
 
 #Fix latent means to zero
 visual ~ 0
 textual ~ 0
 speed ~ 0
 
 #Fix latent variances to one
 visual ~~ 1*visual
 textual ~~ 1*textual
 speed ~~ 1*speed
 
 #Estimate covariances among latent variables
 visual ~~ textual
 visual ~~ speed
 textual ~~ speed
 
 #Estimate residual variances of manifest variables
 x1 ~~ x1
 x2 ~~ x2
 x3 ~~ x3
 x4 ~~ x4
 x5 ~~ x5
 x6 ~~ x6
 x7 ~~ x7
 x8 ~~ x8
 x9 ~~ x9
 
 #Free intercepts of manifest variables
 x1 ~ int1*1
 x2 ~ int2*1
 x3 ~ int3*1
 x4 ~ int4*1
 x5 ~ int5*1
 x6 ~ int6*1
 x7 ~ int7*1
 x8 ~ int8*1
 x9 ~ int9*1
'
14.4.2.1.1 Model syntax in table form:
Code
lavaanify(cfaModel_syntax)
Code
lavaanify(cfaModel_fullSyntax)

14.4.2.2 Fit the model

Code
cfaModelFit <- cfa(
  cfaModel_syntax,
  data = HolzingerSwineford1939,
  missing = "ML",
  estimator = "MLR",
  std.lv = TRUE)

cfaModelFit_full <- lavaan(
  cfaModel_fullSyntax,
  data = HolzingerSwineford1939,
  missing = "ML",
  estimator = "MLR")

14.4.2.3 Display summary output

Code
summary(
  cfaModelFit,
  fit.measures = TRUE,
  standardized = TRUE,
  rsquare = TRUE)
lavaan 0.6-21 ended normally after 40 iterations

  Estimator                                         ML
  Optimization method                           NLMINB
  Number of model parameters                        30

  Number of observations                           301
  Number of missing patterns                        75

Model Test User Model:
                                              Standard      Scaled
  Test Statistic                                65.643      63.641
  Degrees of freedom                                24          24
  P-value (Chi-square)                           0.000       0.000
  Scaling correction factor                                  1.031
    Yuan-Bentler correction (Mplus variant)                       

Model Test Baseline Model:

  Test statistic                               693.305     646.574
  Degrees of freedom                                36          36
  P-value                                        0.000       0.000
  Scaling correction factor                                  1.072

User Model versus Baseline Model:

  Comparative Fit Index (CFI)                    0.937       0.935
  Tucker-Lewis Index (TLI)                       0.905       0.903
                                                                  
  Robust Comparative Fit Index (CFI)                         0.930
  Robust Tucker-Lewis Index (TLI)                            0.894

Loglikelihood and Information Criteria:

  Loglikelihood user model (H0)              -3213.600   -3213.600
  Scaling correction factor                                  1.090
      for the MLR correction                                      
  Loglikelihood unrestricted model (H1)      -3180.778   -3180.778
  Scaling correction factor                                  1.064
      for the MLR correction                                      
                                                                  
  Akaike (AIC)                                6487.199    6487.199
  Bayesian (BIC)                              6598.413    6598.413
  Sample-size adjusted Bayesian (SABIC)       6503.270    6503.270

Root Mean Square Error of Approximation:

  RMSEA                                          0.076       0.074
  90 Percent confidence interval - lower         0.054       0.053
  90 Percent confidence interval - upper         0.098       0.096
  P-value H_0: RMSEA <= 0.050                    0.026       0.034
  P-value H_0: RMSEA >= 0.080                    0.403       0.349
                                                                  
  Robust RMSEA                                               0.092
  90 Percent confidence interval - lower                     0.064
  90 Percent confidence interval - upper                     0.120
  P-value H_0: Robust RMSEA <= 0.050                         0.008
  P-value H_0: Robust RMSEA >= 0.080                         0.780

Standardized Root Mean Square Residual:

  SRMR                                           0.061       0.061

Parameter Estimates:

  Standard errors                             Sandwich
  Information bread                           Observed
  Observed information based on                Hessian

Latent Variables:
                   Estimate  Std.Err  z-value  P(>|z|)   Std.lv  Std.all
  visual =~                                                             
    x1                0.885    0.108    8.183    0.000    0.885    0.762
    x2                0.521    0.086    6.037    0.000    0.521    0.451
    x3                0.712    0.088    8.065    0.000    0.712    0.632
  textual =~                                                            
    x4                0.989    0.067   14.690    0.000    0.989    0.842
    x5                1.121    0.066   16.890    0.000    1.121    0.866
    x6                0.849    0.065   12.991    0.000    0.849    0.818
  speed =~                                                              
    x7                0.596    0.084    7.092    0.000    0.596    0.557
    x8                0.742    0.096    7.703    0.000    0.742    0.733
    x9                0.686    0.099    6.939    0.000    0.686    0.673

Covariances:
                   Estimate  Std.Err  z-value  P(>|z|)   Std.lv  Std.all
  visual ~~                                                             
    textual           0.430    0.080    5.386    0.000    0.430    0.430
    speed             0.465    0.110    4.213    0.000    0.465    0.465
  textual ~~                                                            
    speed             0.314    0.084    3.746    0.000    0.314    0.314

Intercepts:
                   Estimate  Std.Err  z-value  P(>|z|)   Std.lv  Std.all
   .x1                4.977    0.071   69.850    0.000    4.977    4.289
   .x2                6.050    0.070   85.953    0.000    6.050    5.235
   .x3                2.227    0.069   32.218    0.000    2.227    1.976
   .x4                3.097    0.071   43.828    0.000    3.097    2.634
   .x5                4.344    0.077   56.058    0.000    4.344    3.355
   .x6                2.187    0.064   34.391    0.000    2.187    2.108
   .x7                4.180    0.065   64.446    0.000    4.180    3.904
   .x8                5.517    0.062   89.668    0.000    5.517    5.451
   .x9                5.405    0.063   86.063    0.000    5.405    5.298

Variances:
                   Estimate  Std.Err  z-value  P(>|z|)   Std.lv  Std.all
   .x1                0.564    0.169    3.345    0.001    0.564    0.419
   .x2                1.064    0.119    8.935    0.000    1.064    0.797
   .x3                0.763    0.118    6.454    0.000    0.763    0.601
   .x4                0.403    0.063    6.363    0.000    0.403    0.292
   .x5                0.420    0.074    5.664    0.000    0.420    0.251
   .x6                0.356    0.056    6.415    0.000    0.356    0.331
   .x7                0.790    0.093    8.512    0.000    0.790    0.690
   .x8                0.474    0.128    3.693    0.000    0.474    0.463
   .x9                0.570    0.122    4.660    0.000    0.570    0.548
    visual            1.000                               1.000    1.000
    textual           1.000                               1.000    1.000
    speed             1.000                               1.000    1.000

R-Square:
                   Estimate
    x1                0.581
    x2                0.203
    x3                0.399
    x4                0.708
    x5                0.749
    x6                0.669
    x7                0.310
    x8                0.537
    x9                0.452
Code
summary(
  cfaModelFit_full,
  fit.measures = TRUE,
  standardized = TRUE,
  rsquare = TRUE)
lavaan 0.6-21 ended normally after 40 iterations

  Estimator                                         ML
  Optimization method                           NLMINB
  Number of model parameters                        30

  Number of observations                           301
  Number of missing patterns                        75

Model Test User Model:
                                              Standard      Scaled
  Test Statistic                                65.643      63.641
  Degrees of freedom                                24          24
  P-value (Chi-square)                           0.000       0.000
  Scaling correction factor                                  1.031
    Yuan-Bentler correction (Mplus variant)                       

Model Test Baseline Model:

  Test statistic                               693.305     646.574
  Degrees of freedom                                36          36
  P-value                                        0.000       0.000
  Scaling correction factor                                  1.072

User Model versus Baseline Model:

  Comparative Fit Index (CFI)                    0.937       0.935
  Tucker-Lewis Index (TLI)                       0.905       0.903
                                                                  
  Robust Comparative Fit Index (CFI)                         0.930
  Robust Tucker-Lewis Index (TLI)                            0.894

Loglikelihood and Information Criteria:

  Loglikelihood user model (H0)              -3213.600   -3213.600
  Scaling correction factor                                  1.090
      for the MLR correction                                      
  Loglikelihood unrestricted model (H1)      -3180.778   -3180.778
  Scaling correction factor                                  1.064
      for the MLR correction                                      
                                                                  
  Akaike (AIC)                                6487.199    6487.199
  Bayesian (BIC)                              6598.413    6598.413
  Sample-size adjusted Bayesian (SABIC)       6503.270    6503.270

Root Mean Square Error of Approximation:

  RMSEA                                          0.076       0.074
  90 Percent confidence interval - lower         0.054       0.053
  90 Percent confidence interval - upper         0.098       0.096
  P-value H_0: RMSEA <= 0.050                    0.026       0.034
  P-value H_0: RMSEA >= 0.080                    0.403       0.349
                                                                  
  Robust RMSEA                                               0.092
  90 Percent confidence interval - lower                     0.064
  90 Percent confidence interval - upper                     0.120
  P-value H_0: Robust RMSEA <= 0.050                         0.008
  P-value H_0: Robust RMSEA >= 0.080                         0.780

Standardized Root Mean Square Residual:

  SRMR                                           0.061       0.061

Parameter Estimates:

  Standard errors                             Sandwich
  Information bread                           Observed
  Observed information based on                Hessian

Latent Variables:
                   Estimate  Std.Err  z-value  P(>|z|)   Std.lv  Std.all
  visual =~                                                             
    x1                0.885    0.108    8.183    0.000    0.885    0.762
    x2                0.521    0.086    6.037    0.000    0.521    0.451
    x3                0.712    0.088    8.065    0.000    0.712    0.632
  textual =~                                                            
    x4                0.989    0.067   14.690    0.000    0.989    0.842
    x5                1.121    0.066   16.890    0.000    1.121    0.866
    x6                0.849    0.065   12.991    0.000    0.849    0.818
  speed =~                                                              
    x7                0.596    0.084    7.092    0.000    0.596    0.557
    x8                0.742    0.096    7.703    0.000    0.742    0.733
    x9                0.686    0.099    6.939    0.000    0.686    0.673

Covariances:
                   Estimate  Std.Err  z-value  P(>|z|)   Std.lv  Std.all
  visual ~~                                                             
    textual           0.430    0.080    5.386    0.000    0.430    0.430
    speed             0.465    0.110    4.213    0.000    0.465    0.465
  textual ~~                                                            
    speed             0.314    0.084    3.746    0.000    0.314    0.314

Intercepts:
                   Estimate  Std.Err  z-value  P(>|z|)   Std.lv  Std.all
    visual            0.000                               0.000    0.000
    textual           0.000                               0.000    0.000
    speed             0.000                               0.000    0.000
   .x1      (int1)    4.977    0.071   69.850    0.000    4.977    4.289
   .x2      (int2)    6.050    0.070   85.953    0.000    6.050    5.235
   .x3      (int3)    2.227    0.069   32.218    0.000    2.227    1.976
   .x4      (int4)    3.097    0.071   43.828    0.000    3.097    2.634
   .x5      (int5)    4.344    0.077   56.058    0.000    4.344    3.355
   .x6      (int6)    2.187    0.064   34.391    0.000    2.187    2.108
   .x7      (int7)    4.180    0.065   64.446    0.000    4.180    3.904
   .x8      (int8)    5.517    0.062   89.668    0.000    5.517    5.451
   .x9      (int9)    5.405    0.063   86.063    0.000    5.405    5.298

Variances:
                   Estimate  Std.Err  z-value  P(>|z|)   Std.lv  Std.all
    visual            1.000                               1.000    1.000
    textual           1.000                               1.000    1.000
    speed             1.000                               1.000    1.000
   .x1                0.564    0.169    3.345    0.001    0.564    0.419
   .x2                1.064    0.119    8.935    0.000    1.064    0.797
   .x3                0.763    0.118    6.454    0.000    0.763    0.601
   .x4                0.403    0.063    6.363    0.000    0.403    0.292
   .x5                0.420    0.074    5.664    0.000    0.420    0.251
   .x6                0.356    0.056    6.415    0.000    0.356    0.331
   .x7                0.790    0.093    8.512    0.000    0.790    0.690
   .x8                0.474    0.128    3.693    0.000    0.474    0.463
   .x9                0.570    0.122    4.660    0.000    0.570    0.548

R-Square:
                   Estimate
    x1                0.581
    x2                0.203
    x3                0.399
    x4                0.708
    x5                0.749
    x6                0.669
    x7                0.310
    x8                0.537
    x9                0.452

14.4.2.4 Estimates of model fit

Code
fitMeasures(
  cfaModelFit,
  fit.measures = c(
    "chisq", "df", "pvalue",
    "chisq.scaled", "df.scaled", "pvalue.scaled",
    "chisq.scaling.factor",
    "baseline.chisq","baseline.df","baseline.pvalue",
    "rmsea", "cfi", "tli", "srmr",
    "rmsea.robust", "cfi.robust", "tli.robust"))
               chisq                   df               pvalue 
              65.643               24.000                0.000 
        chisq.scaled            df.scaled        pvalue.scaled 
              63.641               24.000                0.000 
chisq.scaling.factor       baseline.chisq          baseline.df 
               1.031              693.305               36.000 
     baseline.pvalue                rmsea                  cfi 
               0.000                0.076                0.937 
                 tli                 srmr         rmsea.robust 
               0.905                0.061                0.092 
          cfi.robust           tli.robust 
               0.930                0.894 

14.4.2.5 Residuals

Code
residuals(cfaModelFit, type = "cor")
$type
[1] "cor.bollen"

$cov
       x1     x2     x3     x4     x5     x6     x7     x8     x9
x1  0.000                                                        
x2 -0.020  0.000                                                 
x3 -0.019  0.053  0.000                                          
x4  0.077 -0.035 -0.083  0.000                                   
x5  0.015 -0.006 -0.119  0.004  0.000                            
x6  0.044  0.038 -0.002 -0.005  0.002  0.000                     
x7 -0.178 -0.215 -0.073  0.005 -0.061 -0.032  0.000              
x8 -0.017 -0.053 -0.013 -0.088 -0.018 -0.008  0.062  0.000       
x9  0.103  0.067  0.192  0.003  0.084  0.043 -0.031 -0.044  0.000

$mean
    x1     x2     x3     x4     x5     x6     x7     x8     x9 
 0.001 -0.003 -0.002 -0.004 -0.003  0.006  0.000  0.002  0.000 

14.4.2.6 Modification indices

Modification indices are generated using the syntax below.

Code
modificationindices(cfaModelFit, sort. = TRUE)
Figure 14.49

14.4.2.7 Factor scores

Code
cfaFactorScores <- lavPredict(cfaModelFit)
14.4.2.7.1 Compare CFA factor scores to EFA factor scores

As would be expected, the factor scores from the CFA model are highly correlated with the factor scores from the EFA model.

Code
cor.test(
  x = cfaFactorScores[,"visual"],
  y = fa3Orthogonal[,"ML3"])

    Pearson's product-moment correlation

data:  cfaFactorScores[, "visual"] and fa3Orthogonal[, "ML3"]
t = 15.64, df = 69, p-value < 2.2e-16
alternative hypothesis: true correlation is not equal to 0
95 percent confidence interval:
 0.8185187 0.9257296
sample estimates:
      cor 
0.8831693 
Code
cor.test(
  x = cfaFactorScores[,"textual"],
  y = fa3Orthogonal[,"ML1"])

    Pearson's product-moment correlation

data:  cfaFactorScores[, "textual"] and fa3Orthogonal[, "ML1"]
t = 49.444, df = 69, p-value < 2.2e-16
alternative hypothesis: true correlation is not equal to 0
95 percent confidence interval:
 0.9778619 0.9913860
sample estimates:
      cor 
0.9861797 
Code
cor.test(
  x = cfaFactorScores[,"speed"],
  y = fa3Orthogonal[,"ML2"])

    Pearson's product-moment correlation

data:  cfaFactorScores[, "speed"] and fa3Orthogonal[, "ML2"]
t = 17.78, df = 69, p-value < 2.2e-16
alternative hypothesis: true correlation is not equal to 0
95 percent confidence interval:
 0.8530018 0.9405081
sample estimates:
      cor 
0.9060032 

14.4.2.8 Internal Consistency Reliability

Internal consistency reliability of items composing the latent factors, as quantified by omega (\(\omega\)), average variance extracted (AVE), and maximal reliability, was estimated using the semTools package (Jorgensen et al., 2021). Coefficient omega (\(\omega\)) is an example of composite reliability.

Code
compRelSEM(cfaModelFit)
$visual

Composite `visual` is composed of observed variables:
    x1, x2, x3
True-score variance is represented by common factor(s):
    visual
Total variance of composite `visual` determined from the unrestricted model.
The proportion attributable to "true" scores is its model-based estimate of reliability ("omega"):

[1] 0.652

$textual

Composite `textual` is composed of observed variables:
    x4, x5, x6
True-score variance is represented by common factor(s):
    textual
Total variance of composite `textual` determined from the unrestricted model.
The proportion attributable to "true" scores is its model-based estimate of reliability ("omega"):

[1] 0.878

$speed

Composite `speed` is composed of observed variables:
    x7, x8, x9
True-score variance is represented by common factor(s):
    speed
Total variance of composite `speed` determined from the unrestricted model.
The proportion attributable to "true" scores is its model-based estimate of reliability ("omega"):

[1] 0.695
Code
AVE(cfaModelFit)
 visual textual   speed 
  0.397   0.713   0.430 
Code
maximalRelia(cfaModelFit)
[1] 0.9258099
attr(,"weight")
        x1         x2         x3         x4         x5         x6         x7 
 0.7875470  0.4972375  1.5304688  1.7562404  2.3451802  1.2503241  0.9359776 
        x8         x9 
 0.8565361 -0.9595118 

14.4.2.9 Path diagram

A path diagram of the model generated using the semPlot package (Epskamp, 2022) is in Figure 14.50.

Code
semPaths(
  cfaModelFit,
  what = "std",
  layout = "tree2",
  edge.label.cex = 1.3)
Confirmatory Factor Analysis Model Diagram.
Figure 14.50: Confirmatory Factor Analysis Model Diagram.

14.4.2.10 Class Examples

Code
standardDeviations <- rep(1, 6)
sampleSize <- 300
14.4.2.10.1 Model 1
14.4.2.10.1.1 Create the covariance matrix
Code
correlationMatrixModel1 <- matrix(.6, nrow = 6, ncol = 6)
diag(correlationMatrixModel1) <- 1
rownames(correlationMatrixModel1) <- colnames(correlationMatrixModel1) <- 
  paste("V", 1:6, sep = "")

covarianceMatrixModel1 <- psych::cor2cov(
  correlationMatrixModel1,
  sigma = standardDeviations)
covarianceMatrixModel1
    V1  V2  V3  V4  V5  V6
V1 1.0 0.6 0.6 0.6 0.6 0.6
V2 0.6 1.0 0.6 0.6 0.6 0.6
V3 0.6 0.6 1.0 0.6 0.6 0.6
V4 0.6 0.6 0.6 1.0 0.6 0.6
V5 0.6 0.6 0.6 0.6 1.0 0.6
V6 0.6 0.6 0.6 0.6 0.6 1.0
14.4.2.10.1.2 Specify the model
Code
cfaModel1 <- '
 #Factor loadings
 f1 =~ V1 + V2 + V3 + V4 + V5 + V6
'
14.4.2.10.1.3 Model syntax in table form:
Code
lavaanify(cfaModel1)
14.4.2.10.1.4 Fit the model
Code
cfaModel1Fit <- cfa(
  cfaModel1,
  sample.cov = covarianceMatrixModel1,
  sample.nobs = sampleSize,
  estimator = "ML",
  std.lv = TRUE)
14.4.2.10.1.5 Display summary output
Code
summary(
  cfaModel1Fit,
  fit.measures = TRUE,
  standardized = TRUE,
  rsquare = TRUE)
lavaan 0.6-21 ended normally after 10 iterations

  Estimator                                         ML
  Optimization method                           NLMINB
  Number of model parameters                        12

  Number of observations                           300

Model Test User Model:
                                                      
  Test statistic                                 0.000
  Degrees of freedom                                 9
  P-value (Chi-square)                           1.000

Model Test Baseline Model:

  Test statistic                               958.548
  Degrees of freedom                                15
  P-value                                        0.000

User Model versus Baseline Model:

  Comparative Fit Index (CFI)                    1.000
  Tucker-Lewis Index (TLI)                       1.016

Loglikelihood and Information Criteria:

  Loglikelihood user model (H0)              -2071.810
  Loglikelihood unrestricted model (H1)      -2071.810
                                                      
  Akaike (AIC)                                4167.621
  Bayesian (BIC)                              4212.066
  Sample-size adjusted Bayesian (SABIC)       4174.009

Root Mean Square Error of Approximation:

  RMSEA                                          0.000
  90 Percent confidence interval - lower         0.000
  90 Percent confidence interval - upper         0.000
  P-value H_0: RMSEA <= 0.050                    1.000
  P-value H_0: RMSEA >= 0.080                    0.000

Standardized Root Mean Square Residual:

  SRMR                                           0.000

Parameter Estimates:

  Standard errors                             Standard
  Information                                 Expected
  Information saturated (h1) model          Structured

Latent Variables:
                   Estimate  Std.Err  z-value  P(>|z|)   Std.lv  Std.all
  f1 =~                                                                 
    V1                0.773    0.050   15.390    0.000    0.773    0.775
    V2                0.773    0.050   15.390    0.000    0.773    0.775
    V3                0.773    0.050   15.390    0.000    0.773    0.775
    V4                0.773    0.050   15.390    0.000    0.773    0.775
    V5                0.773    0.050   15.390    0.000    0.773    0.775
    V6                0.773    0.050   15.390    0.000    0.773    0.775

Variances:
                   Estimate  Std.Err  z-value  P(>|z|)   Std.lv  Std.all
   .V1                0.399    0.039   10.171    0.000    0.399    0.400
   .V2                0.399    0.039   10.171    0.000    0.399    0.400
   .V3                0.399    0.039   10.171    0.000    0.399    0.400
   .V4                0.399    0.039   10.171    0.000    0.399    0.400
   .V5                0.399    0.039   10.171    0.000    0.399    0.400
   .V6                0.399    0.039   10.171    0.000    0.399    0.400
    f1                1.000                               1.000    1.000

R-Square:
                   Estimate
    V1                0.600
    V2                0.600
    V3                0.600
    V4                0.600
    V5                0.600
    V6                0.600
14.4.2.10.1.6 Estimates of model fit
Code
fitMeasures(
  cfaModel1Fit,
  fit.measures = c(
    "chisq", "df", "pvalue",
    "rmsea", "cfi", "tli", "srmr"))
 chisq     df pvalue  rmsea    cfi    tli   srmr 
 0.000  9.000  1.000  0.000  1.000  1.016  0.000 
14.4.2.10.1.7 Residuals
Code
residuals(cfaModel1Fit, type = "cor")
$type
[1] "cor.bollen"

$cov
   V1 V2 V3 V4 V5 V6
V1  0               
V2  0  0            
V3  0  0  0         
V4  0  0  0  0      
V5  0  0  0  0  0   
V6  0  0  0  0  0  0
14.4.2.10.1.8 Modification indices
Code
modificationindices(cfaModel1Fit, sort. = TRUE)
14.4.2.10.1.9 Internal Consistency Reliability

Internal consistency reliability of items composing the latent factors, as quantified by omega (\(\omega\)), average variance extracted (AVE), and maximal reliability, was estimated using the semTools package (Jorgensen et al., 2021).

Code
compRelSEM(cfaModel1Fit)
$f1

Composite `f1` is composed of observed variables:
    V1, V2, V3, V4, V5, V6
True-score variance is represented by common factor(s):
    f1
Total variance of composite `f1` determined from the unrestricted model.
The proportion attributable to "true" scores is its model-based estimate of reliability ("omega"):

[1] 0.9
Code
AVE(cfaModel1Fit)
 f1 
0.6 
Code
maximalRelia(cfaModel1Fit)
[1] 0.9
attr(,"weight")
V1 V2 V3 V4 V5 V6 
 1  1  1  1  1  1 
14.4.2.10.1.10 Path diagram

A path diagram of the model generated using the semPlot package (Epskamp, 2022) is in Figure 14.51.

Code
semPaths(
  cfaModel1Fit,
  what = "std",
  layout = "tree2",
  edge.label.cex = 1.5)
Confirmatory Factor Analysis Model 1 Diagram.
Figure 14.51: Confirmatory Factor Analysis Model 1 Diagram.
14.4.2.10.2 Model 2
14.4.2.10.2.1 Create the covariance matrix
Code
correlationMatrixModel2 <- matrix(0, nrow = 6, ncol = 6)
diag(correlationMatrixModel2) <- 1
rownames(correlationMatrixModel2) <- colnames(correlationMatrixModel2) <- 
  paste("V", 1:6, sep = "")

covarianceMatrixModel2 <- psych::cor2cov(
  correlationMatrixModel2,
  sigma = standardDeviations)
covarianceMatrixModel2
   V1 V2 V3 V4 V5 V6
V1  1  0  0  0  0  0
V2  0  1  0  0  0  0
V3  0  0  1  0  0  0
V4  0  0  0  1  0  0
V5  0  0  0  0  1  0
V6  0  0  0  0  0  1
14.4.2.10.2.2 Specify the model
Code
cfaModel2 <- '
 #Factor loadings
 f1 =~ V1 + V2 + V3 + V4 + V5 + V6
'
14.4.2.10.2.3 Model syntax in table form:
Code
lavaanify(cfaModel2)
14.4.2.10.2.4 Fit the model
Code
cfaModel2Fit <- cfa(
  cfaModel2,
  sample.cov = covarianceMatrixModel2,
  sample.nobs = sampleSize,
  estimator = "ML",
  std.lv = TRUE)
14.4.2.10.2.5 Display summary output
Code
summary(
  cfaModel2Fit,
  fit.measures = TRUE,
  standardized = TRUE,
  rsquare = TRUE)
lavaan 0.6-21 ended normally after 23 iterations

  Estimator                                         ML
  Optimization method                           NLMINB
  Number of model parameters                        12

  Number of observations                           300

Model Test User Model:
                                                      
  Test statistic                                 0.000
  Degrees of freedom                                 9
  P-value (Chi-square)                           1.000

Model Test Baseline Model:

  Test statistic                                 0.000
  Degrees of freedom                                15
  P-value                                        1.000

User Model versus Baseline Model:

  Comparative Fit Index (CFI)                    1.000
  Tucker-Lewis Index (TLI)                       0.000

Loglikelihood and Information Criteria:

  Loglikelihood user model (H0)              -2551.084
  Loglikelihood unrestricted model (H1)      -2551.084
                                                      
  Akaike (AIC)                                5126.169
  Bayesian (BIC)                              5170.614
  Sample-size adjusted Bayesian (SABIC)       5132.557

Root Mean Square Error of Approximation:

  RMSEA                                          0.000
  90 Percent confidence interval - lower         0.000
  90 Percent confidence interval - upper         0.000
  P-value H_0: RMSEA <= 0.050                    1.000
  P-value H_0: RMSEA >= 0.080                    0.000

Standardized Root Mean Square Residual:

  SRMR                                           0.000

Parameter Estimates:

  Standard errors                             Standard
  Information                                 Expected
  Information saturated (h1) model          Structured

Latent Variables:
                   Estimate  Std.Err  z-value  P(>|z|)   Std.lv  Std.all
  f1 =~                                                                 
    V1                0.000  227.294    0.000    1.000    0.000    0.000
    V2                0.000  227.294    0.000    1.000    0.000    0.000
    V3                0.000  227.294    0.000    1.000    0.000    0.000
    V4                0.000  227.294    0.000    1.000    0.000    0.000
    V5                0.000  227.294    0.000    1.000    0.000    0.000
    V6                0.000  227.294    0.000    1.000    0.000    0.000

Variances:
                   Estimate  Std.Err  z-value  P(>|z|)   Std.lv  Std.all
   .V1                0.997    0.098   10.171    0.000    0.997    1.000
   .V2                0.997    0.098   10.171    0.000    0.997    1.000
   .V3                0.997    0.098   10.171    0.000    0.997    1.000
   .V4                0.997    0.098   10.171    0.000    0.997    1.000
   .V5                0.997    0.098   10.171    0.000    0.997    1.000
   .V6                0.997    0.098   10.171    0.000    0.997    1.000
    f1                1.000                               1.000    1.000

R-Square:
                   Estimate
    V1                0.000
    V2                0.000
    V3                0.000
    V4                0.000
    V5                0.000
    V6                0.000
14.4.2.10.2.6 Estimates of model fit
Code
fitMeasures(
  cfaModel2Fit,
  fit.measures = c(
    "chisq", "df", "pvalue",
    "rmsea", "cfi", "tli", "srmr"))
 chisq     df pvalue  rmsea    cfi    tli   srmr 
     0      9      1      0      1      0      0 
14.4.2.10.2.7 Residuals
Code
residuals(cfaModel2Fit, type = "cor")
$type
[1] "cor.bollen"

$cov
   V1 V2 V3 V4 V5 V6
V1  0               
V2  0  0            
V3  0  0  0         
V4  0  0  0  0      
V5  0  0  0  0  0   
V6  0  0  0  0  0  0
14.4.2.10.2.8 Modification indices
Code
modificationindices(cfaModel1Fit, sort. = TRUE)
14.4.2.10.2.9 Internal Consistency Reliability

Internal consistency reliability of items composing the latent factors, as quantified by omega (\(\omega\)), average variance extracted (AVE), and maximal reliability, was estimated using the semTools package (Jorgensen et al., 2021).

Code
compRelSEM(cfaModel2Fit)
$f1

Composite `f1` is composed of observed variables:
    V1, V2, V3, V4, V5, V6
True-score variance is represented by common factor(s):
    f1
Total variance of composite `f1` determined from the unrestricted model.
The proportion attributable to "true" scores is its model-based estimate of reliability ("omega"):

[1] 0
Code
AVE(cfaModel2Fit)
f1 
 0 
Code
maximalRelia(cfaModel2Fit)
[1] 8.681367e-08
attr(,"weight")
V1 V2 V3 V4 V5 V6 
 1  1  1  1  1  1 
14.4.2.10.2.10 Path diagram

A path diagram of the model generated using the semPlot package (Epskamp, 2022) is in Figure 14.52.

Code
semPaths(
  cfaModel2Fit,
  what = "std",
  layout = "tree2",
  edge.label.cex = 1.5)
Confirmatory Factor Analysis Model 2 Diagram.
Figure 14.52: Confirmatory Factor Analysis Model 2 Diagram.
14.4.2.10.3 Model 3
14.4.2.10.3.1 Create the covariance matrix
Code
correlationMatrixModel3 <- matrix(c(
  1,.6,.6,0,0,0,
  .6,1,.6,0,0,0,
  0,0,1,0,0,0,
  0,0,0,1,.6,.6,
  0,0,0,.6,1,.6,
  0,0,0,.6,.6,1),
  nrow = 6,
  ncol = 6)
rownames(correlationMatrixModel3) <- colnames(correlationMatrixModel3) <- 
  paste("V", 1:6, sep = "")

covarianceMatrixModel3 <- psych::cor2cov(
  correlationMatrixModel3,
  sigma = standardDeviations)
covarianceMatrixModel3
    V1  V2 V3  V4  V5  V6
V1 1.0 0.6  0 0.0 0.0 0.0
V2 0.6 1.0  0 0.0 0.0 0.0
V3 0.6 0.6  1 0.0 0.0 0.0
V4 0.0 0.0  0 1.0 0.6 0.6
V5 0.0 0.0  0 0.6 1.0 0.6
V6 0.0 0.0  0 0.6 0.6 1.0
14.4.2.10.3.2 Specify the model
Code
cfaModel3A <- '
 #Factor loadings
 f1 =~ V1 + V2 + V3 + V4 + V5 + V6
'

cfaModel3B <- '
 #Factor loadings
 f1 =~ V1 + V2 + V3
 f2 =~ V4 + V5 + V6
'
14.4.2.10.3.3 Model syntax in table form:
Code
lavaanify(cfaModel3A)
Code
lavaanify(cfaModel3B)
14.4.2.10.3.4 Fit the model
Code
cfaModel3AFit <- cfa(
  cfaModel3A,
  sample.cov = covarianceMatrixModel3,
  sample.nobs = sampleSize,
  estimator = "ML",
  std.lv = TRUE)

cfaModel3BFit <- cfa(
  cfaModel3B,
  sample.cov = covarianceMatrixModel3,
  sample.nobs = sampleSize,
  estimator = "ML",
  std.lv = TRUE)
14.4.2.10.3.5 Display summary output
Code
summary(
  cfaModel3AFit,
  fit.measures = TRUE,
  standardized = TRUE,
  rsquare = TRUE)
lavaan 0.6-21 ended normally after 10 iterations

  Estimator                                         ML
  Optimization method                           NLMINB
  Number of model parameters                        12

  Number of observations                           300

Model Test User Model:
                                                      
  Test statistic                               313.237
  Degrees of freedom                                 9
  P-value (Chi-square)                           0.000

Model Test Baseline Model:

  Test statistic                               626.474
  Degrees of freedom                                15
  P-value                                        0.000

User Model versus Baseline Model:

  Comparative Fit Index (CFI)                    0.502
  Tucker-Lewis Index (TLI)                       0.171

Loglikelihood and Information Criteria:

  Loglikelihood user model (H0)              -2394.466
  Loglikelihood unrestricted model (H1)      -2237.847
                                                      
  Akaike (AIC)                                4812.931
  Bayesian (BIC)                              4857.377
  Sample-size adjusted Bayesian (SABIC)       4819.320

Root Mean Square Error of Approximation:

  RMSEA                                          0.336
  90 Percent confidence interval - lower         0.304
  90 Percent confidence interval - upper         0.368
  P-value H_0: RMSEA <= 0.050                    0.000
  P-value H_0: RMSEA >= 0.080                    1.000

Standardized Root Mean Square Residual:

  SRMR                                           0.227

Parameter Estimates:

  Standard errors                             Standard
  Information                                 Expected
  Information saturated (h1) model          Structured

Latent Variables:
                   Estimate  Std.Err  z-value  P(>|z|)   Std.lv  Std.all
  f1 =~                                                                 
    V1                0.773    0.055   14.142    0.000    0.773    0.775
    V2                0.773    0.055   14.142    0.000    0.773    0.775
    V3                0.773    0.055   14.142    0.000    0.773    0.775
    V4                0.000    0.064    0.000    1.000    0.000    0.000
    V5                0.000    0.064    0.000    1.000    0.000    0.000
    V6                0.000    0.064    0.000    1.000    0.000    0.000

Variances:
                   Estimate  Std.Err  z-value  P(>|z|)   Std.lv  Std.all
   .V1                0.399    0.051    7.746    0.000    0.399    0.400
   .V2                0.399    0.051    7.746    0.000    0.399    0.400
   .V3                0.399    0.051    7.746    0.000    0.399    0.400
   .V4                0.997    0.081   12.247    0.000    0.997    1.000
   .V5                0.997    0.081   12.247    0.000    0.997    1.000
   .V6                0.997    0.081   12.247    0.000    0.997    1.000
    f1                1.000                               1.000    1.000

R-Square:
                   Estimate
    V1                0.600
    V2                0.600
    V3                0.600
    V4                0.000
    V5                0.000
    V6                0.000
Code
summary(
  cfaModel3BFit,
  fit.measures = TRUE,
  standardized = TRUE,
  rsquare = TRUE)
lavaan 0.6-21 ended normally after 8 iterations

  Estimator                                         ML
  Optimization method                           NLMINB
  Number of model parameters                        13

  Number of observations                           300

Model Test User Model:
                                                      
  Test statistic                                 0.000
  Degrees of freedom                                 8
  P-value (Chi-square)                           1.000

Model Test Baseline Model:

  Test statistic                               626.474
  Degrees of freedom                                15
  P-value                                        0.000

User Model versus Baseline Model:

  Comparative Fit Index (CFI)                    1.000
  Tucker-Lewis Index (TLI)                       1.025

Loglikelihood and Information Criteria:

  Loglikelihood user model (H0)              -2237.847
  Loglikelihood unrestricted model (H1)      -2237.847
                                                      
  Akaike (AIC)                                4501.694
  Bayesian (BIC)                              4549.843
  Sample-size adjusted Bayesian (SABIC)       4508.615

Root Mean Square Error of Approximation:

  RMSEA                                          0.000
  90 Percent confidence interval - lower         0.000
  90 Percent confidence interval - upper         0.000
  P-value H_0: RMSEA <= 0.050                    1.000
  P-value H_0: RMSEA >= 0.080                    0.000

Standardized Root Mean Square Residual:

  SRMR                                           0.000

Parameter Estimates:

  Standard errors                             Standard
  Information                                 Expected
  Information saturated (h1) model          Structured

Latent Variables:
                   Estimate  Std.Err  z-value  P(>|z|)   Std.lv  Std.all
  f1 =~                                                                 
    V1                0.773    0.055   14.142    0.000    0.773    0.775
    V2                0.773    0.055   14.142    0.000    0.773    0.775
    V3                0.773    0.055   14.142    0.000    0.773    0.775
  f2 =~                                                                 
    V4                0.773    0.055   14.142    0.000    0.773    0.775
    V5                0.773    0.055   14.142    0.000    0.773    0.775
    V6                0.773    0.055   14.142    0.000    0.773    0.775

Covariances:
                   Estimate  Std.Err  z-value  P(>|z|)   Std.lv  Std.all
  f1 ~~                                                                 
    f2                0.000    0.071    0.000    1.000    0.000    0.000

Variances:
                   Estimate  Std.Err  z-value  P(>|z|)   Std.lv  Std.all
   .V1                0.399    0.051    7.746    0.000    0.399    0.400
   .V2                0.399    0.051    7.746    0.000    0.399    0.400
   .V3                0.399    0.051    7.746    0.000    0.399    0.400
   .V4                0.399    0.051    7.746    0.000    0.399    0.400
   .V5                0.399    0.051    7.746    0.000    0.399    0.400
   .V6                0.399    0.051    7.746    0.000    0.399    0.400
    f1                1.000                               1.000    1.000
    f2                1.000                               1.000    1.000

R-Square:
                   Estimate
    V1                0.600
    V2                0.600
    V3                0.600
    V4                0.600
    V5                0.600
    V6                0.600
14.4.2.10.3.6 Estimates of model fit
Code
fitMeasures(
  cfaModel3AFit,
  fit.measures = c(
    "chisq", "df", "pvalue",
    "rmsea", "cfi", "tli", "srmr"))
  chisq      df  pvalue   rmsea     cfi     tli    srmr 
313.237   9.000   0.000   0.336   0.502   0.171   0.227 
Code
fitMeasures(
  cfaModel3BFit,
  fit.measures = c(
    "chisq", "df", "pvalue",
    "rmsea", "cfi", "tli", "srmr"))
 chisq     df pvalue  rmsea    cfi    tli   srmr 
 0.000  8.000  1.000  0.000  1.000  1.025  0.000 
14.4.2.10.3.7 Compare model fit

Below is a test of whether the two-factor model fits better than the one-factor model. A significant chi-square difference test indicates that the two-factor model fits significantly better than the one-factor model.

Code
anova(cfaModel3BFit, cfaModel3AFit)
14.4.2.10.3.8 Residuals
Code
residuals(cfaModel3AFit, type = "cor")
$type
[1] "cor.bollen"

$cov
    V1  V2  V3  V4  V5  V6
V1 0.0                    
V2 0.0 0.0                
V3 0.0 0.0 0.0            
V4 0.0 0.0 0.0 0.0        
V5 0.0 0.0 0.0 0.6 0.0    
V6 0.0 0.0 0.0 0.6 0.6 0.0
Code
residuals(cfaModel3BFit, type = "cor")
$type
[1] "cor.bollen"

$cov
   V1 V2 V3 V4 V5 V6
V1  0               
V2  0  0            
V3  0  0  0         
V4  0  0  0  0      
V5  0  0  0  0  0   
V6  0  0  0  0  0  0
14.4.2.10.3.9 Modification indices
Code
modificationindices(cfaModel3AFit, sort. = TRUE)
Code
modificationindices(cfaModel3BFit, sort. = TRUE)
14.4.2.10.3.10 Internal Consistency Reliability

Internal consistency reliability of items composing the latent factors, as quantified by omega (\(\omega\)), average variance extracted (AVE), and maximal reliability, was estimated using the semTools package (Jorgensen et al., 2021).

Code
compRelSEM(cfaModel3AFit)
$f1

Composite `f1` is composed of observed variables:
    V1, V2, V3, V4, V5, V6
True-score variance is represented by common factor(s):
    f1
Total variance of composite `f1` determined from the unrestricted model.
The proportion attributable to "true" scores is its model-based estimate of reliability ("omega"):

[1] 0.409
Code
compRelSEM(cfaModel3BFit)
$f1

Composite `f1` is composed of observed variables:
    V1, V2, V3
True-score variance is represented by common factor(s):
    f1
Total variance of composite `f1` determined from the unrestricted model.
The proportion attributable to "true" scores is its model-based estimate of reliability ("omega"):

[1] 0.818

$f2

Composite `f2` is composed of observed variables:
    V4, V5, V6
True-score variance is represented by common factor(s):
    f2
Total variance of composite `f2` determined from the unrestricted model.
The proportion attributable to "true" scores is its model-based estimate of reliability ("omega"):

[1] 0.818
Code
AVE(cfaModel3AFit)
 f1 
0.6 
Code
AVE(cfaModel3BFit)
 f1  f2 
0.6 0.6 
Code
maximalRelia(cfaModel3AFit)
[1] 0.8181818
attr(,"weight")
           V1            V2            V3            V4            V5 
 2.000000e+00  2.000000e+00  2.000000e+00  4.864937e-09 -1.345577e-09 
           V6 
-1.345577e-09 
Code
maximalRelia(cfaModel3BFit)
[1] 0.8181818
attr(,"weight")
V1 V2 V3 V4 V5 V6 
 1  1  1  1  1  1 
14.4.2.10.3.11 Path diagram

Path diagrams of the models generated using the semPlot package (Epskamp, 2022) are in Figures 14.53 and 14.54.

Code
semPaths(cfaModel3AFit,
         what = "std",
         layout = "tree2",
         edge.label.cex = 1.5)
Confirmatory Factor Analysis Model 3a Diagram.
Figure 14.53: Confirmatory Factor Analysis Model 3a Diagram.
Code
semPaths(cfaModel3BFit,
         what = "std",
         layout = "tree2",
         edge.label.cex = 1.5)
Confirmatory Factor Analysis Model 3b Diagram.
Figure 14.54: Confirmatory Factor Analysis Model 3b Diagram.
14.4.2.10.4 Model 4
14.4.2.10.5 Create the covariance matrix
Code
correlationMatrixModel4 <- matrix(c(
  1,.6,.6,.3,.3,.3,
  .6,1,.6,.3,.3,.3,
  .3,.3,1,.3,.3,.3,
  .3,.3,.3,1,.6,.6,
  .3,.3,.3,.6,1,.6,
  .3,.3,.3,.6,.6,1),
  nrow = 6,
  ncol = 6)
rownames(correlationMatrixModel4) <- colnames(correlationMatrixModel4) <- 
  paste("V", 1:6, sep = "")

covarianceMatrixModel4 <- psych::cor2cov(
  correlationMatrixModel4,
  sigma = standardDeviations)
covarianceMatrixModel4
    V1  V2  V3  V4  V5  V6
V1 1.0 0.6 0.3 0.3 0.3 0.3
V2 0.6 1.0 0.3 0.3 0.3 0.3
V3 0.6 0.6 1.0 0.3 0.3 0.3
V4 0.3 0.3 0.3 1.0 0.6 0.6
V5 0.3 0.3 0.3 0.6 1.0 0.6
V6 0.3 0.3 0.3 0.6 0.6 1.0
14.4.2.10.5.1 Specify the model
Code
cfaModel4A <- '
 #Factor loadings
 f1 =~ V1 + V2 + V3
 f2 =~ V4 + V5 + V6
'

cfaModel4B <- '
 #Factor loadings
 f1 =~ V1 + V2 + V3
 f2 =~ V4 + V5 + V6
 
 #Regression path
 f2 ~ f1
'

cfaModel4C <- '
 #Factor loadings
 f1 =~ V1 + V2 + V3
 f2 =~ V4 + V5 + V6
 
 #Higher-order factor
 A1 =~ fixloading*f1 + fixloading*f2
'

cfaModel4D <- '
 #Factor loadings
 f1 =~ V1 + V2 + V3 + V4 + V5 + V6
 
 #Correlated residuals/errors
 V1 ~~ fixcor*V2
 V2 ~~ fixcor*V3
 V1 ~~ fixcor*V3
 V4 ~~ fixcor*V5
 V5 ~~ fixcor*V6
 V4 ~~ fixcor*V6
'

cfaModel4E <- '
 #Factor loadings
 f1 =~ V1 + V2 + V3 + V4 + V5 + V6 #construct latent factor
 f2 =~ fixloading*V4 + fixloading*V5 + fixloading*V6 #method latent factor
 
 #Make construct and method latent factors orthogonal (uncorrelated)
 f1 ~~ 0*f2
'
14.4.2.10.5.2 Model syntax in table form:
Code
lavaanify(cfaModel4A)
Code
lavaanify(cfaModel4B)
Code
lavaanify(cfaModel4C)
Code
lavaanify(cfaModel4D)
Code
lavaanify(cfaModel4E)
14.4.2.10.5.3 Fit the model
Code
cfaModel4AFit <- cfa(
  cfaModel4A,
  sample.cov = covarianceMatrixModel4,
  sample.nobs = sampleSize,
  estimator = "ML",
  std.lv = TRUE)

cfaModel4BFit <- cfa(
  cfaModel4B,
  sample.cov = covarianceMatrixModel4,
  sample.nobs = sampleSize,
  estimator = "ML",
  std.lv = TRUE)

cfaModel4CFit <- cfa(
  cfaModel4C,
  sample.cov = covarianceMatrixModel4,
  sample.nobs = sampleSize,
  estimator = "ML",
  std.lv = TRUE)

cfaModel4DFit <- cfa(
  cfaModel4D,
  sample.cov = covarianceMatrixModel4,
  sample.nobs = sampleSize,
  estimator = "ML",
  std.lv = TRUE)

cfaModel4EFit <- cfa(
  cfaModel4E,
  sample.cov = covarianceMatrixModel4,
  sample.nobs = sampleSize,
  estimator = "ML",
  std.lv = TRUE)
14.4.2.10.5.4 Display summary output
Code
summary(
  cfaModel4AFit,
  fit.measures = TRUE,
  standardized = TRUE,
  rsquare = TRUE)
lavaan 0.6-21 ended normally after 9 iterations

  Estimator                                         ML
  Optimization method                           NLMINB
  Number of model parameters                        13

  Number of observations                           300

Model Test User Model:
                                                      
  Test statistic                                 0.000
  Degrees of freedom                                 8
  P-value (Chi-square)                           1.000

Model Test Baseline Model:

  Test statistic                               681.419
  Degrees of freedom                                15
  P-value                                        0.000

User Model versus Baseline Model:

  Comparative Fit Index (CFI)                    1.000
  Tucker-Lewis Index (TLI)                       1.023

Loglikelihood and Information Criteria:

  Loglikelihood user model (H0)              -2210.375
  Loglikelihood unrestricted model (H1)      -2210.375
                                                      
  Akaike (AIC)                                4446.750
  Bayesian (BIC)                              4494.899
  Sample-size adjusted Bayesian (SABIC)       4453.671

Root Mean Square Error of Approximation:

  RMSEA                                          0.000
  90 Percent confidence interval - lower         0.000
  90 Percent confidence interval - upper         0.000
  P-value H_0: RMSEA <= 0.050                    1.000
  P-value H_0: RMSEA >= 0.080                    0.000

Standardized Root Mean Square Residual:

  SRMR                                           0.000

Parameter Estimates:

  Standard errors                             Standard
  Information                                 Expected
  Information saturated (h1) model          Structured

Latent Variables:
                   Estimate  Std.Err  z-value  P(>|z|)   Std.lv  Std.all
  f1 =~                                                                 
    V1                0.773    0.054   14.351    0.000    0.773    0.775
    V2                0.773    0.054   14.351    0.000    0.773    0.775
    V3                0.773    0.054   14.351    0.000    0.773    0.775
  f2 =~                                                                 
    V4                0.773    0.054   14.351    0.000    0.773    0.775
    V5                0.773    0.054   14.351    0.000    0.773    0.775
    V6                0.773    0.054   14.351    0.000    0.773    0.775

Covariances:
                   Estimate  Std.Err  z-value  P(>|z|)   Std.lv  Std.all
  f1 ~~                                                                 
    f2                0.500    0.057    8.822    0.000    0.500    0.500

Variances:
                   Estimate  Std.Err  z-value  P(>|z|)   Std.lv  Std.all
   .V1                0.399    0.049    8.067    0.000    0.399    0.400
   .V2                0.399    0.049    8.067    0.000    0.399    0.400
   .V3                0.399    0.049    8.067    0.000    0.399    0.400
   .V4                0.399    0.049    8.067    0.000    0.399    0.400
   .V5                0.399    0.049    8.067    0.000    0.399    0.400
   .V6                0.399    0.049    8.067    0.000    0.399    0.400
    f1                1.000                               1.000    1.000
    f2                1.000                               1.000    1.000

R-Square:
                   Estimate
    V1                0.600
    V2                0.600
    V3                0.600
    V4                0.600
    V5                0.600
    V6                0.600
Code
summary(
  cfaModel4BFit,
  fit.measures = TRUE,
  standardized = TRUE,
  rsquare = TRUE)
lavaan 0.6-21 ended normally after 12 iterations

  Estimator                                         ML
  Optimization method                           NLMINB
  Number of model parameters                        13

  Number of observations                           300

Model Test User Model:
                                                      
  Test statistic                                 0.000
  Degrees of freedom                                 8
  P-value (Chi-square)                           1.000

Model Test Baseline Model:

  Test statistic                               681.419
  Degrees of freedom                                15
  P-value                                        0.000

User Model versus Baseline Model:

  Comparative Fit Index (CFI)                    1.000
  Tucker-Lewis Index (TLI)                       1.023

Loglikelihood and Information Criteria:

  Loglikelihood user model (H0)              -2210.375
  Loglikelihood unrestricted model (H1)      -2210.375
                                                      
  Akaike (AIC)                                4446.750
  Bayesian (BIC)                              4494.899
  Sample-size adjusted Bayesian (SABIC)       4453.671

Root Mean Square Error of Approximation:

  RMSEA                                          0.000
  90 Percent confidence interval - lower         0.000
  90 Percent confidence interval - upper         0.000
  P-value H_0: RMSEA <= 0.050                    1.000
  P-value H_0: RMSEA >= 0.080                    0.000

Standardized Root Mean Square Residual:

  SRMR                                           0.000

Parameter Estimates:

  Standard errors                             Standard
  Information                                 Expected
  Information saturated (h1) model          Structured

Latent Variables:
                   Estimate  Std.Err  z-value  P(>|z|)   Std.lv  Std.all
  f1 =~                                                                 
    V1                0.773    0.054   14.351    0.000    0.773    0.775
    V2                0.773    0.054   14.351    0.000    0.773    0.775
    V3                0.773    0.054   14.351    0.000    0.773    0.775
  f2 =~                                                                 
    V4                0.670    0.050   13.445    0.000    0.773    0.775
    V5                0.670    0.050   13.445    0.000    0.773    0.775
    V6                0.670    0.050   13.445    0.000    0.773    0.775

Regressions:
                   Estimate  Std.Err  z-value  P(>|z|)   Std.lv  Std.all
  f2 ~                                                                  
    f1                0.577    0.087    6.616    0.000    0.500    0.500

Variances:
                   Estimate  Std.Err  z-value  P(>|z|)   Std.lv  Std.all
   .V1                0.399    0.049    8.067    0.000    0.399    0.400
   .V2                0.399    0.049    8.067    0.000    0.399    0.400
   .V3                0.399    0.049    8.067    0.000    0.399    0.400
   .V4                0.399    0.049    8.067    0.000    0.399    0.400
   .V5                0.399    0.049    8.067    0.000    0.399    0.400
   .V6                0.399    0.049    8.067    0.000    0.399    0.400
    f1                1.000                               1.000    1.000
   .f2                1.000                               0.750    0.750

R-Square:
                   Estimate
    V1                0.600
    V2                0.600
    V3                0.600
    V4                0.600
    V5                0.600
    V6                0.600
    f2                0.250
Code
summary(
  cfaModel4CFit,
  fit.measures = TRUE,
  standardized = TRUE,
  rsquare = TRUE)
lavaan 0.6-21 ended normally after 15 iterations

  Estimator                                         ML
  Optimization method                           NLMINB
  Number of model parameters                        14
  Number of equality constraints                     1

  Number of observations                           300

Model Test User Model:
                                                      
  Test statistic                                 0.000
  Degrees of freedom                                 8
  P-value (Chi-square)                           1.000

Model Test Baseline Model:

  Test statistic                               681.419
  Degrees of freedom                                15
  P-value                                        0.000

User Model versus Baseline Model:

  Comparative Fit Index (CFI)                    1.000
  Tucker-Lewis Index (TLI)                       1.023

Loglikelihood and Information Criteria:

  Loglikelihood user model (H0)              -2210.375
  Loglikelihood unrestricted model (H1)      -2210.375
                                                      
  Akaike (AIC)                                4446.750
  Bayesian (BIC)                              4494.899
  Sample-size adjusted Bayesian (SABIC)       4453.671

Root Mean Square Error of Approximation:

  RMSEA                                          0.000
  90 Percent confidence interval - lower         0.000
  90 Percent confidence interval - upper         0.000
  P-value H_0: RMSEA <= 0.050                    1.000
  P-value H_0: RMSEA >= 0.080                    0.000

Standardized Root Mean Square Residual:

  SRMR                                           0.000

Parameter Estimates:

  Standard errors                             Standard
  Information                                 Expected
  Information saturated (h1) model          Structured

Latent Variables:
                   Estimate  Std.Err  z-value  P(>|z|)   Std.lv  Std.all
  f1 =~                                                                 
    V1                0.547    0.046   12.003    0.000    0.773    0.775
    V2                0.547    0.046   12.003    0.000    0.773    0.775
    V3                0.547    0.046   12.003    0.000    0.773    0.775
  f2 =~                                                                 
    V4                0.547    0.046   12.003    0.000    0.773    0.775
    V5                0.547    0.046   12.003    0.000    0.773    0.775
    V6                0.547    0.046   12.003    0.000    0.773    0.775
  A1 =~                                                                 
    f1      (fxld)    1.000    0.113    8.822    0.000    0.707    0.707
    f2      (fxld)    1.000    0.113    8.822    0.000    0.707    0.707

Variances:
                   Estimate  Std.Err  z-value  P(>|z|)   Std.lv  Std.all
   .V1                0.399    0.049    8.067    0.000    0.399    0.400
   .V2                0.399    0.049    8.067    0.000    0.399    0.400
   .V3                0.399    0.049    8.067    0.000    0.399    0.400
   .V4                0.399    0.049    8.067    0.000    0.399    0.400
   .V5                0.399    0.049    8.067    0.000    0.399    0.400
   .V6                0.399    0.049    8.067    0.000    0.399    0.400
   .f1                1.000                               0.500    0.500
   .f2                1.000                               0.500    0.500
    A1                1.000                               1.000    1.000

R-Square:
                   Estimate
    V1                0.600
    V2                0.600
    V3                0.600
    V4                0.600
    V5                0.600
    V6                0.600
    f1                0.500
    f2                0.500
Code
summary(
  cfaModel4DFit,
  fit.measures = TRUE,
  standardized = TRUE,
  rsquare = TRUE)
lavaan 0.6-21 ended normally after 17 iterations

  Estimator                                         ML
  Optimization method                           NLMINB
  Number of model parameters                        18
  Number of equality constraints                     5

  Number of observations                           300

Model Test User Model:
                                                      
  Test statistic                                 0.000
  Degrees of freedom                                 8
  P-value (Chi-square)                           1.000

Model Test Baseline Model:

  Test statistic                               681.419
  Degrees of freedom                                15
  P-value                                        0.000

User Model versus Baseline Model:

  Comparative Fit Index (CFI)                    1.000
  Tucker-Lewis Index (TLI)                       1.023

Loglikelihood and Information Criteria:

  Loglikelihood user model (H0)              -2210.375
  Loglikelihood unrestricted model (H1)      -2210.375
                                                      
  Akaike (AIC)                                4446.750
  Bayesian (BIC)                              4494.899
  Sample-size adjusted Bayesian (SABIC)       4453.671

Root Mean Square Error of Approximation:

  RMSEA                                          0.000
  90 Percent confidence interval - lower         0.000
  90 Percent confidence interval - upper         0.000
  P-value H_0: RMSEA <= 0.050                    1.000
  P-value H_0: RMSEA >= 0.080                    0.000

Standardized Root Mean Square Residual:

  SRMR                                           0.000

Parameter Estimates:

  Standard errors                             Standard
  Information                                 Expected
  Information saturated (h1) model          Structured

Latent Variables:
                   Estimate  Std.Err  z-value  P(>|z|)   Std.lv  Std.all
  f1 =~                                                                 
    V1                0.547    0.068    7.994    0.000    0.547    0.548
    V2                0.547    0.068    7.994    0.000    0.547    0.548
    V3                0.547    0.068    7.994    0.000    0.547    0.548
    V4                0.547    0.068    7.994    0.000    0.547    0.548
    V5                0.547    0.068    7.994    0.000    0.547    0.548
    V6                0.547    0.068    7.994    0.000    0.547    0.548

Covariances:
                   Estimate  Std.Err  z-value  P(>|z|)   Std.lv  Std.all
 .V1 ~~                                                                 
   .V2      (fxcr)    0.299    0.036    8.380    0.000    0.299    0.429
 .V2 ~~                                                                 
   .V3      (fxcr)    0.299    0.036    8.380    0.000    0.299    0.429
 .V1 ~~                                                                 
   .V3      (fxcr)    0.299    0.036    8.380    0.000    0.299    0.429
 .V4 ~~                                                                 
   .V5      (fxcr)    0.299    0.036    8.380    0.000    0.299    0.429
 .V5 ~~                                                                 
   .V6      (fxcr)    0.299    0.036    8.380    0.000    0.299    0.429
 .V4 ~~                                                                 
   .V6      (fxcr)    0.299    0.036    8.380    0.000    0.299    0.429

Variances:
                   Estimate  Std.Err  z-value  P(>|z|)   Std.lv  Std.all
   .V1                0.698    0.057   12.244    0.000    0.698    0.700
   .V2                0.698    0.057   12.244    0.000    0.698    0.700
   .V3                0.698    0.057   12.244    0.000    0.698    0.700
   .V4                0.698    0.057   12.244    0.000    0.698    0.700
   .V5                0.698    0.057   12.244    0.000    0.698    0.700
   .V6                0.698    0.057   12.244    0.000    0.698    0.700
    f1                1.000                               1.000    1.000

R-Square:
                   Estimate
    V1                0.300
    V2                0.300
    V3                0.300
    V4                0.300
    V5                0.300
    V6                0.300
Code
summary(
  cfaModel4EFit,
  fit.measures = TRUE,
  standardized = TRUE,
  rsquare = TRUE)
lavaan 0.6-21 ended normally after 13 iterations

  Estimator                                         ML
  Optimization method                           NLMINB
  Number of model parameters                        15
  Number of equality constraints                     2

  Number of observations                           300

Model Test User Model:
                                                      
  Test statistic                                 0.000
  Degrees of freedom                                 8
  P-value (Chi-square)                           1.000

Model Test Baseline Model:

  Test statistic                               681.419
  Degrees of freedom                                15
  P-value                                        0.000

User Model versus Baseline Model:

  Comparative Fit Index (CFI)                    1.000
  Tucker-Lewis Index (TLI)                       1.023

Loglikelihood and Information Criteria:

  Loglikelihood user model (H0)              -2210.375
  Loglikelihood unrestricted model (H1)      -2210.375
                                                      
  Akaike (AIC)                                4446.750
  Bayesian (BIC)                              4494.899
  Sample-size adjusted Bayesian (SABIC)       4453.671

Root Mean Square Error of Approximation:

  RMSEA                                          0.000
  90 Percent confidence interval - lower         0.000
  90 Percent confidence interval - upper         0.000
  P-value H_0: RMSEA <= 0.050                    1.000
  P-value H_0: RMSEA >= 0.080                    0.000

Standardized Root Mean Square Residual:

  SRMR                                           0.000

Parameter Estimates:

  Standard errors                             Standard
  Information                                 Expected
  Information saturated (h1) model          Structured

Latent Variables:
                   Estimate  Std.Err  z-value  P(>|z|)   Std.lv  Std.all
  f1 =~                                                                 
    V1                0.773    0.054   14.351    0.000    0.773    0.775
    V2                0.773    0.054   14.351    0.000    0.773    0.775
    V3                0.773    0.054   14.351    0.000    0.773    0.775
    V4                0.387    0.061    6.347    0.000    0.387    0.387
    V5                0.387    0.061    6.347    0.000    0.387    0.387
    V6                0.387    0.061    6.347    0.000    0.387    0.387
  f2 =~                                                                 
    V4      (fxld)    0.670    0.038   17.657    0.000    0.670    0.671
    V5      (fxld)    0.670    0.038   17.657    0.000    0.670    0.671
    V6      (fxld)    0.670    0.038   17.657    0.000    0.670    0.671

Covariances:
                   Estimate  Std.Err  z-value  P(>|z|)   Std.lv  Std.all
  f1 ~~                                                                 
    f2                0.000                               0.000    0.000

Variances:
                   Estimate  Std.Err  z-value  P(>|z|)   Std.lv  Std.all
   .V1                0.399    0.049    8.067    0.000    0.399    0.400
   .V2                0.399    0.049    8.067    0.000    0.399    0.400
   .V3                0.399    0.049    8.067    0.000    0.399    0.400
   .V4                0.399    0.045    8.894    0.000    0.399    0.400
   .V5                0.399    0.045    8.894    0.000    0.399    0.400
   .V6                0.399    0.045    8.894    0.000    0.399    0.400
    f1                1.000                               1.000    1.000
    f2                1.000                               1.000    1.000

R-Square:
                   Estimate
    V1                0.600
    V2                0.600
    V3                0.600
    V4                0.600
    V5                0.600
    V6                0.600
14.4.2.10.5.5 Estimates of model fit
Code
fitMeasures(
  cfaModel4AFit,
  fit.measures = c(
    "chisq", "df", "pvalue",
    "rmsea", "cfi", "tli", "srmr"))
 chisq     df pvalue  rmsea    cfi    tli   srmr 
 0.000  8.000  1.000  0.000  1.000  1.023  0.000 
Code
fitMeasures(
  cfaModel4BFit,
  fit.measures = c(
    "chisq", "df", "pvalue",
    "rmsea", "cfi", "tli", "srmr"))
 chisq     df pvalue  rmsea    cfi    tli   srmr 
 0.000  8.000  1.000  0.000  1.000  1.023  0.000 
Code
fitMeasures(
  cfaModel4CFit,
  fit.measures = c(
    "chisq", "df", "pvalue",
    "rmsea", "cfi", "tli", "srmr"))
 chisq     df pvalue  rmsea    cfi    tli   srmr 
 0.000  8.000  1.000  0.000  1.000  1.023  0.000 
Code
fitMeasures(
  cfaModel4DFit,
  fit.measures = c(
    "chisq", "df", "pvalue",
    "rmsea", "cfi", "tli", "srmr"))
 chisq     df pvalue  rmsea    cfi    tli   srmr 
 0.000  8.000  1.000  0.000  1.000  1.023  0.000 
Code
fitMeasures(
  cfaModel4EFit,
  fit.measures = c(
    "chisq", "df", "pvalue",
    "rmsea", "cfi", "tli", "srmr"))
 chisq     df pvalue  rmsea    cfi    tli   srmr 
 0.000  8.000  1.000  0.000  1.000  1.023  0.000 
14.4.2.10.5.6 Residuals
Code
residuals(cfaModel4AFit, type = "cor")
$type
[1] "cor.bollen"

$cov
   V1 V2 V3 V4 V5 V6
V1  0               
V2  0  0            
V3  0  0  0         
V4  0  0  0  0      
V5  0  0  0  0  0   
V6  0  0  0  0  0  0
Code
residuals(cfaModel4BFit, type = "cor")
$type
[1] "cor.bollen"

$cov
   V1 V2 V3 V4 V5 V6
V1  0               
V2  0  0            
V3  0  0  0         
V4  0  0  0  0      
V5  0  0  0  0  0   
V6  0  0  0  0  0  0
Code
residuals(cfaModel4CFit, type = "cor")
$type
[1] "cor.bollen"

$cov
   V1 V2 V3 V4 V5 V6
V1  0               
V2  0  0            
V3  0  0  0         
V4  0  0  0  0      
V5  0  0  0  0  0   
V6  0  0  0  0  0  0
Code
residuals(cfaModel4DFit, type = "cor")
$type
[1] "cor.bollen"

$cov
   V1 V2 V3 V4 V5 V6
V1  0               
V2  0  0            
V3  0  0  0         
V4  0  0  0  0      
V5  0  0  0  0  0   
V6  0  0  0  0  0  0
Code
residuals(cfaModel4EFit, type = "cor")
$type
[1] "cor.bollen"

$cov
   V1 V2 V3 V4 V5 V6
V1  0               
V2  0  0            
V3  0  0  0         
V4  0  0  0  0      
V5  0  0  0  0  0   
V6  0  0  0  0  0  0
14.4.2.10.5.7 Modification indices
Code
modificationindices(cfaModel4AFit, sort. = TRUE)
Code
modificationindices(cfaModel4BFit, sort. = TRUE)
Code
modificationindices(cfaModel4CFit, sort. = TRUE)
Code
modificationindices(cfaModel4DFit, sort. = TRUE)
Code
modificationindices(cfaModel4EFit, sort. = TRUE)
14.4.2.10.5.8 Internal Consistency Reliability

Internal consistency reliability of items composing the latent factors, as quantified by omega (\(\omega\)), average variance extracted (AVE), and maximal reliability, was estimated using the semTools package (Jorgensen et al., 2021).

Code
compRelSEM(cfaModel4AFit)
$f1

Composite `f1` is composed of observed variables:
    V1, V2, V3
True-score variance is represented by common factor(s):
    f1
Total variance of composite `f1` determined from the unrestricted model.
The proportion attributable to "true" scores is its model-based estimate of reliability ("omega"):

[1] 0.818

$f2

Composite `f2` is composed of observed variables:
    V4, V5, V6
True-score variance is represented by common factor(s):
    f2
Total variance of composite `f2` determined from the unrestricted model.
The proportion attributable to "true" scores is its model-based estimate of reliability ("omega"):

[1] 0.818
Code
compRelSEM(cfaModel4BFit)
$f1

Composite `f1` is composed of observed variables:
    V1, V2, V3
True-score variance is represented by common factor(s):
    f1
Total variance of composite `f1` determined from the unrestricted model.
The proportion attributable to "true" scores is its model-based estimate of reliability ("omega"):

[1] 0.818

$f2

Composite `f2` is composed of observed variables:
    V4, V5, V6
True-score variance is represented by common factor(s):
    f1
Total variance of composite `f2` determined from the unrestricted model.
The proportion attributable to "true" scores is its model-based estimate of reliability ("omega"):

[1] 0.205
Code
compRelSEM(cfaModel4CFit)
$f1

Composite `f1` is composed of observed variables:
    V1, V2, V3
True-score variance is represented by common factor(s):
    A1
Total variance of composite `f1` determined from the unrestricted model.
The proportion attributable to "true" scores is its model-based estimate of reliability ("omega"):

[1] 0.409

$f2

Composite `f2` is composed of observed variables:
    V4, V5, V6
True-score variance is represented by common factor(s):
    A1
Total variance of composite `f2` determined from the unrestricted model.
The proportion attributable to "true" scores is its model-based estimate of reliability ("omega"):

[1] 0.409
Code
compRelSEM(cfaModel4CFit)
$f1

Composite `f1` is composed of observed variables:
    V1, V2, V3
True-score variance is represented by common factor(s):
    A1
Total variance of composite `f1` determined from the unrestricted model.
The proportion attributable to "true" scores is its model-based estimate of reliability ("omega"):

[1] 0.409

$f2

Composite `f2` is composed of observed variables:
    V4, V5, V6
True-score variance is represented by common factor(s):
    A1
Total variance of composite `f2` determined from the unrestricted model.
The proportion attributable to "true" scores is its model-based estimate of reliability ("omega"):

[1] 0.409
Code
compRelSEM(cfaModel4DFit)
$f1

Composite `f1` is composed of observed variables:
    V1, V2, V3, V4, V5, V6
True-score variance is represented by common factor(s):
    f1
Total variance of composite `f1` determined from the unrestricted model.
The proportion attributable to "true" scores is its model-based estimate of reliability ("omega"):

[1] 0.581
Code
compRelSEM(cfaModel4EFit) # omega_total
$f1

Composite `f1` is composed of observed variables:
    V1, V2, V3, V4, V5, V6
True-score variance is represented by common factor(s):
    f1, f2
Total variance of composite `f1` determined from the unrestricted model.
The proportion attributable to "true" scores is its model-based estimate of reliability ("omega"):

[1] 0.871

$f2

Composite `f2` is composed of observed variables:
    V4, V5, V6
True-score variance is represented by common factor(s):
    f1, f2
Total variance of composite `f2` determined from the unrestricted model.
The proportion attributable to "true" scores is its model-based estimate of reliability ("omega"):

[1] 0.818
Code
compRelSEM(cfaModel4EFit, true = "omegaH") # omega_hierarchical
$f1

Composite `f1` is composed of observed variables:
    V1, V2, V3, V4, V5, V6
True-score variance is represented by common factor(s):
    f1
Total variance of composite `f1` determined from the unrestricted model.
The proportion attributable to "true" scores is its model-based estimate of reliability ("omega"):

[1] 0.653

$f2

Composite `f2` is composed of observed variables:
    V4, V5, V6
True-score variance is represented by common factor(s):
    f2
Total variance of composite `f2` determined from the unrestricted model.
The proportion attributable to "true" scores is its model-based estimate of reliability ("omega"):

[1] 0.614
Code
compRelSEM(cfaModel4EFit, return.total = -1, true = list(.TOTAL. = "f1")) # omega_hierarchical: proportion of variance in scale composite that is attributable to construct variance
$.TOTAL.

Composite `.TOTAL.` is composed of observed variables:
    V1, V2, V3, V4, V5, V6
True-score variance is represented by common factor(s):
    f1
Total variance of composite `.TOTAL.` determined from the unrestricted model.
The proportion attributable to "true" scores is its model-based estimate of reliability ("omega"):

[1] 0.653
Code
compRelSEM(cfaModel4EFit, return.total = -1, true = list(.TOTAL. = "f2")) # proportion of variance in scale composite that is attributable to method variance
$.TOTAL.

Composite `.TOTAL.` is composed of observed variables:
    V1, V2, V3, V4, V5, V6
True-score variance is represented by common factor(s):
    f2
Total variance of composite `.TOTAL.` determined from the unrestricted model.
The proportion attributable to "true" scores is its model-based estimate of reliability ("omega"):

[1] 0.218
Code
AVE(cfaModel4AFit)
 f1  f2 
0.6 0.6 
Code
AVE(cfaModel4BFit)
 f1  f2 
0.6 0.6 
Code
AVE(cfaModel4CFit)
 f1  f2 
0.6 0.6 
Code
AVE(cfaModel4DFit)
 f1 
0.3 
Code
AVE(cfaModel4EFit)
f1 f2 
NA NA 
Code
maximalRelia(cfaModel4AFit)
[1] 0.8709677
attr(,"weight")
V1 V2 V3 V4 V5 V6 
 1  1  1  1  1  1 
Code
maximalRelia(cfaModel4BFit)
[1] 0.8709677
attr(,"weight")
V1 V2 V3 V4 V5 V6 
 1  1  1  1  1  1 
Code
maximalRelia(cfaModel4CFit)
[1] 0.8709677
attr(,"weight")
V1 V2 V3 V4 V5 V6 
 1  1  1  1  1  1 
Code
maximalRelia(cfaModel4DFit)
[1] 0.5806452
attr(,"weight")
V1 V2 V3 V4 V5 V6 
 1  1  1  1  1  1 
Code
maximalRelia(cfaModel4EFit)
[1] 0.8709677
attr(,"weight")
V1 V2 V3 V4 V5 V6 
 1  1  1  1  1  1 
14.4.2.10.5.9 Path diagram

Path diagrams of the models generated using the semPlot package (Epskamp, 2022) are in Figures 14.55, 14.56, 14.57, 14.58, and 14.59.

Code
semPaths(
  cfaModel4AFit,
  what = "std",
  layout = "tree2",
  edge.label.cex = 1.3)
Confirmatory Factor Analysis Model 4a Diagram.
Figure 14.55: Confirmatory Factor Analysis Model 4a Diagram.
Code
semPaths(
  cfaModel4BFit,
  what = "std",
  layout = "tree2",
  edge.label.cex = 1.3)
Confirmatory Factor Analysis Model 4b Diagram.
Figure 14.56: Confirmatory Factor Analysis Model 4b Diagram.
Code
semPaths(
  cfaModel4CFit,
  what = "std",
  layout = "tree2",
  edge.label.cex = 1.3)
Confirmatory Factor Analysis Model 4c Diagram.
Figure 14.57: Confirmatory Factor Analysis Model 4c Diagram.
Code
semPaths(
  cfaModel4DFit,
  what = "std",
  layout = "tree2",
  edge.label.cex = 1.3)
Confirmatory Factor Analysis Model 4d Diagram.
Figure 14.58: Confirmatory Factor Analysis Model 4d Diagram.
Code
semPaths(
  cfaModel4EFit,
  what = "std",
  layout = "tree2",
  edge.label.cex = 1.3)
Confirmatory Factor Analysis Model 4e Diagram.
Figure 14.59: Confirmatory Factor Analysis Model 4e Diagram.
14.4.2.10.5.10 Equivalently fitting models

Markov equivalent directed acyclic graphs (DAGs) were depicted using the dagitty package (Textor et al., 2021). Path diagrams of equivalent models are below.

Code
dagModel <- lavaanToGraph(cfaModel4AFit)

par(mfrow = c(4, 4))
Code
lapply(equivalentDAGs(dagModel, n = 16), plot)
[[1]]
[[1]]$mar
[1] 0 0 0 0


[[2]]
[[2]]$mar
[1] 0 0 0 0


[[3]]
[[3]]$mar
[1] 0 0 0 0


[[4]]
[[4]]$mar
[1] 0 0 0 0


[[5]]
[[5]]$mar
[1] 0 0 0 0


[[6]]
[[6]]$mar
[1] 0 0 0 0


[[7]]
[[7]]$mar
[1] 0 0 0 0


[[8]]
[[8]]$mar
[1] 0 0 0 0


[[9]]
[[9]]$mar
[1] 0 0 0 0


[[10]]
[[10]]$mar
[1] 0 0 0 0


[[11]]
[[11]]$mar
[1] 0 0 0 0


[[12]]
[[12]]$mar
[1] 0 0 0 0


[[13]]
[[13]]$mar
[1] 0 0 0 0


[[14]]
[[14]]$mar
[1] 0 0 0 0


[[15]]
[[15]]$mar
[1] 0 0 0 0


[[16]]
[[16]]$mar
[1] 0 0 0 0
Equivalently Fitting Models to Confirmatory Factor Analysis Model 4.
Figure 14.60: Equivalently Fitting Models to Confirmatory Factor Analysis Model 4.
Equivalently Fitting Models to Confirmatory Factor Analysis Model 4.
Figure 14.61: Equivalently Fitting Models to Confirmatory Factor Analysis Model 4.
Equivalently Fitting Models to Confirmatory Factor Analysis Model 4.
Figure 14.62: Equivalently Fitting Models to Confirmatory Factor Analysis Model 4.
Equivalently Fitting Models to Confirmatory Factor Analysis Model 4.
Figure 14.63: Equivalently Fitting Models to Confirmatory Factor Analysis Model 4.
Equivalently Fitting Models to Confirmatory Factor Analysis Model 4.
Figure 14.64: Equivalently Fitting Models to Confirmatory Factor Analysis Model 4.
Equivalently Fitting Models to Confirmatory Factor Analysis Model 4.
Figure 14.65: Equivalently Fitting Models to Confirmatory Factor Analysis Model 4.
Equivalently Fitting Models to Confirmatory Factor Analysis Model 4.
Figure 14.66: Equivalently Fitting Models to Confirmatory Factor Analysis Model 4.
Equivalently Fitting Models to Confirmatory Factor Analysis Model 4.
Figure 14.67: Equivalently Fitting Models to Confirmatory Factor Analysis Model 4.
Equivalently Fitting Models to Confirmatory Factor Analysis Model 4.
Figure 14.68: Equivalently Fitting Models to Confirmatory Factor Analysis Model 4.
Equivalently Fitting Models to Confirmatory Factor Analysis Model 4.
Figure 14.69: Equivalently Fitting Models to Confirmatory Factor Analysis Model 4.
Equivalently Fitting Models to Confirmatory Factor Analysis Model 4.
Figure 14.70: Equivalently Fitting Models to Confirmatory Factor Analysis Model 4.
Equivalently Fitting Models to Confirmatory Factor Analysis Model 4.
Figure 14.71: Equivalently Fitting Models to Confirmatory Factor Analysis Model 4.
Equivalently Fitting Models to Confirmatory Factor Analysis Model 4.
Figure 14.72: Equivalently Fitting Models to Confirmatory Factor Analysis Model 4.
Equivalently Fitting Models to Confirmatory Factor Analysis Model 4.
Figure 14.73: Equivalently Fitting Models to Confirmatory Factor Analysis Model 4.
Equivalently Fitting Models to Confirmatory Factor Analysis Model 4.
Figure 14.74: Equivalently Fitting Models to Confirmatory Factor Analysis Model 4.
Equivalently Fitting Models to Confirmatory Factor Analysis Model 4.
Figure 14.75: Equivalently Fitting Models to Confirmatory Factor Analysis Model 4.

14.4.2.11 Higher-Order Factor Model

A higher-order (or hierarchical) factor model is a model in which a higher-order latent factor is thought to influence lower-order latent factors. Higher-order factor models are depicted in Figures 14.10 and 14.57. An analysis example of a higher-order factor model is provided in Section 14.4.2.10.4.

14.4.2.12 Bifactor Model

A bifactor model is a model in which both a general latent factor and specific latent factors are extracted from items (Markon, 2019). The general factor represents the common variance among all items, whereas the specific factor represents the common variance among the specific items that load on the specific factor, after extracting the general factor variance. As estimated below, the general factor is orthogonal to the specific factors. Some modified versions of the bifactor allow the specific factors to inter-correlate (in addition to estimating the general factor).

14.4.2.12.1 Specify the model
Code
cfaModelBifactor_syntax <- '
 Verbal =~ 
   VO1 + VO2 + VO3 + 
   VW1 + VW2 + VW3 + 
   VM1 + VM2 + VM3
 Spatial =~ 
   SO1 + SO2 + SO3 + 
   SW1 + SW2 + SW3 + 
   SM1 + SM2 + SM3
 Quant =~ 
   QO1 + QO2 + QO3 + 
   QW1 + QW2 + QW3 + 
   QM1 + QM2 + QM3
 g =~ 
   VO1 + VO2 + VO3 + 
   VW1 + VW2 + VW3 + 
   VM1 + VM2 + VM3 +
   SO1 + SO2 + SO3 + 
   SW1 + SW2 + SW3 + 
   SM1 + SM2 + SM3 +
   QO1 + QO2 + QO3 + 
   QW1 + QW2 + QW3 + 
   QM1 + QM2 + QM3
'

cfaModelBifactor_fullSyntax <- '
 #Factor loadings (free the factor loading of the first indicator)
 Verbal =~ 
   NA*VO1 + VO2 + VO3 + 
   VW1 + VW2 + VW3 + 
   VM1 + VM2 + VM3
 Spatial =~ 
   NA*SO1 + SO2 + SO3 + 
   SW1 + SW2 + SW3 + 
   SM1 + SM2 + SM3
 Quant =~ 
   NA*QO1 + QO2 + QO3 + 
   QW1 + QW2 + QW3 + 
   QM1 + QM2 + QM3
 g =~ 
   NA*VO1 + VO2 + VO3 + 
   VW1 + VW2 + VW3 + 
   VM1 + VM2 + VM3 +
   SO1 + SO2 + SO3 + 
   SW1 + SW2 + SW3 + 
   SM1 + SM2 + SM3 +
   QO1 + QO2 + QO3 + 
   QW1 + QW2 + QW3 + 
   QM1 + QM2 + QM3
   
 #Fix latent means to zero
 Verbal ~ 0
 Spatial ~ 0
 Quant ~ 0
 g ~ 0
 
 #Fix latent variances to one
 Verbal ~~ 1*Verbal
 Spatial ~~ 1*Spatial
 Quant ~~ 1*Quant
 g ~~ 1*g
 
 #Fix covariances among latent variables at zero
 Verbal ~~ 0*Spatial
 Verbal ~~ 0*Quant
 Spatial ~~ 0*Quant
 g ~~ 0*Verbal
 g ~~ 0*Spatial
 g ~~ 0*Quant
 
 #Estimate residual variances of manifest variables
 VO1 ~~ VO1
 VO2 ~~ VO2
 VO3 ~~ VO3
 VW1 ~~ VW1
 VW2 ~~ VW2
 VW3 ~~ VW3
 VM1 ~~ VM1
 VM2 ~~ VM2
 VM3 ~~ VM3
 SO1 ~~ SO1
 SO2 ~~ SO2
 SO3 ~~ SO3
 SW1 ~~ SW1
 SW2 ~~ SW2
 SW3 ~~ SW3
 SM1 ~~ SM1
 SM2 ~~ SM2
 SM3 ~~ SM3
 QO1 ~~ QO1
 QO2 ~~ QO2
 QO3 ~~ QO3
 QW1 ~~ QW1
 QW2 ~~ QW2
 QW3 ~~ QW3
 QM1 ~~ QM1
 QM2 ~~ QM2
 QM3 ~~ QM3
 
 #Free intercepts of manifest variables
 VO1 ~ intVO1*1
 VO2 ~ intVO2*1
 VO3 ~ intVO3*1
 VW1 ~ intVW1*1
 VW2 ~ intVW2*1
 VW3 ~ intVW3*1
 VM1 ~ intVM1*1
 VM2 ~ intVM2*1
 VM3 ~ intVM3*1
 SO1 ~ intSO1*1
 SO2 ~ intSO2*1
 SO3 ~ intSO3*1
 SW1 ~ intSW1*1
 SW2 ~ intSW2*1
 SW3 ~ intSW3*1
 SM1 ~ intSM1*1
 SM2 ~ intSM2*1
 SM3 ~ intSM3*1
 QO1 ~ intQO1*1
 QO2 ~ intQO2*1
 QO3 ~ intQO3*1
 QW1 ~ intQW1*1
 QW2 ~ intQW2*1
 QW3 ~ intQW3*1
 QM1 ~ intQM1*1
 QM2 ~ intQM2*1
 QM3 ~ intQM3*1
'
14.4.2.12.2 Model syntax in table form:
Code
lavaanify(cfaModelBifactor_syntax)
Code
lavaanify(cfaModelBifactor_fullSyntax)
14.4.2.12.3 Fit the model

We simulated the data for the bifactor model in Section 5.3.1.4.2.3.

Code
cfaModelBifactorFit <- cfa(
  cfaModelBifactor_syntax,
  data = MTMM_data,
  orthogonal = TRUE,
  std.lv = TRUE,
  missing = "ML",
  estimator = "MLR")

cfaModelBifactorFit_full <- lavaan(
  cfaModelBifactor_fullSyntax,
  data = MTMM_data,
  missing = "ML",
  estimator = "MLR")
14.4.2.12.4 Display summary output
Code
summary(
  cfaModelBifactorFit,
  fit.measures = TRUE,
  standardized = TRUE,
  rsquare = TRUE)
lavaan 0.6-21 ended normally after 45 iterations

  Estimator                                         ML
  Optimization method                           NLMINB
  Number of model parameters                       108

  Number of observations                         10000
  Number of missing patterns                         1

Model Test User Model:
                                               Standard      Scaled
  Test Statistic                              28930.049   29784.763
  Degrees of freedom                                297         297
  P-value (Chi-square)                            0.000       0.000
  Scaling correction factor                                   0.971
    Yuan-Bentler correction (Mplus variant)                        

Model Test Baseline Model:

  Test statistic                            146391.496  146201.022
  Degrees of freedom                               351         351
  P-value                                        0.000       0.000
  Scaling correction factor                                  1.001

User Model versus Baseline Model:

  Comparative Fit Index (CFI)                    0.804       0.798
  Tucker-Lewis Index (TLI)                       0.768       0.761
                                                                  
  Robust Comparative Fit Index (CFI)                         0.804
  Robust Tucker-Lewis Index (TLI)                            0.768

Loglikelihood and Information Criteria:

  Loglikelihood user model (H0)            -324368.770 -324368.770
  Scaling correction factor                                  1.083
      for the MLR correction                                      
  Loglikelihood unrestricted model (H1)    -309903.745 -309903.745
  Scaling correction factor                                  1.001
      for the MLR correction                                      
                                                                  
  Akaike (AIC)                              648953.539  648953.539
  Bayesian (BIC)                            649732.256  649732.256
  Sample-size adjusted Bayesian (SABIC)     649389.048  649389.048

Root Mean Square Error of Approximation:

  RMSEA                                          0.098       0.100
  90 Percent confidence interval - lower         0.097       0.099
  90 Percent confidence interval - upper         0.099       0.101
  P-value H_0: RMSEA <= 0.050                    0.000       0.000
  P-value H_0: RMSEA >= 0.080                    1.000       1.000
                                                                  
  Robust RMSEA                                               0.098
  90 Percent confidence interval - lower                     0.097
  90 Percent confidence interval - upper                     0.099
  P-value H_0: Robust RMSEA <= 0.050                         0.000
  P-value H_0: Robust RMSEA >= 0.080                         1.000

Standardized Root Mean Square Residual:

  SRMR                                           0.201       0.201

Parameter Estimates:

  Standard errors                             Sandwich
  Information bread                           Observed
  Observed information based on                Hessian

Latent Variables:
                   Estimate  Std.Err  z-value  P(>|z|)   Std.lv  Std.all
  Verbal =~                                                             
    VO1               0.484    0.011   42.953    0.000    0.484    0.484
    VO2               0.572    0.012   49.110    0.000    0.572    0.571
    VO3               0.648    0.011   59.594    0.000    0.648    0.649
    VW1               0.602    0.021   28.399    0.000    0.602    0.597
    VW2               0.522    0.017   31.037    0.000    0.522    0.516
    VW3               0.457    0.015   31.401    0.000    0.457    0.452
    VM1               0.764    0.009   81.260    0.000    0.764    0.758
    VM2               0.837    0.009   91.851    0.000    0.837    0.835
    VM3               0.574    0.010   58.967    0.000    0.574    0.576
  Spatial =~                                                            
    SO1               0.597    0.011   52.050    0.000    0.597    0.603
    SO2               0.603    0.012   51.513    0.000    0.603    0.603
    SO3               0.530    0.012   45.701    0.000    0.530    0.531
    SW1               0.491    0.021   23.493    0.000    0.491    0.489
    SW2               0.584    0.020   29.673    0.000    0.584    0.584
    SW3               0.416    0.018   22.716    0.000    0.416    0.417
    SM1               0.856    0.008  103.159    0.000    0.856    0.860
    SM2               0.682    0.009   72.543    0.000    0.682    0.684
    SM3               0.892    0.008  106.899    0.000    0.892    0.895
  Quant =~                                                              
    QO1               0.532    0.011   46.627    0.000    0.532    0.537
    QO2               0.673    0.010   67.359    0.000    0.673    0.680
    QO3               0.529    0.011   47.899    0.000    0.529    0.526
    QW1               0.454    0.014   33.332    0.000    0.454    0.452
    QW2               0.526    0.013   39.384    0.000    0.526    0.533
    QW3               0.616    0.015   40.075    0.000    0.616    0.618
    QM1               0.595    0.010   57.570    0.000    0.595    0.596
    QM2               0.652    0.010   64.766    0.000    0.652    0.648
    QM3               0.743    0.010   75.444    0.000    0.743    0.740
  g =~                                                                  
    VO1              -0.116    0.020   -5.713    0.000   -0.116   -0.116
    VO2              -0.155    0.023   -6.756    0.000   -0.155   -0.155
    VO3              -0.181    0.024   -7.540    0.000   -0.181   -0.181
    VW1              -0.699    0.021  -32.569    0.000   -0.699   -0.693
    VW2              -0.514    0.020  -26.246    0.000   -0.514   -0.508
    VW3              -0.397    0.018  -21.773    0.000   -0.397   -0.393
    VM1               0.038    0.030    1.237    0.216    0.038    0.037
    VM2               0.013    0.033    0.407    0.684    0.013    0.013
    VM3              -0.013    0.023   -0.552    0.581   -0.013   -0.013
    SO1              -0.202    0.023   -8.812    0.000   -0.202   -0.204
    SO2              -0.208    0.023   -8.965    0.000   -0.208   -0.208
    SO3              -0.153    0.023   -6.818    0.000   -0.153   -0.154
    SW1              -0.684    0.018  -37.922    0.000   -0.684   -0.682
    SW2              -0.633    0.021  -30.390    0.000   -0.633   -0.633
    SW3              -0.563    0.016  -34.126    0.000   -0.563   -0.565
    SM1              -0.010    0.031   -0.318    0.751   -0.010   -0.010
    SM2               0.070    0.027    2.618    0.009    0.070    0.070
    SM3               0.027    0.034    0.789    0.430    0.027    0.027
    QO1              -0.088    0.019   -4.585    0.000   -0.088   -0.089
    QO2              -0.133    0.020   -6.651    0.000   -0.133   -0.134
    QO3              -0.090    0.018   -5.060    0.000   -0.090   -0.090
    QW1              -0.452    0.015  -30.307    0.000   -0.452   -0.449
    QW2              -0.461    0.016  -27.995    0.000   -0.461   -0.467
    QW3              -0.574    0.018  -32.789    0.000   -0.574   -0.576
    QM1               0.060    0.024    2.504    0.012    0.060    0.060
    QM2              -0.000    0.023   -0.020    0.984   -0.000   -0.000
    QM3              -0.040    0.026   -1.567    0.117   -0.040   -0.040

Covariances:
                   Estimate  Std.Err  z-value  P(>|z|)   Std.lv  Std.all
  Verbal ~~                                                             
    Spatial           0.000                               0.000    0.000
    Quant             0.000                               0.000    0.000
    g                 0.000                               0.000    0.000
  Spatial ~~                                                            
    Quant             0.000                               0.000    0.000
    g                 0.000                               0.000    0.000
  Quant ~~                                                              
    g                 0.000                               0.000    0.000

Intercepts:
                   Estimate  Std.Err  z-value  P(>|z|)   Std.lv  Std.all
   .VO1              -0.007    0.010   -0.717    0.473   -0.007   -0.007
   .VO2              -0.013    0.010   -1.254    0.210   -0.013   -0.013
   .VO3              -0.008    0.010   -0.815    0.415   -0.008   -0.008
   .VW1               0.015    0.010    1.464    0.143    0.015    0.015
   .VW2               0.011    0.010    1.043    0.297    0.011    0.010
   .VW3              -0.006    0.010   -0.572    0.567   -0.006   -0.006
   .VM1              -0.011    0.010   -1.086    0.277   -0.011   -0.011
   .VM2              -0.010    0.010   -0.992    0.321   -0.010   -0.010
   .VM3              -0.012    0.010   -1.195    0.232   -0.012   -0.012
   .SO1              -0.006    0.010   -0.588    0.557   -0.006   -0.006
   .SO2              -0.014    0.010   -1.405    0.160   -0.014   -0.014
   .SO3              -0.008    0.010   -0.827    0.408   -0.008   -0.008
   .SW1               0.004    0.010    0.405    0.686    0.004    0.004
   .SW2               0.007    0.010    0.673    0.501    0.007    0.007
   .SW3               0.005    0.010    0.472    0.637    0.005    0.005
   .SM1              -0.009    0.010   -0.913    0.361   -0.009   -0.009
   .SM2              -0.008    0.010   -0.754    0.451   -0.008   -0.008
   .SM3              -0.012    0.010   -1.185    0.236   -0.012   -0.012
   .QO1               0.005    0.010    0.479    0.632    0.005    0.005
   .QO2               0.005    0.010    0.458    0.647    0.005    0.005
   .QO3              -0.001    0.010   -0.144    0.886   -0.001   -0.001
   .QW1               0.010    0.010    0.950    0.342    0.010    0.009
   .QW2               0.013    0.010    1.268    0.205    0.013    0.013
   .QW3               0.025    0.010    2.555    0.011    0.025    0.026
   .QM1              -0.000    0.010   -0.046    0.963   -0.000   -0.000
   .QM2               0.009    0.010    0.876    0.381    0.009    0.009
   .QM3               0.004    0.010    0.379    0.704    0.004    0.004

Variances:
                   Estimate  Std.Err  z-value  P(>|z|)   Std.lv  Std.all
   .VO1               0.754    0.012   64.731    0.000    0.754    0.752
   .VO2               0.652    0.010   62.803    0.000    0.652    0.650
   .VO3               0.544    0.009   58.899    0.000    0.544    0.546
   .VW1               0.166    0.005   34.098    0.000    0.166    0.163
   .VW2               0.486    0.007   64.831    0.000    0.486    0.475
   .VW3               0.656    0.010   68.200    0.000    0.656    0.642
   .VM1               0.431    0.009   49.752    0.000    0.431    0.425
   .VM2               0.303    0.008   37.128    0.000    0.303    0.302
   .VM3               0.663    0.010   65.608    0.000    0.663    0.668
   .SO1               0.581    0.009   66.646    0.000    0.581    0.594
   .SO2               0.592    0.009   66.143    0.000    0.592    0.593
   .SO3               0.692    0.010   67.404    0.000    0.692    0.695
   .SW1               0.297    0.006   52.133    0.000    0.297    0.295
   .SW2               0.259    0.005   52.718    0.000    0.259    0.259
   .SW3               0.503    0.008   65.638    0.000    0.503    0.507
   .SM1               0.258    0.005   49.904    0.000    0.258    0.260
   .SM2               0.525    0.008   63.106    0.000    0.525    0.527
   .SM3               0.198    0.006   34.081    0.000    0.198    0.199
   .QO1               0.691    0.011   60.174    0.000    0.691    0.704
   .QO2               0.510    0.009   54.337    0.000    0.510    0.520
   .QO3               0.723    0.012   62.650    0.000    0.723    0.715
   .QW1               0.600    0.009   64.160    0.000    0.600    0.594
   .QW2               0.486    0.008   61.850    0.000    0.486    0.498
   .QW3               0.285    0.006   46.027    0.000    0.285    0.286
   .QM1               0.638    0.011   58.684    0.000    0.638    0.641
   .QM2               0.586    0.010   59.577    0.000    0.586    0.580
   .QM3               0.454    0.009   50.592    0.000    0.454    0.451
    Verbal            1.000                               1.000    1.000
    Spatial           1.000                               1.000    1.000
    Quant             1.000                               1.000    1.000
    g                 1.000                               1.000    1.000

R-Square:
                   Estimate
    VO1               0.248
    VO2               0.350
    VO3               0.454
    VW1               0.837
    VW2               0.525
    VW3               0.358
    VM1               0.575
    VM2               0.698
    VM3               0.332
    SO1               0.406
    SO2               0.407
    SO3               0.305
    SW1               0.705
    SW2               0.741
    SW3               0.493
    SM1               0.740
    SM2               0.473
    SM3               0.801
    QO1               0.296
    QO2               0.480
    QO3               0.285
    QW1               0.406
    QW2               0.502
    QW3               0.714
    QM1               0.359
    QM2               0.420
    QM3               0.549
Code
summary(
  cfaModelBifactorFit_full,
  fit.measures = TRUE,
  standardized = TRUE,
  rsquare = TRUE)
lavaan 0.6-21 ended normally after 45 iterations

  Estimator                                         ML
  Optimization method                           NLMINB
  Number of model parameters                       108

  Number of observations                         10000
  Number of missing patterns                         1

Model Test User Model:
                                               Standard      Scaled
  Test Statistic                              28930.049   29784.763
  Degrees of freedom                                297         297
  P-value (Chi-square)                            0.000       0.000
  Scaling correction factor                                   0.971
    Yuan-Bentler correction (Mplus variant)                        

Model Test Baseline Model:

  Test statistic                            146391.496  146201.022
  Degrees of freedom                               351         351
  P-value                                        0.000       0.000
  Scaling correction factor                                  1.001

User Model versus Baseline Model:

  Comparative Fit Index (CFI)                    0.804       0.798
  Tucker-Lewis Index (TLI)                       0.768       0.761
                                                                  
  Robust Comparative Fit Index (CFI)                         0.804
  Robust Tucker-Lewis Index (TLI)                            0.768

Loglikelihood and Information Criteria:

  Loglikelihood user model (H0)            -324368.770 -324368.770
  Scaling correction factor                                  1.083
      for the MLR correction                                      
  Loglikelihood unrestricted model (H1)    -309903.745 -309903.745
  Scaling correction factor                                  1.001
      for the MLR correction                                      
                                                                  
  Akaike (AIC)                              648953.539  648953.539
  Bayesian (BIC)                            649732.256  649732.256
  Sample-size adjusted Bayesian (SABIC)     649389.048  649389.048

Root Mean Square Error of Approximation:

  RMSEA                                          0.098       0.100
  90 Percent confidence interval - lower         0.097       0.099
  90 Percent confidence interval - upper         0.099       0.101
  P-value H_0: RMSEA <= 0.050                    0.000       0.000
  P-value H_0: RMSEA >= 0.080                    1.000       1.000
                                                                  
  Robust RMSEA                                               0.098
  90 Percent confidence interval - lower                     0.097
  90 Percent confidence interval - upper                     0.099
  P-value H_0: Robust RMSEA <= 0.050                         0.000
  P-value H_0: Robust RMSEA >= 0.080                         1.000

Standardized Root Mean Square Residual:

  SRMR                                           0.201       0.201

Parameter Estimates:

  Standard errors                             Sandwich
  Information bread                           Observed
  Observed information based on                Hessian

Latent Variables:
                   Estimate  Std.Err  z-value  P(>|z|)   Std.lv  Std.all
  Verbal =~                                                             
    VO1               0.484    0.011   42.953    0.000    0.484    0.484
    VO2               0.572    0.012   49.110    0.000    0.572    0.571
    VO3               0.648    0.011   59.594    0.000    0.648    0.649
    VW1               0.602    0.021   28.399    0.000    0.602    0.597
    VW2               0.522    0.017   31.037    0.000    0.522    0.516
    VW3               0.457    0.015   31.401    0.000    0.457    0.452
    VM1               0.764    0.009   81.260    0.000    0.764    0.758
    VM2               0.837    0.009   91.851    0.000    0.837    0.835
    VM3               0.574    0.010   58.967    0.000    0.574    0.576
  Spatial =~                                                            
    SO1               0.597    0.011   52.050    0.000    0.597    0.603
    SO2               0.603    0.012   51.513    0.000    0.603    0.603
    SO3               0.530    0.012   45.701    0.000    0.530    0.531
    SW1               0.491    0.021   23.493    0.000    0.491    0.489
    SW2               0.584    0.020   29.673    0.000    0.584    0.584
    SW3               0.416    0.018   22.716    0.000    0.416    0.417
    SM1               0.856    0.008  103.159    0.000    0.856    0.860
    SM2               0.682    0.009   72.543    0.000    0.682    0.684
    SM3               0.892    0.008  106.899    0.000    0.892    0.895
  Quant =~                                                              
    QO1               0.532    0.011   46.627    0.000    0.532    0.537
    QO2               0.673    0.010   67.359    0.000    0.673    0.680
    QO3               0.529    0.011   47.899    0.000    0.529    0.526
    QW1               0.454    0.014   33.332    0.000    0.454    0.452
    QW2               0.526    0.013   39.384    0.000    0.526    0.533
    QW3               0.616    0.015   40.075    0.000    0.616    0.618
    QM1               0.595    0.010   57.570    0.000    0.595    0.596
    QM2               0.652    0.010   64.766    0.000    0.652    0.648
    QM3               0.743    0.010   75.444    0.000    0.743    0.740
  g =~                                                                  
    VO1              -0.116    0.020   -5.713    0.000   -0.116   -0.116
    VO2              -0.155    0.023   -6.756    0.000   -0.155   -0.155
    VO3              -0.181    0.024   -7.540    0.000   -0.181   -0.181
    VW1              -0.699    0.021  -32.569    0.000   -0.699   -0.693
    VW2              -0.514    0.020  -26.246    0.000   -0.514   -0.508
    VW3              -0.397    0.018  -21.773    0.000   -0.397   -0.393
    VM1               0.038    0.030    1.237    0.216    0.038    0.037
    VM2               0.013    0.033    0.407    0.684    0.013    0.013
    VM3              -0.013    0.023   -0.552    0.581   -0.013   -0.013
    SO1              -0.202    0.023   -8.812    0.000   -0.202   -0.204
    SO2              -0.208    0.023   -8.965    0.000   -0.208   -0.208
    SO3              -0.153    0.023   -6.818    0.000   -0.153   -0.154
    SW1              -0.684    0.018  -37.922    0.000   -0.684   -0.682
    SW2              -0.633    0.021  -30.390    0.000   -0.633   -0.633
    SW3              -0.563    0.016  -34.126    0.000   -0.563   -0.565
    SM1              -0.010    0.031   -0.318    0.751   -0.010   -0.010
    SM2               0.070    0.027    2.618    0.009    0.070    0.070
    SM3               0.027    0.034    0.789    0.430    0.027    0.027
    QO1              -0.088    0.019   -4.585    0.000   -0.088   -0.089
    QO2              -0.133    0.020   -6.651    0.000   -0.133   -0.134
    QO3              -0.090    0.018   -5.060    0.000   -0.090   -0.090
    QW1              -0.452    0.015  -30.307    0.000   -0.452   -0.449
    QW2              -0.461    0.016  -27.995    0.000   -0.461   -0.467
    QW3              -0.574    0.018  -32.789    0.000   -0.574   -0.576
    QM1               0.060    0.024    2.504    0.012    0.060    0.060
    QM2              -0.000    0.023   -0.020    0.984   -0.000   -0.000
    QM3              -0.040    0.026   -1.567    0.117   -0.040   -0.040

Covariances:
                   Estimate  Std.Err  z-value  P(>|z|)   Std.lv  Std.all
  Verbal ~~                                                             
    Spatial           0.000                               0.000    0.000
    Quant             0.000                               0.000    0.000
  Spatial ~~                                                            
    Quant             0.000                               0.000    0.000
  Verbal ~~                                                             
    g                 0.000                               0.000    0.000
  Spatial ~~                                                            
    g                 0.000                               0.000    0.000
  Quant ~~                                                              
    g                 0.000                               0.000    0.000

Intercepts:
                   Estimate  Std.Err  z-value  P(>|z|)   Std.lv  Std.all
    Verbal            0.000                               0.000    0.000
    Spatial           0.000                               0.000    0.000
    Quant             0.000                               0.000    0.000
    g                 0.000                               0.000    0.000
   .VO1     (iVO1)   -0.007    0.010   -0.717    0.473   -0.007   -0.007
   .VO2     (iVO2)   -0.013    0.010   -1.254    0.210   -0.013   -0.013
   .VO3     (iVO3)   -0.008    0.010   -0.815    0.415   -0.008   -0.008
   .VW1     (iVW1)    0.015    0.010    1.464    0.143    0.015    0.015
   .VW2     (iVW2)    0.011    0.010    1.043    0.297    0.011    0.010
   .VW3     (iVW3)   -0.006    0.010   -0.572    0.567   -0.006   -0.006
   .VM1     (iVM1)   -0.011    0.010   -1.086    0.277   -0.011   -0.011
   .VM2     (iVM2)   -0.010    0.010   -0.992    0.321   -0.010   -0.010
   .VM3     (iVM3)   -0.012    0.010   -1.195    0.232   -0.012   -0.012
   .SO1     (iSO1)   -0.006    0.010   -0.588    0.557   -0.006   -0.006
   .SO2     (iSO2)   -0.014    0.010   -1.405    0.160   -0.014   -0.014
   .SO3     (iSO3)   -0.008    0.010   -0.827    0.408   -0.008   -0.008
   .SW1     (iSW1)    0.004    0.010    0.405    0.686    0.004    0.004
   .SW2     (iSW2)    0.007    0.010    0.673    0.501    0.007    0.007
   .SW3     (iSW3)    0.005    0.010    0.472    0.637    0.005    0.005
   .SM1     (iSM1)   -0.009    0.010   -0.913    0.361   -0.009   -0.009
   .SM2     (iSM2)   -0.008    0.010   -0.754    0.451   -0.008   -0.008
   .SM3     (iSM3)   -0.012    0.010   -1.185    0.236   -0.012   -0.012
   .QO1     (iQO1)    0.005    0.010    0.479    0.632    0.005    0.005
   .QO2     (iQO2)    0.005    0.010    0.458    0.647    0.005    0.005
   .QO3     (iQO3)   -0.001    0.010   -0.144    0.886   -0.001   -0.001
   .QW1     (iQW1)    0.010    0.010    0.950    0.342    0.010    0.009
   .QW2     (iQW2)    0.013    0.010    1.268    0.205    0.013    0.013
   .QW3     (iQW3)    0.025    0.010    2.555    0.011    0.025    0.026
   .QM1     (iQM1)   -0.000    0.010   -0.046    0.963   -0.000   -0.000
   .QM2     (iQM2)    0.009    0.010    0.876    0.381    0.009    0.009
   .QM3     (iQM3)    0.004    0.010    0.379    0.704    0.004    0.004

Variances:
                   Estimate  Std.Err  z-value  P(>|z|)   Std.lv  Std.all
    Verbal            1.000                               1.000    1.000
    Spatial           1.000                               1.000    1.000
    Quant             1.000                               1.000    1.000
    g                 1.000                               1.000    1.000
   .VO1               0.754    0.012   64.731    0.000    0.754    0.752
   .VO2               0.652    0.010   62.803    0.000    0.652    0.650
   .VO3               0.544    0.009   58.899    0.000    0.544    0.546
   .VW1               0.166    0.005   34.098    0.000    0.166    0.163
   .VW2               0.486    0.007   64.831    0.000    0.486    0.475
   .VW3               0.656    0.010   68.200    0.000    0.656    0.642
   .VM1               0.431    0.009   49.752    0.000    0.431    0.425
   .VM2               0.303    0.008   37.128    0.000    0.303    0.302
   .VM3               0.663    0.010   65.608    0.000    0.663    0.668
   .SO1               0.581    0.009   66.646    0.000    0.581    0.594
   .SO2               0.592    0.009   66.143    0.000    0.592    0.593
   .SO3               0.692    0.010   67.404    0.000    0.692    0.695
   .SW1               0.297    0.006   52.133    0.000    0.297    0.295
   .SW2               0.259    0.005   52.718    0.000    0.259    0.259
   .SW3               0.503    0.008   65.638    0.000    0.503    0.507
   .SM1               0.258    0.005   49.904    0.000    0.258    0.260
   .SM2               0.525    0.008   63.106    0.000    0.525    0.527
   .SM3               0.198    0.006   34.081    0.000    0.198    0.199
   .QO1               0.691    0.011   60.174    0.000    0.691    0.704
   .QO2               0.510    0.009   54.337    0.000    0.510    0.520
   .QO3               0.723    0.012   62.650    0.000    0.723    0.715
   .QW1               0.600    0.009   64.160    0.000    0.600    0.594
   .QW2               0.486    0.008   61.850    0.000    0.486    0.498
   .QW3               0.285    0.006   46.027    0.000    0.285    0.286
   .QM1               0.638    0.011   58.684    0.000    0.638    0.641
   .QM2               0.586    0.010   59.577    0.000    0.586    0.580
   .QM3               0.454    0.009   50.592    0.000    0.454    0.451

R-Square:
                   Estimate
    VO1               0.248
    VO2               0.350
    VO3               0.454
    VW1               0.837
    VW2               0.525
    VW3               0.358
    VM1               0.575
    VM2               0.698
    VM3               0.332
    SO1               0.406
    SO2               0.407
    SO3               0.305
    SW1               0.705
    SW2               0.741
    SW3               0.493
    SM1               0.740
    SM2               0.473
    SM3               0.801
    QO1               0.296
    QO2               0.480
    QO3               0.285
    QW1               0.406
    QW2               0.502
    QW3               0.714
    QM1               0.359
    QM2               0.420
    QM3               0.549
14.4.2.12.5 Estimates of model fit
Code
fitMeasures(
  cfaModelBifactorFit,
  fit.measures = c(
    "chisq", "df", "pvalue",
    "chisq.scaled", "df.scaled", "pvalue.scaled",
    "chisq.scaling.factor",
    "baseline.chisq","baseline.df","baseline.pvalue",
    "rmsea", "cfi", "tli", "srmr",
    "rmsea.robust", "cfi.robust", "tli.robust"))
               chisq                   df               pvalue 
           28930.049              297.000                0.000 
        chisq.scaled            df.scaled        pvalue.scaled 
           29784.763              297.000                0.000 
chisq.scaling.factor       baseline.chisq          baseline.df 
               0.971           146391.496              351.000 
     baseline.pvalue                rmsea                  cfi 
               0.000                0.098                0.804 
                 tli                 srmr         rmsea.robust 
               0.768                0.201                0.098 
          cfi.robust           tli.robust 
               0.804                0.768 
14.4.2.12.6 Residuals
Code
residuals(cfaModelBifactorFit, type = "cor")
$type
[1] "cor.bollen"

$cov
       VO1    VO2    VO3    VW1    VW2    VW3    VM1    VM2    VM3    SO1
VO1  0.000                                                               
VO2  0.202  0.000                                                        
VO3  0.139  0.175  0.000                                                 
VW1 -0.022 -0.015 -0.015  0.000                                          
VW2 -0.011 -0.008  0.003  0.004  0.000                                   
VW3  0.001 -0.006  0.006  0.003  0.000  0.000                            
VM1 -0.057 -0.058 -0.045  0.007 -0.010  0.000  0.000                     
VM2 -0.045 -0.052 -0.035  0.009  0.004 -0.001  0.039  0.000              
VM3 -0.031 -0.026 -0.022  0.001  0.001 -0.011  0.021  0.013  0.000       
SO1  0.336  0.408  0.398  0.215  0.197  0.181  0.312  0.345  0.239  0.000
SO2  0.331  0.406  0.393  0.206  0.196  0.183  0.304  0.342  0.237  0.170
SO3  0.401  0.480  0.419  0.187  0.180  0.157  0.257  0.285  0.213  0.214
SW1  0.119  0.146  0.167  0.180  0.153  0.117  0.282  0.299  0.200 -0.016
SW2  0.169  0.194  0.231  0.210  0.181  0.166  0.336  0.358  0.240  0.008
SW3  0.110  0.130  0.145  0.151  0.125  0.108  0.245  0.257  0.172 -0.013
SM1  0.250  0.300  0.356  0.350  0.309  0.253  0.544  0.588  0.389 -0.024
SM2  0.187  0.218  0.274  0.296  0.250  0.211  0.460  0.493  0.325 -0.055
SM3  0.261  0.312  0.366  0.380  0.324  0.280  0.598  0.644  0.422 -0.037
QO1  0.377  0.458  0.376  0.154  0.136  0.126  0.187  0.221  0.150  0.327
QO2  0.306  0.372  0.361  0.190  0.183  0.174  0.255  0.294  0.212  0.303
QO3  0.292  0.360  0.316  0.142  0.123  0.116  0.181  0.209  0.146  0.272
QW1  0.102  0.116  0.141  0.142  0.108  0.107  0.206  0.218  0.154  0.092
QW2  0.113  0.133  0.167  0.166  0.141  0.124  0.242  0.259  0.183  0.115
QW3  0.126  0.154  0.186  0.189  0.154  0.140  0.270  0.297  0.194  0.122
QM1  0.146  0.192  0.234  0.248  0.211  0.191  0.385  0.407  0.266  0.189
QM2  0.170  0.209  0.260  0.247  0.214  0.196  0.369  0.400  0.253  0.203
QM3  0.204  0.249  0.303  0.284  0.238  0.221  0.412  0.455  0.301  0.235
       SO2    SO3    SW1    SW2    SW3    SM1    SM2    SM3    QO1    QO2
VO1                                                                      
VO2                                                                      
VO3                                                                      
VW1                                                                      
VW2                                                                      
VW3                                                                      
VM1                                                                      
VM2                                                                      
VM3                                                                      
SO1                                                                      
SO2  0.000                                                               
SO3  0.218  0.000                                                        
SW1 -0.010 -0.022  0.000                                                 
SW2  0.003  0.004  0.002  0.000                                          
SW3 -0.010 -0.011  0.005  0.004  0.000                                   
SM1 -0.023 -0.036  0.000 -0.003 -0.004  0.000                            
SM2 -0.058 -0.055  0.005 -0.008  0.011  0.003  0.000                     
SM3 -0.038 -0.047  0.006  0.000  0.003  0.018  0.032  0.000              
QO1  0.328  0.427  0.077  0.112  0.075  0.172  0.124  0.182  0.000       
QO2  0.301  0.345  0.099  0.156  0.091  0.240  0.179  0.251  0.155  0.000
QO3  0.267  0.329  0.073  0.111  0.067  0.169  0.122  0.180  0.196  0.104
QW1  0.091  0.081  0.082  0.097  0.069  0.178  0.147  0.194 -0.019 -0.022
QW2  0.115  0.096  0.094  0.125  0.087  0.224  0.182  0.234 -0.040 -0.019
QW3  0.129  0.110  0.111  0.134  0.104  0.241  0.203  0.261 -0.040 -0.021
QM1  0.185  0.167  0.185  0.219  0.170  0.382  0.313  0.416 -0.066 -0.056
QM2  0.206  0.171  0.180  0.203  0.154  0.361  0.296  0.394 -0.047 -0.025
QM3  0.232  0.201  0.182  0.232  0.163  0.392  0.327  0.428 -0.055 -0.020
       QO3    QW1    QW2    QW3    QM1    QM2    QM3
VO1                                                 
VO2                                                 
VO3                                                 
VW1                                                 
VW2                                                 
VW3                                                 
VM1                                                 
VM2                                                 
VM3                                                 
SO1                                                 
SO2                                                 
SO3                                                 
SW1                                                 
SW2                                                 
SW3                                                 
SM1                                                 
SM2                                                 
SM3                                                 
QO1                                                 
QO2                                                 
QO3  0.000                                          
QW1 -0.020  0.000                                   
QW2 -0.029  0.006  0.000                            
QW3 -0.026  0.014  0.017  0.000                     
QM1 -0.064  0.016  0.009  0.019  0.000              
QM2 -0.047  0.005  0.007  0.011  0.036  0.000       
QM3 -0.043 -0.001  0.012  0.012  0.041  0.021  0.000

$mean
VO1 VO2 VO3 VW1 VW2 VW3 VM1 VM2 VM3 SO1 SO2 SO3 SW1 SW2 SW3 SM1 SM2 SM3 QO1 QO2 
  0   0   0   0   0   0   0   0   0   0   0   0   0   0   0   0   0   0   0   0 
QO3 QW1 QW2 QW3 QM1 QM2 QM3 
  0   0   0   0   0   0   0 
14.4.2.12.7 Modification indices
Code
modificationindices(cfaModelBifactorFit, sort. = TRUE)
14.4.2.12.8 Internal Consistency Reliability

Internal consistency reliability of items composing the latent factors, as quantified by omega (\(\omega\)), average variance extracted (AVE), and maximal reliability, was estimated using the semTools package (Jorgensen et al., 2021).

Code
compRelSEM(cfaModelBifactorFit) # omega_total
$Verbal

Composite `Verbal` is composed of observed variables:
    VO1, VO2, VO3, VW1, VW2, VW3, VM1, VM2, VM3
True-score variance is represented by common factor(s):
    Verbal, g
Total variance of composite `Verbal` determined from the unrestricted model.
The proportion attributable to "true" scores is its model-based estimate of reliability ("omega"):

[1] 0.872

$Spatial

Composite `Spatial` is composed of observed variables:
    SO1, SO2, SO3, SW1, SW2, SW3, SM1, SM2, SM3
True-score variance is represented by common factor(s):
    Spatial, g
Total variance of composite `Spatial` determined from the unrestricted model.
The proportion attributable to "true" scores is its model-based estimate of reliability ("omega"):

[1] 0.896

$Quant

Composite `Quant` is composed of observed variables:
    QO1, QO2, QO3, QW1, QW2, QW3, QM1, QM2, QM3
True-score variance is represented by common factor(s):
    Quant, g
Total variance of composite `Quant` determined from the unrestricted model.
The proportion attributable to "true" scores is its model-based estimate of reliability ("omega"):

[1] 0.863

$g

Composite `g` is composed of observed variables:
    VO1, VO2, VO3, VW1, VW2, VW3, VM1, VM2, VM3, SO1, SO2, SO3, SW1, SW2, SW3, SM1, SM2, SM3, QO1, QO2, QO3, QW1, QW2, QW3, QM1, QM2, QM3
True-score variance is represented by common factor(s):
    Verbal, Spatial, Quant, g
Total variance of composite `g` determined from the unrestricted model.
The proportion attributable to "true" scores is its model-based estimate of reliability ("omega"):

[1] 0.5
Code
compRelSEM(cfaModelBifactorFit, true = "omegaH") # omega_hierarchical
$Verbal

Composite `Verbal` is composed of observed variables:
    VO1, VO2, VO3, VW1, VW2, VW3, VM1, VM2, VM3
True-score variance is represented by common factor(s):
    Verbal
Total variance of composite `Verbal` determined from the unrestricted model.
The proportion attributable to "true" scores is its model-based estimate of reliability ("omega"):

[1] 0.767

$Spatial

Composite `Spatial` is composed of observed variables:
    SO1, SO2, SO3, SW1, SW2, SW3, SM1, SM2, SM3
True-score variance is represented by common factor(s):
    Spatial
Total variance of composite `Spatial` determined from the unrestricted model.
The proportion attributable to "true" scores is its model-based estimate of reliability ("omega"):

[1] 0.763

$Quant

Composite `Quant` is composed of observed variables:
    QO1, QO2, QO3, QW1, QW2, QW3, QM1, QM2, QM3
True-score variance is represented by common factor(s):
    Quant
Total variance of composite `Quant` determined from the unrestricted model.
The proportion attributable to "true" scores is its model-based estimate of reliability ("omega"):

[1] 0.776

$g

Composite `g` is composed of observed variables:
    VO1, VO2, VO3, VW1, VW2, VW3, VM1, VM2, VM3, SO1, SO2, SO3, SW1, SW2, SW3, SM1, SM2, SM3, QO1, QO2, QO3, QW1, QW2, QW3, QM1, QM2, QM3
True-score variance is represented by common factor(s):
    g
Total variance of composite `g` determined from the unrestricted model.
The proportion attributable to "true" scores is its model-based estimate of reliability ("omega"):

[1] 0.148
Code
compRelSEM(cfaModelBifactorFit, return.total = -1, true = list(.TOTAL. = "g")) # proportion of variance in scale composite that is attributable to general factor
$.TOTAL.

Composite `.TOTAL.` is composed of observed variables:
    VO1, VO2, VO3, VW1, VW2, VW3, VM1, VM2, VM3, SO1, SO2, SO3, SW1, SW2, SW3, SM1, SM2, SM3, QO1, QO2, QO3, QW1, QW2, QW3, QM1, QM2, QM3
True-score variance is represented by common factor(s):
    g
Total variance of composite `.TOTAL.` determined from the unrestricted model.
The proportion attributable to "true" scores is its model-based estimate of reliability ("omega"):

[1] 0.148
Code
AVE(cfaModelBifactorFit)
 Verbal Spatial   Quant       g 
     NA      NA      NA      NA 
Code
maximalRelia(cfaModelBifactorFit)
Error in `calcMaximalRelia()`:
! The numerical method for finding the maximal reliability did not converge.
14.4.2.12.9 Bifactor Indices
Code
BifactorIndicesCalculator::bifactorIndices(
  cfaModelBifactorFit
)
$ModelLevelIndices
    ECV.g       PUC   Omega.g  OmegaH.g 
0.2269664 0.6923077 0.9042907 0.2675674 

$FactorLevelIndices
           ECV_SS    ECV_SG    ECV_GS     Omega    OmegaH         H        FD
Verbal  0.7796232 0.2535731 0.2203768 0.8790893 0.7736569 0.8725556 0.9379034
Spatial 0.7437332 0.2801751 0.2562668 0.9055216 0.7716862 0.9115181 0.9556202
Quant   0.8028779 0.2392854 0.1971221 0.8636425 0.7764942 0.8438576 0.9229303
g       0.2269664 0.2269664 0.2269664 0.9042907 0.2675674 0.8252431 0.9330779

$ItemLevelIndices
            IECV
VO1 5.408760e-02
VO2 6.860534e-02
VO3 7.208035e-02
VW1 5.741486e-01
VW2 4.917804e-01
VW3 4.305963e-01
VM1 2.419812e-03
VM2 2.512524e-04
VM3 4.761137e-04
SO1 1.030198e-01
SO2 1.060770e-01
SO3 7.745478e-02
SW1 6.601119e-01
SW2 5.406438e-01
SW3 6.470682e-01
SM1 1.348563e-04
SM2 1.033748e-02
SM3 8.829106e-04
QO1 2.675989e-02
QO2 3.751198e-02
QO3 2.824797e-02
QW1 4.969037e-01
QW2 4.341995e-01
QW3 4.649665e-01
QM1 9.936411e-03
QM2 5.290108e-07
QM3 2.889265e-03
14.4.2.12.10 Path diagram

A path diagram of the model generated using the semPlot package (Epskamp, 2022) is in Figure 14.76.

Code
semPaths(
  cfaModelBifactorFit,
  what = "std",
  layout = "tree3",
  bifactor = c("g"),
  edge.label.cex = 1.3)
Bifactor Model.
Figure 14.76: Bifactor Model.
14.4.2.12.11 Equivalently fitting models

Markov equivalent directed acyclic graphs (DAGs) were depicted using the dagitty package (Textor et al., 2021). Path diagrams of equivalent models are below.

Code
dagModelBifactor <- lavaanToGraph(cfaModelBifactorFit)

par(mfrow = c(2, 2))
Code
lapply(equivalentDAGs(dagModelBifactor, n = 4), plot)
[[1]]
[[1]]$mar
[1] 0 0 0 0


[[2]]
[[2]]$mar
[1] 0 0 0 0


[[3]]
[[3]]$mar
[1] 0 0 0 0


[[4]]
[[4]]$mar
[1] 0 0 0 0
Equivalently Fitting Models to a Bifactor Model.
Figure 14.77: Equivalently Fitting Models to a Bifactor Model.
Equivalently Fitting Models to a Bifactor Model.
Figure 14.78: Equivalently Fitting Models to a Bifactor Model.
Equivalently Fitting Models to a Bifactor Model.
Figure 14.79: Equivalently Fitting Models to a Bifactor Model.
Equivalently Fitting Models to a Bifactor Model.
Figure 14.80: Equivalently Fitting Models to a Bifactor Model.

14.4.2.13 Multitrait-Multimethod Model (MTMM)

14.4.2.13.1 Simulate the data

We simulated the data for the multitrait-multimethod model (MTMM) in Section 5.3.1.4.2.3.

14.4.2.13.2 Specify the model

This example is courtesy of W. Joel Schneider.

Code
cfaModelMTMM_syntax <- '
 g =~ Verbal + Spatial + Quant
 Verbal =~ 
   VO1 + VO2 + VO3 + 
   VW1 + VW2 + VW3 + 
   VM1 + VM2 + VM3
 Spatial =~ 
   SO1 + SO2 + SO3 + 
   SW1 + SW2 + SW3 + 
   SM1 + SM2 + SM3
 Quant =~ 
   QO1 + QO2 + QO3 + 
   QW1 + QW2 + QW3 + 
   QM1 + QM2 + QM3
 Oral =~ 
   VO1 + VO2 + VO3 + 
   SO1 + SO2 + SO3 + 
   QO1 + QO2 + QO3
 Written =~ 
   VW1 + VW2 + VW3 + 
   SW1 + SW2 + SW3 + 
   QW1 + QW2 + QW3
 Manipulative =~ 
   VM1 + VM2 + VM3 + 
   SM1 + SM2 + SM3 + 
   QM1 + QM2 + QM3
'

cfaModelMTMM_fullSyntax <- '
 #Factor loadings (free the factor loading of the first indicator)
 g =~ NA*Verbal + Spatial + Quant
 Verbal =~ 
  NA*VO1 + VO2 + VO3 + 
  VW1 + VW2 + VW3 + 
  VM1 + VM2 + VM3
 Spatial =~ 
  NA*SO1 + SO2 + SO3 + 
  SW1 + SW2 + SW3 + 
  SM1 + SM2 + SM3
 Quant =~ 
  NA*QO1 + QO2 + QO3 + 
  QW1 + QW2 + QW3 + 
  QM1 + QM2 + QM3
 Oral =~ 
  NA*VO1 + VO2 + VO3 + 
  SO1 + SO2 + SO3 + 
  QO1 + QO2 + QO3
 Written =~ 
  NA*VW1 + VW2 + VW3 + 
  SW1 + SW2 + SW3 + 
  QW1 + QW2 + QW3
 Manipulative =~ 
  NA*VM1 + VM2 + VM3 + 
  SM1 + SM2 + SM3 + 
  QM1 + QM2 + QM3
  
 #Fix latent means to zero
 Verbal ~ 0
 Spatial ~ 0
 Quant ~ 0
 Oral ~ 0
 Written ~ 0
 Manipulative ~ 0
 g ~ 0
 
 #Fix latent variances to one
 Verbal ~~ 1*Verbal
 Spatial ~~ 1*Spatial
 Quant ~~ 1*Quant
 Oral ~~ 1*Oral
 Written ~~ 1*Written
 Manipulative ~~ 1*Manipulative
 g ~~ 1*g
 
 #Fix covariances among latent variables at zero
 Verbal ~~ 0*Spatial
 Verbal ~~ 0*Quant
 Verbal ~~ 0*Oral
 Verbal ~~ 0*Written
 Verbal ~~ 0*Manipulative
 Spatial ~~ 0*Quant
 Spatial ~~ 0*Oral
 Spatial ~~ 0*Written
 Spatial ~~ 0*Manipulative
 Quant ~~ 0*Oral
 Quant ~~ 0*Written
 Quant ~~ 0*Manipulative
 Oral ~~ 0*Written
 Oral ~~ 0*Manipulative
 Written ~~ 0*Manipulative
 g ~~ 0*Verbal
 g ~~ 0*Spatial
 g ~~ 0*Quant
 g ~~ 0*Oral
 g ~~ 0*Written
 g ~~ 0*Manipulative
 
 #Estimate residual variances of manifest variables
 VO1 ~~ VO1
 VO2 ~~ VO2
 VO3 ~~ VO3
 VW1 ~~ VW1
 VW2 ~~ VW2
 VW3 ~~ VW3
 VM1 ~~ VM1
 VM2 ~~ VM2
 VM3 ~~ VM3
 SO1 ~~ SO1
 SO2 ~~ SO2
 SO3 ~~ SO3
 SW1 ~~ SW1
 SW2 ~~ SW2
 SW3 ~~ SW3
 SM1 ~~ SM1
 SM2 ~~ SM2
 SM3 ~~ SM3
 QO1 ~~ QO1
 QO2 ~~ QO2
 QO3 ~~ QO3
 QW1 ~~ QW1
 QW2 ~~ QW2
 QW3 ~~ QW3
 QM1 ~~ QM1
 QM2 ~~ QM2
 QM3 ~~ QM3
 
 #Free intercepts of manifest variables
 VO1 ~ intVO1*1
 VO2 ~ intVO2*1
 VO3 ~ intVO3*1
 VW1 ~ intVW1*1
 VW2 ~ intVW2*1
 VW3 ~ intVW3*1
 VM1 ~ intVM1*1
 VM2 ~ intVM2*1
 VM3 ~ intVM3*1
 SO1 ~ intSO1*1
 SO2 ~ intSO2*1
 SO3 ~ intSO3*1
 SW1 ~ intSW1*1
 SW2 ~ intSW2*1
 SW3 ~ intSW3*1
 SM1 ~ intSM1*1
 SM2 ~ intSM2*1
 SM3 ~ intSM3*1
 QO1 ~ intQO1*1
 QO2 ~ intQO2*1
 QO3 ~ intQO3*1
 QW1 ~ intQW1*1
 QW2 ~ intQW2*1
 QW3 ~ intQW3*1
 QM1 ~ intQM1*1
 QM2 ~ intQM2*1
 QM3 ~ intQM3*1
'
14.4.2.13.3 Model syntax in table form:
Code
lavaanify(cfaModelMTMM_syntax)
Code
lavaanify(cfaModelMTMM_fullSyntax)
14.4.2.13.4 Fit the model
Code
cfaModelMTMMFit <- cfa(
  cfaModelMTMM_syntax,
  data = MTMM_data,
  orthogonal = TRUE,
  std.lv = TRUE,
  missing = "ML",
  estimator = "MLR")

cfaModelMTMMFit_full <- lavaan(
  cfaModelMTMM_fullSyntax,
  data = MTMM_data,
  missing = "ML",
  estimator = "MLR")
14.4.2.13.5 Display summary output
Code
summary(
  cfaModelMTMMFit,
  fit.measures = TRUE,
  standardized = TRUE,
  rsquare = TRUE)
lavaan 0.6-21 ended normally after 57 iterations

  Estimator                                         ML
  Optimization method                           NLMINB
  Number of model parameters                       111

  Number of observations                         10000
  Number of missing patterns                         1

Model Test User Model:
                                              Standard      Scaled
  Test Statistic                               254.449     254.155
  Degrees of freedom                               294         294
  P-value (Chi-square)                           0.954       0.955
  Scaling correction factor                                  1.001
    Yuan-Bentler correction (Mplus variant)                       

Model Test Baseline Model:

  Test statistic                            146391.496  146201.022
  Degrees of freedom                               351         351
  P-value                                        0.000       0.000
  Scaling correction factor                                  1.001

User Model versus Baseline Model:

  Comparative Fit Index (CFI)                    1.000       1.000
  Tucker-Lewis Index (TLI)                       1.000       1.000
                                                                  
  Robust Comparative Fit Index (CFI)                         1.000
  Robust Tucker-Lewis Index (TLI)                            1.000

Loglikelihood and Information Criteria:

  Loglikelihood user model (H0)            -310030.970 -310030.970
  Scaling correction factor                                  1.001
      for the MLR correction                                      
  Loglikelihood unrestricted model (H1)    -309903.745 -309903.745
  Scaling correction factor                                  1.001
      for the MLR correction                                      
                                                                  
  Akaike (AIC)                              620283.939  620283.939
  Bayesian (BIC)                            621084.287  621084.287
  Sample-size adjusted Bayesian (SABIC)     620731.545  620731.545

Root Mean Square Error of Approximation:

  RMSEA                                          0.000       0.000
  90 Percent confidence interval - lower         0.000       0.000
  90 Percent confidence interval - upper         0.000       0.000
  P-value H_0: RMSEA <= 0.050                    1.000       1.000
  P-value H_0: RMSEA >= 0.080                    0.000       0.000
                                                                  
  Robust RMSEA                                               0.000
  90 Percent confidence interval - lower                     0.000
  90 Percent confidence interval - upper                     0.000
  P-value H_0: Robust RMSEA <= 0.050                         1.000
  P-value H_0: Robust RMSEA >= 0.080                         0.000

Standardized Root Mean Square Residual:

  SRMR                                           0.006       0.006

Parameter Estimates:

  Standard errors                             Sandwich
  Information bread                           Observed
  Observed information based on                Hessian

Latent Variables:
                   Estimate  Std.Err  z-value  P(>|z|)   Std.lv  Std.all
  g =~                                                                  
    Verbal            2.331    0.120   19.490    0.000    0.919    0.919
    Spatial           1.194    0.029   41.325    0.000    0.767    0.767
    Quant             0.858    0.019   44.320    0.000    0.651    0.651
  Verbal =~                                                             
    VO1               0.197    0.009   21.502    0.000    0.499    0.498
    VO2               0.239    0.011   22.383    0.000    0.607    0.605
    VO3               0.280    0.012   22.655    0.000    0.710    0.710
    VW1               0.282    0.012   23.078    0.000    0.715    0.709
    VW2               0.242    0.011   22.365    0.000    0.613    0.607
    VW3               0.211    0.010   21.774    0.000    0.535    0.529
    VM1               0.242    0.011   22.563    0.000    0.614    0.610
    VM2               0.277    0.012   22.926    0.000    0.702    0.703
    VM3               0.195    0.009   21.218    0.000    0.494    0.496
  Spatial =~                                                            
    SO1               0.445    0.008   57.171    0.000    0.693    0.699
    SO2               0.450    0.008   56.641    0.000    0.700    0.700
    SO3               0.383    0.007   52.516    0.000    0.597    0.596
    SW1               0.384    0.007   57.093    0.000    0.598    0.597
    SW2               0.450    0.007   62.843    0.000    0.700    0.701
    SW3               0.323    0.007   47.171    0.000    0.502    0.505
    SM1               0.455    0.007   60.751    0.000    0.709    0.713
    SM2               0.317    0.007   44.502    0.000    0.493    0.495
    SM3               0.456    0.007   64.320    0.000    0.709    0.712
  Quant =~                                                              
    QO1               0.380    0.007   51.830    0.000    0.501    0.504
    QO2               0.523    0.008   67.618    0.000    0.689    0.694
    QO3               0.386    0.008   48.712    0.000    0.508    0.504
    QW1               0.386    0.008   50.153    0.000    0.509    0.506
    QW2               0.447    0.007   61.478    0.000    0.588    0.595
    QW3               0.527    0.007   75.098    0.000    0.695    0.696
    QM1               0.381    0.008   49.115    0.000    0.502    0.504
    QM2               0.450    0.008   57.056    0.000    0.593    0.590
    QM3               0.535    0.008   68.983    0.000    0.705    0.702
  Oral =~                                                               
    VO1               0.405    0.011   36.849    0.000    0.405    0.404
    VO2               0.494    0.010   49.808    0.000    0.494    0.492
    VO3               0.297    0.010   29.548    0.000    0.297    0.297
    SO1               0.293    0.010   29.258    0.000    0.293    0.295
    SO2               0.297    0.010   29.825    0.000    0.297    0.296
    SO3               0.512    0.010   50.395    0.000    0.512    0.512
    QO1               0.583    0.011   55.071    0.000    0.583    0.587
    QO2               0.310    0.010   31.012    0.000    0.310    0.312
    QO3               0.402    0.011   36.601    0.000    0.402    0.399
  Written =~                                                            
    VW1               0.596    0.008   74.289    0.000    0.596    0.591
    VW2               0.402    0.010   41.570    0.000    0.402    0.397
    VW3               0.289    0.011   26.689    0.000    0.289    0.286
    SW1               0.599    0.009   70.011    0.000    0.599    0.598
    SW2               0.503    0.008   59.564    0.000    0.503    0.503
    SW3               0.489    0.010   49.691    0.000    0.489    0.491
    QW1               0.400    0.010   39.373    0.000    0.400    0.397
    QW2               0.394    0.009   41.734    0.000    0.394    0.398
    QW3               0.503    0.008   59.491    0.000    0.503    0.504
  Manipulative =~                                                       
    VM1               0.495    0.009   52.937    0.000    0.495    0.493
    VM2               0.495    0.009   57.185    0.000    0.495    0.495
    VM3               0.291    0.011   26.756    0.000    0.291    0.293
    SM1               0.475    0.009   55.234    0.000    0.475    0.478
    SM2               0.498    0.010   48.305    0.000    0.498    0.499
    SM3               0.583    0.008   73.226    0.000    0.583    0.585
    QM1               0.402    0.010   38.302    0.000    0.402    0.403
    QM2               0.311    0.010   30.685    0.000    0.311    0.309
    QM3               0.300    0.010   31.426    0.000    0.300    0.299

Covariances:
                   Estimate  Std.Err  z-value  P(>|z|)   Std.lv  Std.all
  g ~~                                                                  
    Oral              0.000                               0.000    0.000
    Written           0.000                               0.000    0.000
    Manipulative      0.000                               0.000    0.000
  Oral ~~                                                               
    Written           0.000                               0.000    0.000
    Manipulative      0.000                               0.000    0.000
  Written ~~                                                            
    Manipulative      0.000                               0.000    0.000

Intercepts:
                   Estimate  Std.Err  z-value  P(>|z|)   Std.lv  Std.all
   .VO1              -0.007    0.010   -0.717    0.473   -0.007   -0.007
   .VO2              -0.013    0.010   -1.254    0.210   -0.013   -0.013
   .VO3              -0.008    0.010   -0.815    0.415   -0.008   -0.008
   .VW1               0.015    0.010    1.464    0.143    0.015    0.015
   .VW2               0.011    0.010    1.043    0.297    0.011    0.010
   .VW3              -0.006    0.010   -0.572    0.567   -0.006   -0.006
   .VM1              -0.011    0.010   -1.086    0.277   -0.011   -0.011
   .VM2              -0.010    0.010   -0.992    0.321   -0.010   -0.010
   .VM3              -0.012    0.010   -1.195    0.232   -0.012   -0.012
   .SO1              -0.006    0.010   -0.588    0.557   -0.006   -0.006
   .SO2              -0.014    0.010   -1.405    0.160   -0.014   -0.014
   .SO3              -0.008    0.010   -0.827    0.408   -0.008   -0.008
   .SW1               0.004    0.010    0.405    0.686    0.004    0.004
   .SW2               0.007    0.010    0.673    0.501    0.007    0.007
   .SW3               0.005    0.010    0.472    0.637    0.005    0.005
   .SM1              -0.009    0.010   -0.913    0.361   -0.009   -0.009
   .SM2              -0.008    0.010   -0.754    0.451   -0.008   -0.008
   .SM3              -0.012    0.010   -1.185    0.236   -0.012   -0.012
   .QO1               0.005    0.010    0.479    0.632    0.005    0.005
   .QO2               0.005    0.010    0.458    0.647    0.005    0.005
   .QO3              -0.001    0.010   -0.144    0.886   -0.001   -0.001
   .QW1               0.010    0.010    0.950    0.342    0.010    0.009
   .QW2               0.013    0.010    1.268    0.205    0.013    0.013
   .QW3               0.025    0.010    2.555    0.011    0.025    0.026
   .QM1              -0.000    0.010   -0.046    0.963   -0.000   -0.000
   .QM2               0.009    0.010    0.876    0.381    0.009    0.009
   .QM3               0.004    0.010    0.379    0.704    0.004    0.004

Variances:
                   Estimate  Std.Err  z-value  P(>|z|)   Std.lv  Std.all
   .VO1               0.591    0.009   63.350    0.000    0.591    0.589
   .VO2               0.395    0.007   54.211    0.000    0.395    0.392
   .VO3               0.407    0.007   56.302    0.000    0.407    0.408
   .VW1               0.151    0.004   37.411    0.000    0.151    0.148
   .VW2               0.485    0.007   64.821    0.000    0.485    0.474
   .VW3               0.652    0.010   67.786    0.000    0.652    0.638
   .VM1               0.389    0.007   57.784    0.000    0.389    0.385
   .VM2               0.260    0.005   50.854    0.000    0.260    0.261
   .VM3               0.662    0.010   66.688    0.000    0.662    0.668
   .SO1               0.417    0.007   60.156    0.000    0.417    0.424
   .SO2               0.423    0.007   59.184    0.000    0.423    0.423
   .SO3               0.383    0.007   52.912    0.000    0.383    0.383
   .SW1               0.287    0.005   52.962    0.000    0.287    0.286
   .SW2               0.255    0.005   53.873    0.000    0.255    0.255
   .SW3               0.499    0.008   65.345    0.000    0.499    0.504
   .SM1               0.261    0.005   54.597    0.000    0.261    0.264
   .SM2               0.503    0.008   63.845    0.000    0.503    0.506
   .SM3               0.150    0.004   37.850    0.000    0.150    0.151
   .QO1               0.396    0.008   47.010    0.000    0.396    0.402
   .QO2               0.415    0.007   56.527    0.000    0.415    0.421
   .QO3               0.595    0.009   63.503    0.000    0.595    0.586
   .QW1               0.592    0.009   64.504    0.000    0.592    0.586
   .QW2               0.475    0.008   61.934    0.000    0.475    0.487
   .QW3               0.260    0.005   47.718    0.000    0.260    0.261
   .QM1               0.581    0.009   64.008    0.000    0.581    0.584
   .QM2               0.561    0.009   63.216    0.000    0.561    0.556
   .QM3               0.420    0.008   55.556    0.000    0.420    0.417
    g                 1.000                               1.000    1.000
   .Verbal            1.000                               0.155    0.155
   .Spatial           1.000                               0.412    0.412
   .Quant             1.000                               0.576    0.576
    Oral              1.000                               1.000    1.000
    Written           1.000                               1.000    1.000
    Manipulative      1.000                               1.000    1.000

R-Square:
                   Estimate
    VO1               0.411
    VO2               0.608
    VO3               0.592
    VW1               0.852
    VW2               0.526
    VW3               0.362
    VM1               0.615
    VM2               0.739
    VM3               0.332
    SO1               0.576
    SO2               0.577
    SO3               0.617
    SW1               0.714
    SW2               0.745
    SW3               0.496
    SM1               0.736
    SM2               0.494
    SM3               0.849
    QO1               0.598
    QO2               0.579
    QO3               0.414
    QW1               0.414
    QW2               0.513
    QW3               0.739
    QM1               0.416
    QM2               0.444
    QM3               0.583
    Verbal            0.845
    Spatial           0.588
    Quant             0.424
Code
summary(
  cfaModelMTMMFit_full,
  fit.measures = TRUE,
  standardized = TRUE,
  rsquare = TRUE)
lavaan 0.6-21 ended normally after 57 iterations

  Estimator                                         ML
  Optimization method                           NLMINB
  Number of model parameters                       111

  Number of observations                         10000
  Number of missing patterns                         1

Model Test User Model:
                                              Standard      Scaled
  Test Statistic                               254.449     254.155
  Degrees of freedom                               294         294
  P-value (Chi-square)                           0.954       0.955
  Scaling correction factor                                  1.001
    Yuan-Bentler correction (Mplus variant)                       

Model Test Baseline Model:

  Test statistic                            146391.496  146201.022
  Degrees of freedom                               351         351
  P-value                                        0.000       0.000
  Scaling correction factor                                  1.001

User Model versus Baseline Model:

  Comparative Fit Index (CFI)                    1.000       1.000
  Tucker-Lewis Index (TLI)                       1.000       1.000
                                                                  
  Robust Comparative Fit Index (CFI)                         1.000
  Robust Tucker-Lewis Index (TLI)                            1.000

Loglikelihood and Information Criteria:

  Loglikelihood user model (H0)            -310030.970 -310030.970
  Scaling correction factor                                  1.001
      for the MLR correction                                      
  Loglikelihood unrestricted model (H1)    -309903.745 -309903.745
  Scaling correction factor                                  1.001
      for the MLR correction                                      
                                                                  
  Akaike (AIC)                              620283.939  620283.939
  Bayesian (BIC)                            621084.287  621084.287
  Sample-size adjusted Bayesian (SABIC)     620731.545  620731.545

Root Mean Square Error of Approximation:

  RMSEA                                          0.000       0.000
  90 Percent confidence interval - lower         0.000       0.000
  90 Percent confidence interval - upper         0.000       0.000
  P-value H_0: RMSEA <= 0.050                    1.000       1.000
  P-value H_0: RMSEA >= 0.080                    0.000       0.000
                                                                  
  Robust RMSEA                                               0.000
  90 Percent confidence interval - lower                     0.000
  90 Percent confidence interval - upper                     0.000
  P-value H_0: Robust RMSEA <= 0.050                         1.000
  P-value H_0: Robust RMSEA >= 0.080                         0.000

Standardized Root Mean Square Residual:

  SRMR                                           0.006       0.006

Parameter Estimates:

  Standard errors                             Sandwich
  Information bread                           Observed
  Observed information based on                Hessian

Latent Variables:
                   Estimate  Std.Err  z-value  P(>|z|)   Std.lv  Std.all
  g =~                                                                  
    Verbal            2.331    0.120   19.490    0.000    0.919    0.919
    Spatial           1.194    0.029   41.325    0.000    0.767    0.767
    Quant             0.858    0.019   44.320    0.000    0.651    0.651
  Verbal =~                                                             
    VO1               0.197    0.009   21.502    0.000    0.499    0.498
    VO2               0.239    0.011   22.383    0.000    0.607    0.605
    VO3               0.280    0.012   22.655    0.000    0.710    0.710
    VW1               0.282    0.012   23.078    0.000    0.715    0.709
    VW2               0.242    0.011   22.365    0.000    0.613    0.607
    VW3               0.211    0.010   21.774    0.000    0.535    0.529
    VM1               0.242    0.011   22.563    0.000    0.614    0.610
    VM2               0.277    0.012   22.926    0.000    0.702    0.703
    VM3               0.195    0.009   21.218    0.000    0.494    0.496
  Spatial =~                                                            
    SO1               0.445    0.008   57.171    0.000    0.693    0.699
    SO2               0.450    0.008   56.641    0.000    0.700    0.700
    SO3               0.383    0.007   52.516    0.000    0.597    0.596
    SW1               0.384    0.007   57.093    0.000    0.598    0.597
    SW2               0.450    0.007   62.843    0.000    0.700    0.701
    SW3               0.323    0.007   47.171    0.000    0.502    0.505
    SM1               0.455    0.007   60.751    0.000    0.709    0.713
    SM2               0.317    0.007   44.502    0.000    0.493    0.495
    SM3               0.456    0.007   64.320    0.000    0.709    0.712
  Quant =~                                                              
    QO1               0.380    0.007   51.830    0.000    0.501    0.504
    QO2               0.523    0.008   67.618    0.000    0.689    0.694
    QO3               0.386    0.008   48.712    0.000    0.508    0.504
    QW1               0.386    0.008   50.153    0.000    0.509    0.506
    QW2               0.447    0.007   61.478    0.000    0.588    0.595
    QW3               0.527    0.007   75.098    0.000    0.695    0.696
    QM1               0.381    0.008   49.115    0.000    0.502    0.504
    QM2               0.450    0.008   57.056    0.000    0.593    0.590
    QM3               0.535    0.008   68.983    0.000    0.705    0.702
  Oral =~                                                               
    VO1               0.405    0.011   36.849    0.000    0.405    0.404
    VO2               0.494    0.010   49.808    0.000    0.494    0.492
    VO3               0.297    0.010   29.548    0.000    0.297    0.297
    SO1               0.293    0.010   29.258    0.000    0.293    0.295
    SO2               0.297    0.010   29.825    0.000    0.297    0.296
    SO3               0.512    0.010   50.395    0.000    0.512    0.512
    QO1               0.583    0.011   55.071    0.000    0.583    0.587
    QO2               0.310    0.010   31.012    0.000    0.310    0.312
    QO3               0.402    0.011   36.601    0.000    0.402    0.399
  Written =~                                                            
    VW1               0.596    0.008   74.289    0.000    0.596    0.591
    VW2               0.402    0.010   41.570    0.000    0.402    0.397
    VW3               0.289    0.011   26.689    0.000    0.289    0.286
    SW1               0.599    0.009   70.011    0.000    0.599    0.598
    SW2               0.503    0.008   59.564    0.000    0.503    0.503
    SW3               0.489    0.010   49.691    0.000    0.489    0.491
    QW1               0.400    0.010   39.373    0.000    0.400    0.397
    QW2               0.394    0.009   41.734    0.000    0.394    0.398
    QW3               0.503    0.008   59.491    0.000    0.503    0.504
  Manipulative =~                                                       
    VM1               0.495    0.009   52.937    0.000    0.495    0.493
    VM2               0.495    0.009   57.185    0.000    0.495    0.495
    VM3               0.291    0.011   26.756    0.000    0.291    0.293
    SM1               0.475    0.009   55.234    0.000    0.475    0.478
    SM2               0.498    0.010   48.305    0.000    0.498    0.499
    SM3               0.583    0.008   73.226    0.000    0.583    0.585
    QM1               0.402    0.010   38.302    0.000    0.402    0.403
    QM2               0.311    0.010   30.685    0.000    0.311    0.309
    QM3               0.300    0.010   31.426    0.000    0.300    0.299

Covariances:
                   Estimate  Std.Err  z-value  P(>|z|)   Std.lv  Std.all
 .Verbal ~~                                                             
   .Spatial           0.000                               0.000    0.000
   .Quant             0.000                               0.000    0.000
    Oral              0.000                               0.000    0.000
    Written           0.000                               0.000    0.000
    Manipulative      0.000                               0.000    0.000
 .Spatial ~~                                                            
   .Quant             0.000                               0.000    0.000
    Oral              0.000                               0.000    0.000
    Written           0.000                               0.000    0.000
    Manipulative      0.000                               0.000    0.000
 .Quant ~~                                                              
    Oral              0.000                               0.000    0.000
    Written           0.000                               0.000    0.000
    Manipulative      0.000                               0.000    0.000
  Oral ~~                                                               
    Written           0.000                               0.000    0.000
    Manipulative      0.000                               0.000    0.000
  Written ~~                                                            
    Manipulative      0.000                               0.000    0.000
  g ~~                                                                  
   .Verbal            0.000                               0.000    0.000
   .Spatial           0.000                               0.000    0.000
   .Quant             0.000                               0.000    0.000
    Oral              0.000                               0.000    0.000
    Written           0.000                               0.000    0.000
    Manipulative      0.000                               0.000    0.000

Intercepts:
                   Estimate  Std.Err  z-value  P(>|z|)   Std.lv  Std.all
   .Verbal            0.000                               0.000    0.000
   .Spatial           0.000                               0.000    0.000
   .Quant             0.000                               0.000    0.000
    Oral              0.000                               0.000    0.000
    Written           0.000                               0.000    0.000
    Manpltv           0.000                               0.000    0.000
    g                 0.000                               0.000    0.000
   .VO1     (iVO1)   -0.007    0.010   -0.717    0.473   -0.007   -0.007
   .VO2     (iVO2)   -0.013    0.010   -1.254    0.210   -0.013   -0.013
   .VO3     (iVO3)   -0.008    0.010   -0.815    0.415   -0.008   -0.008
   .VW1     (iVW1)    0.015    0.010    1.464    0.143    0.015    0.015
   .VW2     (iVW2)    0.011    0.010    1.043    0.297    0.011    0.010
   .VW3     (iVW3)   -0.006    0.010   -0.572    0.567   -0.006   -0.006
   .VM1     (iVM1)   -0.011    0.010   -1.086    0.277   -0.011   -0.011
   .VM2     (iVM2)   -0.010    0.010   -0.992    0.321   -0.010   -0.010
   .VM3     (iVM3)   -0.012    0.010   -1.195    0.232   -0.012   -0.012
   .SO1     (iSO1)   -0.006    0.010   -0.588    0.557   -0.006   -0.006
   .SO2     (iSO2)   -0.014    0.010   -1.405    0.160   -0.014   -0.014
   .SO3     (iSO3)   -0.008    0.010   -0.827    0.408   -0.008   -0.008
   .SW1     (iSW1)    0.004    0.010    0.405    0.686    0.004    0.004
   .SW2     (iSW2)    0.007    0.010    0.673    0.501    0.007    0.007
   .SW3     (iSW3)    0.005    0.010    0.472    0.637    0.005    0.005
   .SM1     (iSM1)   -0.009    0.010   -0.913    0.361   -0.009   -0.009
   .SM2     (iSM2)   -0.008    0.010   -0.754    0.451   -0.008   -0.008
   .SM3     (iSM3)   -0.012    0.010   -1.185    0.236   -0.012   -0.012
   .QO1     (iQO1)    0.005    0.010    0.479    0.632    0.005    0.005
   .QO2     (iQO2)    0.005    0.010    0.458    0.647    0.005    0.005
   .QO3     (iQO3)   -0.001    0.010   -0.144    0.886   -0.001   -0.001
   .QW1     (iQW1)    0.010    0.010    0.950    0.342    0.010    0.009
   .QW2     (iQW2)    0.013    0.010    1.268    0.205    0.013    0.013
   .QW3     (iQW3)    0.025    0.010    2.555    0.011    0.025    0.026
   .QM1     (iQM1)   -0.000    0.010   -0.046    0.963   -0.000   -0.000
   .QM2     (iQM2)    0.009    0.010    0.876    0.381    0.009    0.009
   .QM3     (iQM3)    0.004    0.010    0.379    0.704    0.004    0.004

Variances:
                   Estimate  Std.Err  z-value  P(>|z|)   Std.lv  Std.all
   .Verbal            1.000                               0.155    0.155
   .Spatial           1.000                               0.412    0.412
   .Quant             1.000                               0.576    0.576
    Oral              1.000                               1.000    1.000
    Written           1.000                               1.000    1.000
    Manipulative      1.000                               1.000    1.000
    g                 1.000                               1.000    1.000
   .VO1               0.591    0.009   63.350    0.000    0.591    0.589
   .VO2               0.395    0.007   54.211    0.000    0.395    0.392
   .VO3               0.407    0.007   56.302    0.000    0.407    0.408
   .VW1               0.151    0.004   37.411    0.000    0.151    0.148
   .VW2               0.485    0.007   64.821    0.000    0.485    0.474
   .VW3               0.652    0.010   67.786    0.000    0.652    0.638
   .VM1               0.389    0.007   57.784    0.000    0.389    0.385
   .VM2               0.260    0.005   50.854    0.000    0.260    0.261
   .VM3               0.662    0.010   66.688    0.000    0.662    0.668
   .SO1               0.417    0.007   60.156    0.000    0.417    0.424
   .SO2               0.423    0.007   59.184    0.000    0.423    0.423
   .SO3               0.383    0.007   52.912    0.000    0.383    0.383
   .SW1               0.287    0.005   52.962    0.000    0.287    0.286
   .SW2               0.255    0.005   53.873    0.000    0.255    0.255
   .SW3               0.499    0.008   65.345    0.000    0.499    0.504
   .SM1               0.261    0.005   54.597    0.000    0.261    0.264
   .SM2               0.503    0.008   63.845    0.000    0.503    0.506
   .SM3               0.150    0.004   37.850    0.000    0.150    0.151
   .QO1               0.396    0.008   47.010    0.000    0.396    0.402
   .QO2               0.415    0.007   56.527    0.000    0.415    0.421
   .QO3               0.595    0.009   63.503    0.000    0.595    0.586
   .QW1               0.592    0.009   64.504    0.000    0.592    0.586
   .QW2               0.475    0.008   61.934    0.000    0.475    0.487
   .QW3               0.260    0.005   47.718    0.000    0.260    0.261
   .QM1               0.581    0.009   64.008    0.000    0.581    0.584
   .QM2               0.561    0.009   63.216    0.000    0.561    0.556
   .QM3               0.420    0.008   55.556    0.000    0.420    0.417

R-Square:
                   Estimate
    Verbal            0.845
    Spatial           0.588
    Quant             0.424
    VO1               0.411
    VO2               0.608
    VO3               0.592
    VW1               0.852
    VW2               0.526
    VW3               0.362
    VM1               0.615
    VM2               0.739
    VM3               0.332
    SO1               0.576
    SO2               0.577
    SO3               0.617
    SW1               0.714
    SW2               0.745
    SW3               0.496
    SM1               0.736
    SM2               0.494
    SM3               0.849
    QO1               0.598
    QO2               0.579
    QO3               0.414
    QW1               0.414
    QW2               0.513
    QW3               0.739
    QM1               0.416
    QM2               0.444
    QM3               0.583
14.4.2.13.6 Estimates of model fit
Code
fitMeasures(
  cfaModelMTMMFit,
  fit.measures = c(
    "chisq", "df", "pvalue",
    "chisq.scaled", "df.scaled", "pvalue.scaled",
    "chisq.scaling.factor",
    "baseline.chisq","baseline.df","baseline.pvalue",
    "rmsea", "cfi", "tli", "srmr",
    "rmsea.robust", "cfi.robust", "tli.robust"))
               chisq                   df               pvalue 
             254.449              294.000                0.954 
        chisq.scaled            df.scaled        pvalue.scaled 
             254.155              294.000                0.955 
chisq.scaling.factor       baseline.chisq          baseline.df 
               1.001           146391.496              351.000 
     baseline.pvalue                rmsea                  cfi 
               0.000                0.000                1.000 
                 tli                 srmr         rmsea.robust 
               1.000                0.006                0.000 
          cfi.robust           tli.robust 
               1.000                1.000 
14.4.2.13.7 Residuals
Code
residuals(cfaModelMTMMFit, type = "cor")
$type
[1] "cor.bollen"

$cov
       VO1    VO2    VO3    VW1    VW2    VW3    VM1    VM2    VM3    SO1
VO1  0.000                                                               
VO2 -0.003  0.000                                                        
VO3  0.001 -0.002  0.000                                                 
VW1 -0.005  0.005 -0.005  0.000                                          
VW2 -0.004 -0.001  0.000  0.000  0.000                                   
VW3  0.002 -0.007 -0.005  0.001 -0.002  0.000                            
VM1  0.001  0.001  0.007  0.001 -0.008  0.004  0.000                     
VM2  0.008 -0.002  0.006  0.000  0.002 -0.001 -0.001  0.000              
VM3  0.003  0.005  0.002  0.001  0.004 -0.009  0.010  0.000  0.000       
SO1 -0.005 -0.003 -0.002  0.007  0.002  0.001  0.003 -0.004 -0.003  0.000
SO2 -0.010 -0.006 -0.007  0.001  0.002  0.004 -0.004 -0.007 -0.005 -0.001
SO3  0.003 -0.002 -0.003 -0.004  0.003 -0.005 -0.005 -0.012  0.007 -0.003
SW1 -0.012 -0.003 -0.008  0.002  0.007 -0.009  0.000 -0.006  0.000  0.002
SW2 -0.003 -0.007 -0.006  0.001  0.003  0.010  0.011  0.002  0.002  0.000
SW3 -0.002  0.003 -0.005  0.000  0.001  0.002  0.007 -0.001  0.003  0.001
SM1  0.001 -0.002  0.001  0.001  0.010 -0.009  0.002 -0.001  0.000 -0.001
SM2  0.005 -0.004  0.013  0.001  0.003 -0.001  0.004  0.002  0.005 -0.002
SM3  0.009  0.004  0.005  0.006  0.006  0.004  0.005  0.002  0.002 -0.001
QO1  0.000  0.001  0.004  0.002 -0.001  0.002 -0.001  0.008  0.001 -0.004
QO2 -0.011 -0.012 -0.002 -0.011  0.000  0.007 -0.003  0.000  0.007 -0.004
QO3 -0.010 -0.005 -0.001 -0.010 -0.015 -0.008 -0.007 -0.004 -0.003 -0.004
QW1  0.003  0.003  0.008  0.004 -0.005  0.010  0.004 -0.001  0.009  0.007
QW2 -0.010 -0.010 -0.002  0.002  0.003  0.005  0.007  0.002  0.012  0.002
QW3 -0.015 -0.009 -0.006 -0.006 -0.007  0.001 -0.005 -0.004 -0.005 -0.003
QM1 -0.011  0.000  0.009 -0.007 -0.002  0.008  0.005 -0.004 -0.002  0.001
QM2 -0.006 -0.005  0.009 -0.003  0.000  0.009  0.001 -0.001 -0.013 -0.003
QM3 -0.001  0.001  0.012  0.014  0.003  0.015  0.007  0.011  0.006 -0.002
       SO2    SO3    SW1    SW2    SW3    SM1    SM2    SM3    QO1    QO2
VO1                                                                      
VO2                                                                      
VO3                                                                      
VW1                                                                      
VW2                                                                      
VW3                                                                      
VM1                                                                      
VM2                                                                      
VM3                                                                      
SO1                                                                      
SO2  0.000                                                               
SO3  0.001  0.000                                                        
SW1  0.009 -0.013  0.000                                                 
SW2 -0.004 -0.007  0.000  0.000                                          
SW3  0.006 -0.004 -0.001  0.004  0.000                                   
SM1 -0.001 -0.003  0.003  0.005  0.000  0.000                            
SM2 -0.006  0.002 -0.003  0.000  0.007  0.000  0.000                     
SM3 -0.002 -0.001  0.001  0.006  0.002  0.000  0.002  0.000              
QO1 -0.003 -0.010 -0.013 -0.008 -0.002 -0.007 -0.006  0.000  0.000       
QO2 -0.006  0.000 -0.016 -0.002 -0.008 -0.005 -0.002  0.000  0.000  0.000
QO3 -0.009 -0.012 -0.016 -0.008 -0.009 -0.009 -0.009 -0.002 -0.002 -0.001
QW1  0.007  0.000  0.000  0.004  0.000  0.002 -0.010  0.002  0.009 -0.005
QW2  0.004 -0.010 -0.004  0.012  0.005  0.017  0.003  0.010 -0.012 -0.008
QW3  0.005 -0.009 -0.005  0.001  0.006 -0.001 -0.009 -0.002 -0.008 -0.007
QM1 -0.003  0.008 -0.006  0.005  0.010  0.010 -0.008  0.003 -0.005 -0.008
QM2  0.000 -0.005  0.004 -0.003  0.005  0.003 -0.004  0.003  0.004  0.006
QM3 -0.005 -0.002  0.000  0.011  0.009 -0.001  0.001  0.002 -0.008  0.001
       QO3    QW1    QW2    QW3    QM1    QM2    QM3
VO1                                                 
VO2                                                 
VO3                                                 
VW1                                                 
VW2                                                 
VW3                                                 
VM1                                                 
VM2                                                 
VM3                                                 
SO1                                                 
SO2                                                 
SO3                                                 
SW1                                                 
SW2                                                 
SW3                                                 
SM1                                                 
SM2                                                 
SM3                                                 
QO1                                                 
QO2                                                 
QO3  0.000                                          
QW1  0.003  0.000                                   
QW2 -0.007 -0.003  0.000                            
QW3 -0.001  0.000 -0.001  0.000                     
QM1 -0.010  0.004 -0.001  0.002  0.000              
QM2 -0.004  0.000  0.001  0.001  0.000  0.000       
QM3 -0.005 -0.004  0.007  0.003  0.006 -0.006  0.000

$mean
VO1 VO2 VO3 VW1 VW2 VW3 VM1 VM2 VM3 SO1 SO2 SO3 SW1 SW2 SW3 SM1 SM2 SM3 QO1 QO2 
  0   0   0   0   0   0   0   0   0   0   0   0   0   0   0   0   0   0   0   0 
QO3 QW1 QW2 QW3 QM1 QM2 QM3 
  0   0   0   0   0   0   0 
14.4.2.13.8 Modification indices
Code
modificationindices(cfaModelMTMMFit, sort. = TRUE)
14.4.2.13.9 Internal Consistency Reliability

Internal consistency reliability of items composing the latent factors, as quantified by omega (\(\omega\)), average variance extracted (AVE), and maximal reliability, was estimated using the semTools package (Jorgensen et al., 2021).

Code
compRelSEM(cfaModelMTMMFit) # omega_total
$Verbal

Composite `Verbal` is composed of observed variables:
    VO1, VO2, VO3, VW1, VW2, VW3, VM1, VM2, VM3
True-score variance is represented by common factor(s):
    g
Total variance of composite `Verbal` determined from the unrestricted model.
The proportion attributable to "true" scores is its model-based estimate of reliability ("omega"):

[1] 0.654

$Spatial

Composite `Spatial` is composed of observed variables:
    SO1, SO2, SO3, SW1, SW2, SW3, SM1, SM2, SM3
True-score variance is represented by common factor(s):
    g
Total variance of composite `Spatial` determined from the unrestricted model.
The proportion attributable to "true" scores is its model-based estimate of reliability ("omega"):

[1] 0.456

$Quant

Composite `Quant` is composed of observed variables:
    QO1, QO2, QO3, QW1, QW2, QW3, QM1, QM2, QM3
True-score variance is represented by common factor(s):
    g
Total variance of composite `Quant` determined from the unrestricted model.
The proportion attributable to "true" scores is its model-based estimate of reliability ("omega"):

[1] 0.325

$Oral

Composite `Oral` is composed of observed variables:
    VO1, VO2, VO3, SO1, SO2, SO3, QO1, QO2, QO3
True-score variance is represented by common factor(s):
    g
Total variance of composite `Oral` determined from the unrestricted model.
The proportion attributable to "true" scores is its model-based estimate of reliability ("omega"):

[1] 0.476

$Written

Composite `Written` is composed of observed variables:
    VW1, VW2, VW3, SW1, SW2, SW3, QW1, QW2, QW3
True-score variance is represented by common factor(s):
    g
Total variance of composite `Written` determined from the unrestricted model.
The proportion attributable to "true" scores is its model-based estimate of reliability ("omega"):

[1] 0.421

$Manipulative

Composite `Manipulative` is composed of observed variables:
    VM1, VM2, VM3, SM1, SM2, SM3, QM1, QM2, QM3
True-score variance is represented by common factor(s):
    g
Total variance of composite `Manipulative` determined from the unrestricted model.
The proportion attributable to "true" scores is its model-based estimate of reliability ("omega"):

[1] 0.449
Code
compRelSEM(cfaModelMTMMFit, true = "omegaH") # omega_hierarchical
$Verbal

Composite `Verbal` is composed of observed variables:
    VO1, VO2, VO3, VW1, VW2, VW3, VM1, VM2, VM3
True-score variance is represented by common factor(s):
    Verbal
Total variance of composite `Verbal` determined from the unrestricted model.
The proportion attributable to "true" scores is its model-based estimate of reliability ("omega"):

[1] 0.775

$Spatial

Composite `Spatial` is composed of observed variables:
    SO1, SO2, SO3, SW1, SW2, SW3, SM1, SM2, SM3
True-score variance is represented by common factor(s):
    Spatial
Total variance of composite `Spatial` determined from the unrestricted model.
The proportion attributable to "true" scores is its model-based estimate of reliability ("omega"):

[1] 0.777

$Quant

Composite `Quant` is composed of observed variables:
    QO1, QO2, QO3, QW1, QW2, QW3, QM1, QM2, QM3
True-score variance is represented by common factor(s):
    Quant
Total variance of composite `Quant` determined from the unrestricted model.
The proportion attributable to "true" scores is its model-based estimate of reliability ("omega"):

[1] 0.767

$Oral

Composite `Oral` is composed of observed variables:
    VO1, VO2, VO3, SO1, SO2, SO3, QO1, QO2, QO3
True-score variance is represented by common factor(s):
    Oral
Total variance of composite `Oral` determined from the unrestricted model.
The proportion attributable to "true" scores is its model-based estimate of reliability ("omega"):

[1] 0.332

$Written

Composite `Written` is composed of observed variables:
    VW1, VW2, VW3, SW1, SW2, SW3, QW1, QW2, QW3
True-score variance is represented by common factor(s):
    Written
Total variance of composite `Written` determined from the unrestricted model.
The proportion attributable to "true" scores is its model-based estimate of reliability ("omega"):

[1] 0.404

$Manipulative

Composite `Manipulative` is composed of observed variables:
    VM1, VM2, VM3, SM1, SM2, SM3, QM1, QM2, QM3
True-score variance is represented by common factor(s):
    Manipulative
Total variance of composite `Manipulative` determined from the unrestricted model.
The proportion attributable to "true" scores is its model-based estimate of reliability ("omega"):

[1] 0.36
Code
AVE(cfaModelMTMMFit)
      Verbal      Spatial        Quant         Oral      Written Manipulative 
          NA           NA           NA           NA           NA           NA 
Code
maximalRelia(cfaModelMTMMFit)
[1] 0.9666956
attr(,"weight")
      VO1       VO2       VO3       VW1       VW2       VW3       VM1       VM2 
0.6193737 1.0319532 0.9611415 2.9688160 0.6933743 0.4443052 0.7500412 1.4372454 
      VM3       SO1       SO2       SO3       SW1       SW2       SW3       SM1 
0.3355674 0.9202365 0.9734727 1.2555585 1.5384985 1.4860522 0.5680727 1.4119264 
      SM2       SM3       QO1       QO2       QO3       QW1       QW2       QW3 
0.5984105 2.1729135 0.8934972 1.0782559 0.7411937 0.3763765 0.5675188 1.7699841 
      QM1       QM2       QM3 
0.4260461 0.4781529 0.5020156 
14.4.2.13.10 Bifactor Indices
Code
BifactorIndicesCalculator::bifactorIndices(
  cfaModelMTMMFit
)
$FactorLevelIndices
                ECV_SS     Omega    OmegaH         H        FD
g                  NaN       NaN       NaN 0.0000000 0.0000000
Verbal       0.6711988 0.8971234 0.7754937 0.8529355 0.2653193
Spatial      0.6368848 0.9240480 0.7769438 0.8703888 0.5418020
Quant        0.6766914 0.8830017 0.7633144 0.8410966 0.6552951
Oral         0.3080222 0.8514506 0.4766152 0.6645373 0.8401561
Written      0.3752644 0.8821328 0.5620303 0.7328789 0.8965987
Manipulative 0.3341059 0.8684448 0.5150787 0.6954478 0.8745490
14.4.2.13.11 Path diagram

A path diagram of the model generated using the semPlot package (Epskamp, 2022) is in Figure 14.81.

Code
semPaths(
  cfaModelMTMMFit,
  what = "std",
  layout = "tree3",
  bifactor = c("Verbal","Spatial","Quant","g"),
  edge.label.cex = 1.3)
Multitrait-Multimethod Model in Confirmatory Factor Analysis.
Figure 14.81: Multitrait-Multimethod Model in Confirmatory Factor Analysis.
14.4.2.13.12 Equivalently fitting models

Markov equivalent directed acyclic graphs (DAGs) were depicted using the dagitty package (Textor et al., 2021). Path diagrams of equivalently fitting models are below.

Code
dagModelMTMM <- lavaanToGraph(cfaModelMTMMFit)

par(mfrow = c(2, 2))
Code
lapply(equivalentDAGs(
  dagModelMTMM,
  n = 4),
  plot)
[[1]]
[[1]]$mar
[1] 0 0 0 0


[[2]]
[[2]]$mar
[1] 0 0 0 0


[[3]]
[[3]]$mar
[1] 0 0 0 0


[[4]]
[[4]]$mar
[1] 0 0 0 0
Equivalently Fitting Models to a Multitrait-Multimethod Model in Confirmatory Factor Analysis.
Figure 14.82: Equivalently Fitting Models to a Multitrait-Multimethod Model in Confirmatory Factor Analysis.
Equivalently Fitting Models to a Multitrait-Multimethod Model in Confirmatory Factor Analysis.
Figure 14.83: Equivalently Fitting Models to a Multitrait-Multimethod Model in Confirmatory Factor Analysis.
Equivalently Fitting Models to a Multitrait-Multimethod Model in Confirmatory Factor Analysis.
Figure 14.84: Equivalently Fitting Models to a Multitrait-Multimethod Model in Confirmatory Factor Analysis.
Equivalently Fitting Models to a Multitrait-Multimethod Model in Confirmatory Factor Analysis.
Figure 14.85: Equivalently Fitting Models to a Multitrait-Multimethod Model in Confirmatory Factor Analysis.

14.4.3 Exploratory Structural Equation Model (ESEM)

14.4.3.1 Example 1

14.4.3.1.1 Specify the model

To specify an exploratory structural equation model (ESEM), you use the factor loadings from an EFA model as the starting values in a structural equation model. In this example, I use the factor loadings from the three-factor EFA model, as specified in Section 14.4.1.2.2.2. The factor loadings are in Table 14.7.

Code
esem_loadings <- parameterEstimates(
  efa3factorObliqueLavaan_fit,
  standardized = TRUE
) %>% 
  dplyr::filter(efa == "efa1") %>% 
  dplyr::select(lhs, rhs, est) %>% 
  dplyr::rename(item = rhs, latent = lhs, loading = est)

esem_loadings
Table 14.7: Factor Loadings in Exploratory Structural Equation Model.

In ESEM, you specify one anchor item for each latent factor. You want the anchor item to be an item that has a strong loading on one latent factor and to have weak loadings on every other latent factor. The cross-loadings for the anchor item are fixed to the respective loadings from the original EFA model. I specify an anchor item for each latent factor below:

Code
anchors <- c(f1 = "x3", f2 = "x5", f3 = "x7")

The petersenlab package (Petersen, 2025) includes the make_esem_model() function that creates lavaan syntax for an ESEM model from the factor loadings of an EFA model, as adapted from Mateus Silvestrin: https://msilvestrin.me/post/esem (archived at https://perma.cc/FA8D-4NB9)

Code
esemModel_syntax <- make_esem_model(
  esem_loadings,
  anchors)

writeLines(esemModel_syntax)
f1 =~ start(0.731519509523096)*x1+start(0.583748291703279)*x2+start(0.847715845553109)*x3+start(0.0061224618573914)*x4+-0.00498246092331398*x5+start(0.0966229010843947)*x6+-0.00106786089007843*x7+start(0.283600555518608)*x8+start(0.496276934979204)*x9 
 f2 =~ start(0.139474772562034)*x1+start(-0.00800945479356107)*x2+-0.145067349472644*x3+start(0.990877224285709)*x4+start(1.12736460983691)*x5+start(0.804382018891042)*x6+0.0602438955885163*x7+start(-0.00753284252626253)*x8+start(0.00782360464751289)*x9 
 f3 =~ start(-0.0429741160104005)*x1+start(-0.179604539350993)*x2+0.00636247165395365*x3+start(0.00736980647162112)*x4+0.0341008215410021*x5+start(-0.00133134414552763)*x6+start(0.755705714528228)*x7+start(0.638194636667683)*x8+start(0.432390891115082)*x9 
14.4.3.1.2 Model syntax in table form:
Code
lavaanify(esemModel_syntax)
14.4.3.1.3 Fit the model
Code
esemModelFit <- sem(
  esemModel_syntax,
  data = HolzingerSwineford1939,
  missing = "ML",
  estimator = "MLR")
14.4.3.1.4 Display summary output
Code
summary(
  esemModelFit,
  fit.measures = TRUE,
  standardized = TRUE,
  rsquare = TRUE)
lavaan 0.6-21 ended normally after 93 iterations

  Estimator                                         ML
  Optimization method                           NLMINB
  Number of model parameters                        42

  Number of observations                           301
  Number of missing patterns                        75

Model Test User Model:
                                              Standard      Scaled
  Test Statistic                                23.051      23.723
  Degrees of freedom                                12          12
  P-value (Chi-square)                           0.027       0.022
  Scaling correction factor                                  0.972
    Yuan-Bentler correction (Mplus variant)                       

Model Test Baseline Model:

  Test statistic                               693.305     646.574
  Degrees of freedom                                36          36
  P-value                                        0.000       0.000
  Scaling correction factor                                  1.072

User Model versus Baseline Model:

  Comparative Fit Index (CFI)                    0.983       0.981
  Tucker-Lewis Index (TLI)                       0.950       0.942
                                                                  
  Robust Comparative Fit Index (CFI)                         0.980
  Robust Tucker-Lewis Index (TLI)                            0.939

Loglikelihood and Information Criteria:

  Loglikelihood user model (H0)              -3192.304   -3192.304
  Scaling correction factor                                  1.090
      for the MLR correction                                      
  Loglikelihood unrestricted model (H1)      -3180.778   -3180.778
  Scaling correction factor                                  1.064
      for the MLR correction                                      
                                                                  
  Akaike (AIC)                                6468.608    6468.608
  Bayesian (BIC)                              6624.307    6624.307
  Sample-size adjusted Bayesian (SABIC)       6491.107    6491.107

Root Mean Square Error of Approximation:

  RMSEA                                          0.055       0.057
  90 Percent confidence interval - lower         0.018       0.020
  90 Percent confidence interval - upper         0.089       0.091
  P-value H_0: RMSEA <= 0.050                    0.358       0.329
  P-value H_0: RMSEA >= 0.080                    0.124       0.144
                                                                  
  Robust RMSEA                                               0.070
  90 Percent confidence interval - lower                     0.017
  90 Percent confidence interval - upper                     0.115
  P-value H_0: Robust RMSEA <= 0.050                         0.215
  P-value H_0: Robust RMSEA >= 0.080                         0.393

Standardized Root Mean Square Residual:

  SRMR                                           0.020       0.020

Parameter Estimates:

  Standard errors                             Sandwich
  Information bread                           Observed
  Observed information based on                Hessian

Latent Variables:
                   Estimate  Std.Err  z-value  P(>|z|)   Std.lv  Std.all
  f1 =~                                                                 
    x1                0.732                               0.732    0.632
    x2                0.584    0.131    4.442    0.000    0.584    0.505
    x3                0.848    0.182    4.661    0.000    0.848    0.753
    x4                0.006    0.105    0.058    0.954    0.006    0.005
    x5               -0.005                              -0.005   -0.004
    x6                0.097    0.087    1.108    0.268    0.097    0.093
    x7               -0.001                              -0.001   -0.001
    x8                0.284    0.112    2.539    0.011    0.284    0.280
    x9                0.496    0.123    4.023    0.000    0.496    0.487
  f2 =~                                                                 
    x1                0.139                               0.139    0.120
    x2               -0.008    0.098   -0.082    0.935   -0.008   -0.007
    x3               -0.145                              -0.145   -0.129
    x4                0.991    0.401    2.472    0.013    0.991    0.843
    x5                1.127    0.442    2.549    0.011    1.127    0.869
    x6                0.804    0.333    2.414    0.016    0.804    0.774
    x7                0.060                               0.060    0.056
    x8               -0.008    0.090   -0.083    0.934   -0.008   -0.007
    x9                0.008    0.075    0.104    0.917    0.008    0.008
  f3 =~                                                                 
    x1               -0.043                              -0.043   -0.037
    x2               -0.180    0.325   -0.553    0.580   -0.180   -0.155
    x3                0.006                               0.006    0.006
    x4                0.007    0.117    0.063    0.950    0.007    0.006
    x5                0.034                               0.034    0.026
    x6               -0.001    0.090   -0.015    0.988   -0.001   -0.001
    x7                0.756    1.429    0.529    0.597    0.756    0.708
    x8                0.638    1.337    0.477    0.633    0.638    0.630
    x9                0.432    0.884    0.489    0.625    0.432    0.424

Covariances:
                   Estimate  Std.Err  z-value  P(>|z|)   Std.lv  Std.all
  f1 ~~                                                                 
    f2                0.396    0.178    2.228    0.026    0.396    0.396
    f3                0.112    0.260    0.432    0.666    0.112    0.112
  f2 ~~                                                                 
    f3                0.107    0.164    0.654    0.513    0.107    0.107

Intercepts:
                   Estimate  Std.Err  z-value  P(>|z|)   Std.lv  Std.all
   .x1                4.974    0.071   69.866    0.000    4.974    4.297
   .x2                6.047    0.070   86.533    0.000    6.047    5.230
   .x3                2.221    0.069   32.224    0.000    2.221    1.971
   .x4                3.095    0.071   43.794    0.000    3.095    2.634
   .x5                4.341    0.078   55.604    0.000    4.341    3.347
   .x6                2.188    0.064   34.270    0.000    2.188    2.104
   .x7                4.177    0.064   64.895    0.000    4.177    3.914
   .x8                5.520    0.062   89.727    0.000    5.520    5.449
   .x9                5.401    0.063   86.038    0.000    5.401    5.297

Variances:
                   Estimate  Std.Err  z-value  P(>|z|)   Std.lv  Std.all
   .x1                0.711    0.121    5.855    0.000    0.711    0.531
   .x2                0.991    0.119    8.325    0.000    0.991    0.741
   .x3                0.626    0.124    5.040    0.000    0.626    0.493
   .x4                0.393    0.073    5.413    0.000    0.393    0.284
   .x5                0.406    0.084    4.836    0.000    0.406    0.241
   .x6                0.364    0.054    6.681    0.000    0.364    0.336
   .x7                0.555    0.174    3.188    0.001    0.555    0.487
   .x8                0.501    0.117    4.291    0.000    0.501    0.488
   .x9                0.554    0.073    7.638    0.000    0.554    0.533
    f1                1.000    0.294    3.402    0.001    1.000    1.000
    f2                1.000    0.796    1.256    0.209    1.000    1.000
    f3                1.000    3.947    0.253    0.800    1.000    1.000

R-Square:
                   Estimate
    x1                0.469
    x2                0.259
    x3                0.507
    x4                0.716
    x5                0.759
    x6                0.664
    x7                0.513
    x8                0.512
    x9                0.467
14.4.3.1.5 Estimates of model fit
Code
fitMeasures(
  esemModelFit,
  fit.measures = c(
    "chisq", "df", "pvalue",
    "chisq.scaled", "df.scaled", "pvalue.scaled",
    "chisq.scaling.factor",
    "baseline.chisq","baseline.df","baseline.pvalue",
    "rmsea", "cfi", "tli", "srmr",
    "rmsea.robust", "cfi.robust", "tli.robust"))
               chisq                   df               pvalue 
              23.051               12.000                0.027 
        chisq.scaled            df.scaled        pvalue.scaled 
              23.723               12.000                0.022 
chisq.scaling.factor       baseline.chisq          baseline.df 
               0.972              693.305               36.000 
     baseline.pvalue                rmsea                  cfi 
               0.000                0.055                0.983 
                 tli                 srmr         rmsea.robust 
               0.950                0.020                0.070 
          cfi.robust           tli.robust 
               0.980                0.939 
14.4.3.1.6 Nested model comparison

A nested model comparison indicates that the ESEM model fits significantly better than the CFA model.

Code
anova(cfaModelFit, esemModelFit)
14.4.3.1.7 Residuals
Code
residuals(esemModelFit, type = "cor")
$type
[1] "cor.bollen"

$cov
       x1     x2     x3     x4     x5     x6     x7     x8     x9
x1  0.000                                                        
x2 -0.008  0.000                                                 
x3  0.001 -0.004  0.000                                          
x4  0.040 -0.022 -0.001  0.000                                   
x5 -0.019  0.013 -0.031 -0.004  0.000                            
x6 -0.034  0.015  0.024 -0.002  0.005  0.000                     
x7 -0.034 -0.037  0.027  0.035 -0.043  0.001  0.000              
x8  0.027  0.029 -0.041 -0.044  0.016  0.016 -0.007  0.000       
x9 -0.010  0.013  0.014 -0.033  0.042 -0.024 -0.009 -0.002  0.000

$mean
    x1     x2     x3     x4     x5     x6     x7     x8     x9 
 0.003 -0.001  0.003 -0.003 -0.001  0.005  0.003 -0.001  0.003 
14.4.3.1.8 Modification indices
Code
modificationindices(esemModelFit, sort. = TRUE)
14.4.3.1.9 Internal Consistency Reliability

Internal consistency reliability of items composing the latent factors, as quantified by omega (\(\omega\)), average variance extracted (AVE), and maximal reliability, was estimated using the semTools package (Jorgensen et al., 2021).

Code
compRelSEM(esemModelFit) # omega_total
$f1

Composite `f1` is composed of observed variables:
    x1, x2, x3, x4, x5, x6, x7, x8, x9
True-score variance is represented by common factor(s):
    f1, f2, f3
Total variance of composite `f1` determined from the unrestricted model.
The proportion attributable to "true" scores is its model-based estimate of reliability ("omega"):

[1] 0.861

$f2

Composite `f2` is composed of observed variables:
    x1, x2, x3, x4, x5, x6, x7, x8, x9
True-score variance is represented by common factor(s):
    f1, f2, f3
Total variance of composite `f2` determined from the unrestricted model.
The proportion attributable to "true" scores is its model-based estimate of reliability ("omega"):

[1] 0.861

$f3

Composite `f3` is composed of observed variables:
    x1, x2, x3, x4, x5, x6, x7, x8, x9
True-score variance is represented by common factor(s):
    f1, f2, f3
Total variance of composite `f3` determined from the unrestricted model.
The proportion attributable to "true" scores is its model-based estimate of reliability ("omega"):

[1] 0.861
Code
compRelSEM(esemModelFit, true = "omegaH") # omega_hierarchical: proportion of variance in scale composite that is attributable to each construct
$f1

Composite `f1` is composed of observed variables:
    x1, x2, x3, x4, x5, x6, x7, x8, x9
True-score variance is represented by common factor(s):
    f1
Total variance of composite `f1` determined from the unrestricted model.
The proportion attributable to "true" scores is its model-based estimate of reliability ("omega"):

[1] 0.264

$f2

Composite `f2` is composed of observed variables:
    x1, x2, x3, x4, x5, x6, x7, x8, x9
True-score variance is represented by common factor(s):
    f2
Total variance of composite `f2` determined from the unrestricted model.
The proportion attributable to "true" scores is its model-based estimate of reliability ("omega"):

[1] 0.252

$f3

Composite `f3` is composed of observed variables:
    x1, x2, x3, x4, x5, x6, x7, x8, x9
True-score variance is represented by common factor(s):
    f3
Total variance of composite `f3` determined from the unrestricted model.
The proportion attributable to "true" scores is its model-based estimate of reliability ("omega"):

[1] 0.078
Code
AVE(esemModelFit)
f1 f2 f3 
NA NA NA 
Code
maximalRelia(esemModelFit)
[1] 0.8982601
attr(,"weight")
       x1        x2        x3        x4        x5        x6        x7        x8 
0.6861979 0.2217819 0.5532186 1.9814189 2.0875831 1.7848617 0.4734987 0.5963193 
       x9 
0.6151198 
14.4.3.1.10 Path diagram

A path diagram of the model generated using the semPlot package (Epskamp, 2022) is in Figure 14.86.

Code
semPaths(
  esemModelFit,
  what = "std",
  layout = "tree3",
  edge.label.cex = 1.3)
Exploratory Structural Equation Model With All Cross-loadings.
Figure 14.86: Exploratory Structural Equation Model With All Cross-loadings.
14.4.3.1.11 Equivalently fitting models

Markov equivalent directed acyclic graphs (DAGs) were depicted using the dagitty package (Textor et al., 2021). Path diagrams of equivalent models are below.

Code
dagModelESEM <- lavaanToGraph(esemModelFit)

par(mfrow = c(2, 2))
Code
lapply(equivalentDAGs(
  dagModelESEM,
  n = 4),
  plot)
[[1]]
[[1]]$mar
[1] 0 0 0 0


[[2]]
[[2]]$mar
[1] 0 0 0 0


[[3]]
[[3]]$mar
[1] 0 0 0 0


[[4]]
[[4]]$mar
[1] 0 0 0 0
Equivalently Fitting Models to an Exploratory Structural Equation Model.
Figure 14.87: Equivalently Fitting Models to an Exploratory Structural Equation Model.
Equivalently Fitting Models to an Exploratory Structural Equation Model.
Figure 14.88: Equivalently Fitting Models to an Exploratory Structural Equation Model.
Equivalently Fitting Models to an Exploratory Structural Equation Model.
Figure 14.89: Equivalently Fitting Models to an Exploratory Structural Equation Model.
Equivalently Fitting Models to an Exploratory Structural Equation Model.
Figure 14.90: Equivalently Fitting Models to an Exploratory Structural Equation Model.

14.4.3.2 Example 2

14.4.3.2.1 Specify the model

Another way to fit a ESEM model in lavaan is to fit exploratory factors, confirmatory factors, and structural components in the same model. For instance, below is the syntax for a model with exploratory factors, confirmatory factors, and structural components:

Code
esem_syntax <- '
 # exploratory factors: EFA Block 1
 efa("efa1")*f1 + 
 efa("efa1")*f2 =~ x1 + x2 + x3 + x4 + x5 + x6
 
 # confirmatory factors
 speed =~ x7 + x8 + x9
 
 # regression paths
 speed ~ f1 + f2
'
14.4.3.2.2 Model syntax in table form:
Code
lavaanify(esem_syntax)
14.4.3.2.3 Fit the model
Code
esem_fit <- sem(
  esem_syntax,
  data = HolzingerSwineford1939,
  rotation = "geomin",
  missing = "ML",
  estimator = "MLR")
14.4.3.2.4 Display summary output
Code
summary(
  esem_fit,
  fit.measures = TRUE,
  standardized = TRUE,
  rsquare = TRUE)
lavaan 0.6-21 ended normally after 50 iterations

  Estimator                                         ML
  Optimization method                           NLMINB
  Number of model parameters                        36
  Row rank of the constraints matrix                 2

  Rotation method                       GEOMIN OBLIQUE
  Geomin epsilon                                 0.001
  Rotation algorithm (rstarts)                GPA (30)
  Standardized metric                             TRUE
  Row weights                                     None

  Number of observations                           301
  Number of missing patterns                        75

Model Test User Model:
                                              Standard      Scaled
  Test Statistic                                55.969      57.147
  Degrees of freedom                                20          20
  P-value (Chi-square)                           0.000       0.000
  Scaling correction factor                                  0.979
    Yuan-Bentler correction (Mplus variant)                       

Model Test Baseline Model:

  Test statistic                               693.305     646.574
  Degrees of freedom                                36          36
  P-value                                        0.000       0.000
  Scaling correction factor                                  1.072

User Model versus Baseline Model:

  Comparative Fit Index (CFI)                    0.945       0.939
  Tucker-Lewis Index (TLI)                       0.902       0.890
                                                                  
  Robust Comparative Fit Index (CFI)                         0.944
  Robust Tucker-Lewis Index (TLI)                            0.899

Loglikelihood and Information Criteria:

  Loglikelihood user model (H0)              -3208.763   -3208.763
  Scaling correction factor                                  1.114
      for the MLR correction                                      
  Loglikelihood unrestricted model (H1)      -3180.778   -3180.778
  Scaling correction factor                                  1.064
      for the MLR correction                                      
                                                                  
  Akaike (AIC)                                6485.526    6485.526
  Bayesian (BIC)                              6611.567    6611.567
  Sample-size adjusted Bayesian (SABIC)       6503.739    6503.739

Root Mean Square Error of Approximation:

  RMSEA                                          0.077       0.079
  90 Percent confidence interval - lower         0.054       0.055
  90 Percent confidence interval - upper         0.102       0.103
  P-value H_0: RMSEA <= 0.050                    0.030       0.025
  P-value H_0: RMSEA >= 0.080                    0.453       0.488
                                                                  
  Robust RMSEA                                               0.098
  90 Percent confidence interval - lower                     0.065
  90 Percent confidence interval - upper                     0.132
  P-value H_0: Robust RMSEA <= 0.050                         0.010
  P-value H_0: Robust RMSEA >= 0.080                         0.832

Standardized Root Mean Square Residual:

  SRMR                                           0.055       0.055

Parameter Estimates:

  Standard errors                             Sandwich
  Information bread                           Observed
  Observed information based on                Hessian

Latent Variables:
                   Estimate  Std.Err  z-value  P(>|z|)   Std.lv  Std.all
  f1 =~ efa1                                                            
    x1                0.643    0.142    4.524    0.000    0.643    0.557
    x2                0.488    0.115    4.258    0.000    0.488    0.423
    x3                0.878    0.108    8.121    0.000    0.878    0.780
    x4                0.004    0.020    0.186    0.853    0.004    0.003
    x5               -0.053    0.078   -0.688    0.491   -0.053   -0.041
    x6                0.088    0.072    1.217    0.224    0.088    0.084
  f2 =~ efa1                                                            
    x1                0.264    0.118    2.237    0.025    0.264    0.229
    x2                0.081    0.108    0.753    0.451    0.081    0.070
    x3               -0.031    0.031   -0.991    0.322   -0.031   -0.028
    x4                0.985    0.070   13.992    0.000    0.985    0.839
    x5                1.153    0.074   15.501    0.000    1.153    0.889
    x6                0.820    0.063   12.997    0.000    0.820    0.788
  speed =~                                                              
    x7                1.000                               0.592    0.553
    x8                1.224    0.152    8.044    0.000    0.724    0.715
    x9                1.191    0.303    3.931    0.000    0.705    0.691

Regressions:
                   Estimate  Std.Err  z-value  P(>|z|)   Std.lv  Std.all
  speed ~                                                               
    f1                0.235    0.055    4.240    0.000    0.396    0.396
    f2                0.125    0.057    2.194    0.028    0.211    0.211

Covariances:
                   Estimate  Std.Err  z-value  P(>|z|)   Std.lv  Std.all
  f1 ~~                                                                 
    f2                0.268    0.105    2.557    0.011    0.268    0.268

Intercepts:
                   Estimate  Std.Err  z-value  P(>|z|)   Std.lv  Std.all
   .x1                4.974    0.071   70.040    0.000    4.974    4.306
   .x2                6.050    0.070   86.003    0.000    6.050    5.234
   .x3                2.225    0.069   32.271    0.000    2.225    1.976
   .x4                3.095    0.071   43.809    0.000    3.095    2.634
   .x5                4.338    0.078   55.560    0.000    4.338    3.343
   .x6                2.188    0.064   34.263    0.000    2.188    2.104
   .x7                4.180    0.065   64.460    0.000    4.180    3.905
   .x8                5.517    0.062   89.572    0.000    5.517    5.449
   .x9                5.405    0.063   86.055    0.000    5.405    5.297

Variances:
                   Estimate  Std.Err  z-value  P(>|z|)   Std.lv  Std.all
   .x1                0.760    0.143    5.312    0.000    0.760    0.569
   .x2                1.069    0.122    8.760    0.000    1.069    0.801
   .x3                0.511    0.190    2.697    0.007    0.511    0.403
   .x4                0.408    0.068    5.987    0.000    0.408    0.295
   .x5                0.384    0.081    4.740    0.000    0.384    0.228
   .x6                0.363    0.054    6.687    0.000    0.363    0.336
   .x7                0.796    0.100    7.972    0.000    0.796    0.695
   .x8                0.501    0.136    3.670    0.000    0.501    0.488
   .x9                0.545    0.131    4.161    0.000    0.545    0.523
    f1                1.000                               1.000    1.000
    f2                1.000                               1.000    1.000
   .speed             0.264    0.105    2.513    0.012    0.754    0.754

R-Square:
                   Estimate
    x1                0.431
    x2                0.199
    x3                0.597
    x4                0.705
    x5                0.772
    x6                0.664
    x7                0.305
    x8                0.512
    x9                0.477
    speed             0.246
14.4.3.2.5 Estimates of model fit
Code
fitMeasures(
  esem_fit,
  fit.measures = c(
    "chisq", "df", "pvalue",
    "chisq.scaled", "df.scaled", "pvalue.scaled",
    "chisq.scaling.factor",
    "baseline.chisq","baseline.df","baseline.pvalue",
    "rmsea", "cfi", "tli", "srmr",
    "rmsea.robust", "cfi.robust", "tli.robust"))
               chisq                   df               pvalue 
              55.969               20.000                0.000 
        chisq.scaled            df.scaled        pvalue.scaled 
              57.147               20.000                0.000 
chisq.scaling.factor       baseline.chisq          baseline.df 
               0.979              693.305               36.000 
     baseline.pvalue                rmsea                  cfi 
               0.000                0.077                0.945 
                 tli                 srmr         rmsea.robust 
               0.902                0.055                0.098 
          cfi.robust           tli.robust 
               0.944                0.899 
14.4.3.2.6 Residuals
Code
residuals(esem_fit, type = "cor")
$type
[1] "cor.bollen"

$cov
       x1     x2     x3     x4     x5     x6     x7     x8     x9
x1  0.000                                                        
x2  0.036  0.000                                                 
x3 -0.009 -0.001  0.000                                          
x4  0.034 -0.027 -0.009  0.000                                   
x5 -0.012  0.017 -0.013 -0.004  0.000                            
x6 -0.038  0.015  0.013  0.003  0.002  0.000                     
x7 -0.160 -0.216 -0.100  0.004 -0.055 -0.048  0.000              
x8  0.011 -0.052 -0.044 -0.085 -0.007 -0.026  0.075  0.000       
x9  0.118  0.060  0.152 -0.004  0.085  0.017 -0.037 -0.045  0.000

$mean
    x1     x2     x3     x4     x5     x6     x7     x8     x9 
 0.003 -0.003 -0.001 -0.002  0.001  0.004  0.000  0.002  0.000 
14.4.3.2.7 Modification indices
Code
modificationindices(esem_fit, sort. = TRUE)
14.4.3.2.8 Internal Consistency Reliability

Internal consistency reliability of items composing the latent factors, as quantified by omega (\(\omega\)), average variance extracted (AVE), and maximal reliability, was estimated using the semTools package (Jorgensen et al., 2021).

Code
compRelSEM(esem_fit)
$f1

Composite `f1` is composed of observed variables:
    x1, x2, x3, x4, x5, x6
True-score variance is represented by common factor(s):
    f1, f2
Total variance of composite `f1` determined from the unrestricted model.
The proportion attributable to "true" scores is its model-based estimate of reliability ("omega"):

[1] 0.841

$f2

Composite `f2` is composed of observed variables:
    x1, x2, x3, x4, x5, x6
True-score variance is represented by common factor(s):
    f1, f2
Total variance of composite `f2` determined from the unrestricted model.
The proportion attributable to "true" scores is its model-based estimate of reliability ("omega"):

[1] 0.841

$speed

Composite `speed` is composed of observed variables:
    x7, x8, x9
True-score variance is represented by common factor(s):
    f1, f2
Total variance of composite `speed` determined from the unrestricted model.
The proportion attributable to "true" scores is its model-based estimate of reliability ("omega"):

[1] 0.171
Code
AVE(esem_fit)
   f1    f2 speed 
   NA    NA 0.428 
Code
maximalRelia(esem_fit)
[1] 0.9163767
attr(,"weight")
        x1         x2         x3         x4         x5         x6         x7 
 0.8608082  0.4595820  1.1381165  1.5920410  2.0997167  1.6167336  0.9565431 
        x8         x9 
 0.8442643 -0.5678053 
14.4.3.2.9 Path diagram

A path diagram of the model generated using the semPlot package (Epskamp, 2022) is in Figure 14.91.

Code
semPaths(
  esem_fit,
  what = "std",
  layout = "tree3",
  edge.label.cex = 1.3)
Exploratory Structural Equation Model With Exploratory Factors, Confirmatory Factors, and Regression Paths.
Figure 14.91: Exploratory Structural Equation Model With Exploratory Factors, Confirmatory Factors, and Regression Paths.
14.4.3.2.10 Equivalently fitting models

Markov equivalent directed acyclic graphs (DAGs) were depicted using the dagitty package (Textor et al., 2021). Path diagrams of equivalent models are below.

Code
dagModelESEM2 <- lavaanToGraph(esem_fit)

par(mfrow = c(2, 2))
Code
lapply(equivalentDAGs(
  dagModelESEM2,
  n = 4),
  plot)
[[1]]
[[1]]$mar
[1] 0 0 0 0


[[2]]
[[2]]$mar
[1] 0 0 0 0


[[3]]
[[3]]$mar
[1] 0 0 0 0


[[4]]
[[4]]$mar
[1] 0 0 0 0
Equivalently Fitting Models to an Exploratory Structural Equation Model.
Figure 14.92: Equivalently Fitting Models to an Exploratory Structural Equation Model.
Equivalently Fitting Models to an Exploratory Structural Equation Model.
Figure 14.93: Equivalently Fitting Models to an Exploratory Structural Equation Model.
Equivalently Fitting Models to an Exploratory Structural Equation Model.
Figure 14.94: Equivalently Fitting Models to an Exploratory Structural Equation Model.
Equivalently Fitting Models to an Exploratory Structural Equation Model.
Figure 14.95: Equivalently Fitting Models to an Exploratory Structural Equation Model.

14.5 Principal Component Analysis (PCA)

Principal component analysis (PCA) is a technique for data reduction. PCA seeks to identify the principal components of the data, so that data can be reduced to that smaller set of components. That is, PCA seeks to identify the smallest set of components that explain the most variance in the variables. Although PCA is sometimes referred to as factor analysis, PCA is not factor analysis (Lilienfeld et al., 2015). PCA uses the total variance of all variables, whereas factor analysis uses the common variance among the variables.

14.5.1 Determine number of components

Determine the number of components to retain using the Scree plot and Very Simple Structure (VSS) plot.

14.5.1.1 Scree Plot

Scree plots were generated using the psych (Revelle, 2022) and nFactors (Raiche & Magis, 2020) packages. Note that eigenvalues of factors in PCA models are higher than factors from EFA models, because PCA components include common variance among the indicators in addition to error variance, whereas EFA factors include only the common variance among the indicators. A scree plot based on parallel analysis is in Figure 14.96.

The number of components to keep would depend on which criteria one uses. Based on the rule to keep components whose eigenvalues are greater than 1 and based on the parallel test, we would keep three factors. However, based on the Cattell scree test (as operationalized by the optimal coordinates and acceleration factor), we would keep one or three factors. Therefore, interpretability of the factors would be important for deciding between whether to keep one, two, or three factors.

Code
fa.parallel(
  x = HolzingerSwineford1939[,vars],
  fm = "ml",
  fa = "pc")
Parallel analysis suggests that the number of factors =  NA  and the number of components =  3 
Scree Plot Based on Parallel Analysis in Principal Component Analysis.
Figure 14.96: Scree Plot Based on Parallel Analysis in Principal Component Analysis.

A scree plot is in Figure 14.97.

Code
screeDataPCA <- nScree(
  x = cor(
    HolzingerSwineford1939[,vars],
    use = "pairwise.complete.obs"),
  model = "components")

plotnScree(screeDataPCA)
Scree Plot in Principal Component Analysis.
Figure 14.97: Scree Plot in Principal Component Analysis.

14.5.1.2 Very Simple Structure (VSS) Plot

Very simple structure (VSS) plots were generated using the psych package (Revelle, 2022).

14.5.1.2.1 Orthogonal (Varimax) rotation

In the example with orthogonal rotation below, the very simple structure (VSS) criterion is highest with three or four components.

A VSS plot of PCA with orthogonal rotation is in Figure 14.98.

Code
vss(
  HolzingerSwineford1939[,vars],
  rotate = "varimax",
  fm = "pc")

Very Simple Structure
Call: vss(x = HolzingerSwineford1939[, vars], rotate = "varimax", fm = "pc")
VSS complexity 1 achieves a maximimum of 0.75  with  4  factors
VSS complexity 2 achieves a maximimum of 0.91  with  4  factors

The Velicer MAP achieves a minimum of 0.07  with  2  factors 

BIC achieves a minimum of  Inf  with    factors
Sample Size adjusted BIC achieves a minimum of  Inf  with    factors

Statistics by number of factors 
  vss1 vss2   map dof chisq prob sqresid  fit RMSEA BIC SABIC complex eChisq
1 0.64 0.00 0.078   0    NA   NA   5.853 0.64    NA  NA    NA      NA     NA
2 0.69 0.80 0.067   0    NA   NA   3.266 0.80    NA  NA    NA      NA     NA
3 0.74 0.88 0.071   0    NA   NA   1.434 0.91    NA  NA    NA      NA     NA
4 0.75 0.91 0.125   0    NA   NA   0.954 0.94    NA  NA    NA      NA     NA
5 0.71 0.87 0.199   0    NA   NA   0.643 0.96    NA  NA    NA      NA     NA
6 0.71 0.85 0.403   0    NA   NA   0.356 0.98    NA  NA    NA      NA     NA
7 0.71 0.84 0.447   0    NA   NA   0.147 0.99    NA  NA    NA      NA     NA
8 0.59 0.82 1.000   0    NA   NA   0.052 1.00    NA  NA    NA      NA     NA
  SRMR eCRMS eBIC
1   NA    NA   NA
2   NA    NA   NA
3   NA    NA   NA
4   NA    NA   NA
5   NA    NA   NA
6   NA    NA   NA
7   NA    NA   NA
8   NA    NA   NA
Very Simple Structure Plot With Orthogonal Rotation in Principal Component Analysis.
Figure 14.98: Very Simple Structure Plot With Orthogonal Rotation in Principal Component Analysis.
14.5.1.2.2 Oblique (Oblimin) rotation

In the example with orthogonal rotation below, the VSS criterion is highest with 2 components.

A VSS plot of PCA with oblique rotation is in Figure 14.99.

Code
vss(
  HolzingerSwineford1939[,vars],
  rotate = "oblimin",
  fm = "pc")

Very Simple Structure
Call: vss(x = HolzingerSwineford1939[, vars], rotate = "oblimin", fm = "pc")
VSS complexity 1 achieves a maximimum of 0.98  with  5  factors
VSS complexity 2 achieves a maximimum of 0.99  with  5  factors

The Velicer MAP achieves a minimum of 0.07  with  2  factors 

BIC achieves a minimum of  Inf  with    factors
Sample Size adjusted BIC achieves a minimum of  Inf  with    factors

Statistics by number of factors 
  vss1 vss2   map dof chisq prob sqresid  fit RMSEA BIC SABIC complex eChisq
1 0.64 0.00 0.078   0    NA   NA   5.853 0.64    NA  NA    NA      NA     NA
2 0.75 0.80 0.067   0    NA   NA   3.266 0.80    NA  NA    NA      NA     NA
3 0.84 0.91 0.071   0    NA   NA   1.434 0.91    NA  NA    NA      NA     NA
4 0.88 0.94 0.125   0    NA   NA   0.954 0.94    NA  NA    NA      NA     NA
5 0.88 0.95 0.199   0    NA   NA   0.643 0.96    NA  NA    NA      NA     NA
6 0.87 0.88 0.403   0    NA   NA   0.356 0.98    NA  NA    NA      NA     NA
7 0.97 0.98 0.447   0    NA   NA   0.147 0.99    NA  NA    NA      NA     NA
8 0.98 0.99 1.000   0    NA   NA   0.052 1.00    NA  NA    NA      NA     NA
  SRMR eCRMS eBIC
1   NA    NA   NA
2   NA    NA   NA
3   NA    NA   NA
4   NA    NA   NA
5   NA    NA   NA
6   NA    NA   NA
7   NA    NA   NA
8   NA    NA   NA
Very Simple Structure Plot With Oblique Rotation in Principal Component Analysis.
Figure 14.99: Very Simple Structure Plot With Oblique Rotation in Principal Component Analysis.
14.5.1.2.3 No rotation

In the example with no rotation below, the VSS criterion is highest with 3 or 4 components.

A VSS plot of PCA with no rotation is in Figure 14.100.

Code
vss(
  HolzingerSwineford1939[,vars],
  rotate = "none",
  fm = "pc")

Very Simple Structure
Call: vss(x = HolzingerSwineford1939[, vars], rotate = "none", fm = "pc")
VSS complexity 1 achieves a maximimum of 0.75  with  4  factors
VSS complexity 2 achieves a maximimum of 0.91  with  4  factors

The Velicer MAP achieves a minimum of 0.07  with  2  factors 

BIC achieves a minimum of  Inf  with    factors
Sample Size adjusted BIC achieves a minimum of  Inf  with    factors

Statistics by number of factors 
  vss1 vss2   map dof chisq prob sqresid  fit RMSEA BIC SABIC complex eChisq
1 0.64 0.00 0.078   0    NA   NA   5.853 0.64    NA  NA    NA      NA     NA
2 0.69 0.80 0.067   0    NA   NA   3.266 0.80    NA  NA    NA      NA     NA
3 0.74 0.88 0.071   0    NA   NA   1.434 0.91    NA  NA    NA      NA     NA
4 0.75 0.91 0.125   0    NA   NA   0.954 0.94    NA  NA    NA      NA     NA
5 0.71 0.87 0.199   0    NA   NA   0.643 0.96    NA  NA    NA      NA     NA
6 0.71 0.85 0.403   0    NA   NA   0.356 0.98    NA  NA    NA      NA     NA
7 0.71 0.84 0.447   0    NA   NA   0.147 0.99    NA  NA    NA      NA     NA
8 0.59 0.82 1.000   0    NA   NA   0.052 1.00    NA  NA    NA      NA     NA
  SRMR eCRMS eBIC
1   NA    NA   NA
2   NA    NA   NA
3   NA    NA   NA
4   NA    NA   NA
5   NA    NA   NA
6   NA    NA   NA
7   NA    NA   NA
8   NA    NA   NA
Very Simple Structure Plot With No Rotation in Principal Component Analysis.
Figure 14.100: Very Simple Structure Plot With No Rotation in Principal Component Analysis.

14.5.2 Run the Principal Component Analysis

Principal component analysis (PCA) models were fit using the psych package (Revelle, 2022).

14.5.2.1 Orthogonal (Varimax) rotation

Code
pca1factorOrthogonal <- principal(
  HolzingerSwineford1939[,vars],
  nfactors = 1,
  rotate = "varimax")

pca2factorOrthogonal <- principal(
  HolzingerSwineford1939[,vars],
  nfactors = 2,
  rotate = "varimax")

pca3factorOrthogonal <- principal(
  HolzingerSwineford1939[,vars],
  nfactors = 3,
  rotate = "varimax")

pca4factorOrthogonal <- principal(
  HolzingerSwineford1939[,vars],
  nfactors = 4,
  rotate = "varimax")

pca5factorOrthogonal <- principal(
  HolzingerSwineford1939[,vars],
  nfactors = 5,
  rotate = "varimax")

pca6factorOrthogonal <- principal(
  HolzingerSwineford1939[,vars],
  nfactors = 6,
  rotate = "varimax")

pca7factorOrthogonal <- principal(
  HolzingerSwineford1939[,vars],
  nfactors = 7,
  rotate = "varimax")

pca8factorOrthogonal <- principal(
  HolzingerSwineford1939[,vars],
  nfactors = 8,
  rotate = "varimax")

pca9factorOrthogonal <- principal(
  HolzingerSwineford1939[,vars],
  nfactors = 9,
  rotate = "varimax")

14.5.2.2 Oblique (Oblimin) rotation

Code
pca1factorOblique <- principal(
  HolzingerSwineford1939[,vars],
  nfactors = 1,
  rotate = "oblimin")

pca2factorOblique <- principal(
  HolzingerSwineford1939[,vars],
  nfactors = 2,
  rotate = "oblimin")

pca3factorOblique <- principal(
  HolzingerSwineford1939[,vars],
  nfactors = 3,
  rotate = "oblimin")

pca4factorOblique <- principal(
  HolzingerSwineford1939[,vars],
  nfactors = 4,
  rotate = "oblimin")

pca5factorOblique <- principal(
  HolzingerSwineford1939[,vars],
  nfactors = 5,
  rotate = "oblimin")

pca6factorOblique <- principal(
  HolzingerSwineford1939[,vars],
  nfactors = 6,
  rotate = "oblimin")

pca7factorOblique <- principal(
  HolzingerSwineford1939[,vars],
  nfactors = 7,
  rotate = "oblimin")

pca8factorOblique <- principal(
  HolzingerSwineford1939[,vars],
  nfactors = 8,
  rotate = "oblimin")

pca9factorOblique <- principal(
  HolzingerSwineford1939[,vars],
  nfactors = 9,
  rotate = "oblimin")

14.5.3 Component Loadings

14.5.3.1 Orthogonal (Varimax) rotation

Code
pca1factorOrthogonal
Principal Components Analysis
Call: principal(r = HolzingerSwineford1939[, vars], nfactors = 1, rotate = "varimax")
Standardized loadings (pattern matrix) based upon correlation matrix
    PC1   h2   u2 com
x1 0.66 0.43 0.57   1
x2 0.40 0.16 0.84   1
x3 0.53 0.28 0.72   1
x4 0.75 0.56 0.44   1
x5 0.76 0.57 0.43   1
x6 0.73 0.53 0.47   1
x7 0.33 0.11 0.89   1
x8 0.51 0.26 0.74   1
x9 0.59 0.35 0.65   1

                PC1
SS loadings    3.26
Proportion Var 0.36

Mean item complexity =  1
Test of the hypothesis that 1 component is sufficient.

The root mean square of the residuals (RMSR) is  0.12 
 with the empirical chi square  293.37  with prob <  1.5e-46 

Fit based upon off diagonal values = 0.87
Code
pca2factorOrthogonal
Principal Components Analysis
Call: principal(r = HolzingerSwineford1939[, vars], nfactors = 2, rotate = "varimax")
Standardized loadings (pattern matrix) based upon correlation matrix
     RC1  RC2   h2   u2 com
x1  0.51 0.42 0.43 0.57 1.9
x2  0.32 0.23 0.16 0.84 1.8
x3  0.27 0.54 0.36 0.64 1.5
x4  0.88 0.06 0.77 0.23 1.0
x5  0.86 0.09 0.75 0.25 1.0
x6  0.85 0.06 0.73 0.27 1.0
x7 -0.05 0.65 0.42 0.58 1.0
x8  0.08 0.77 0.60 0.40 1.0
x9  0.18 0.77 0.63 0.37 1.1

                       RC1  RC2
SS loadings           2.71 2.15
Proportion Var        0.30 0.24
Cumulative Var        0.30 0.54
Proportion Explained  0.56 0.44
Cumulative Proportion 0.56 1.00

Mean item complexity =  1.3
Test of the hypothesis that 2 components are sufficient.

The root mean square of the residuals (RMSR) is  0.08 
 with the empirical chi square  153.32  with prob <  5e-23 

Fit based upon off diagonal values = 0.93
Code
pca3factorOrthogonal
Principal Components Analysis
Call: principal(r = HolzingerSwineford1939[, vars], nfactors = 3, rotate = "varimax")
Standardized loadings (pattern matrix) based upon correlation matrix
    RC1   RC3   RC2   h2   u2 com
x1 0.32  0.68  0.15 0.59 0.41 1.5
x2 0.09  0.73 -0.12 0.55 0.45 1.1
x3 0.04  0.78  0.20 0.64 0.36 1.1
x4 0.89  0.13  0.08 0.82 0.18 1.1
x5 0.88  0.12  0.11 0.81 0.19 1.1
x6 0.86  0.13  0.07 0.77 0.23 1.1
x7 0.08 -0.16  0.83 0.73 0.27 1.1
x8 0.10  0.15  0.81 0.68 0.32 1.1
x9 0.10  0.45  0.65 0.63 0.37 1.8

                       RC1  RC3  RC2
SS loadings           2.46 1.90 1.87
Proportion Var        0.27 0.21 0.21
Cumulative Var        0.27 0.48 0.69
Proportion Explained  0.39 0.31 0.30
Cumulative Proportion 0.39 0.70 1.00

Mean item complexity =  1.2
Test of the hypothesis that 3 components are sufficient.

The root mean square of the residuals (RMSR) is  0.06 
 with the empirical chi square  75.86  with prob <  2.5e-11 

Fit based upon off diagonal values = 0.97
Code
pca4factorOrthogonal
Principal Components Analysis
Call: principal(r = HolzingerSwineford1939[, vars], nfactors = 4, rotate = "varimax")
Standardized loadings (pattern matrix) based upon correlation matrix
    RC1  RC2   RC3   RC4   h2    u2 com
x1 0.31 0.06  0.77  0.09 0.70 0.296 1.4
x2 0.11 0.00  0.22  0.96 0.97 0.028 1.1
x3 0.03 0.11  0.84  0.16 0.75 0.255 1.1
x4 0.89 0.06  0.18 -0.02 0.82 0.178 1.1
x5 0.88 0.13  0.07  0.12 0.82 0.181 1.1
x6 0.86 0.07  0.12  0.06 0.77 0.229 1.1
x7 0.07 0.83 -0.06 -0.17 0.73 0.267 1.1
x8 0.10 0.82  0.14  0.11 0.72 0.284 1.1
x9 0.09 0.62  0.47  0.14 0.63 0.368 2.0

                       RC1  RC2  RC3  RC4
SS loadings           2.45 1.80 1.64 1.02
Proportion Var        0.27 0.20 0.18 0.11
Cumulative Var        0.27 0.47 0.65 0.77
Proportion Explained  0.35 0.26 0.24 0.15
Cumulative Proportion 0.35 0.61 0.85 1.00

Mean item complexity =  1.2
Test of the hypothesis that 4 components are sufficient.

The root mean square of the residuals (RMSR) is  0.05 
 with the empirical chi square  59.6  with prob <  5.4e-11 

Fit based upon off diagonal values = 0.97
Code
pca5factorOrthogonal
Principal Components Analysis
Call: principal(r = HolzingerSwineford1939[, vars], nfactors = 5, rotate = "varimax")
Standardized loadings (pattern matrix) based upon correlation matrix
    RC1   RC2  RC3   RC4   RC5   h2    u2 com
x1 0.26  0.08 0.29  0.13  0.87 0.94 0.063 1.5
x2 0.11 -0.02 0.18  0.96  0.11 0.97 0.027 1.1
x3 0.08  0.01 0.87  0.15  0.26 0.86 0.144 1.3
x4 0.88  0.05 0.08 -0.02  0.18 0.82 0.178 1.1
x5 0.89  0.12 0.06  0.12  0.04 0.83 0.173 1.1
x6 0.87  0.06 0.07  0.06  0.09 0.77 0.225 1.1
x7 0.09  0.82 0.11 -0.17 -0.15 0.74 0.259 1.2
x8 0.07  0.85 0.01  0.13  0.29 0.83 0.171 1.3
x9 0.14  0.54 0.62  0.12  0.03 0.71 0.288 2.2

                       RC1  RC2  RC3  RC4  RC5
SS loadings           2.44 1.72 1.29 1.03 0.99
Proportion Var        0.27 0.19 0.14 0.11 0.11
Cumulative Var        0.27 0.46 0.61 0.72 0.83
Proportion Explained  0.33 0.23 0.17 0.14 0.13
Cumulative Proportion 0.33 0.56 0.73 0.87 1.00

Mean item complexity =  1.3
Test of the hypothesis that 5 components are sufficient.

The root mean square of the residuals (RMSR) is  0.05 
 with the empirical chi square  49  with prob <  2.6e-12 

Fit based upon off diagonal values = 0.98
Code
pca6factorOrthogonal
Principal Components Analysis
Call: principal(r = HolzingerSwineford1939[, vars], nfactors = 6, rotate = "varimax")
Standardized loadings (pattern matrix) based upon correlation matrix
    RC1   RC2   RC6   RC5   RC4   RC3   h2    u2 com
x1 0.26  0.00  0.12  0.87  0.13  0.28 0.94 0.062 1.5
x2 0.11 -0.05  0.07  0.11  0.97  0.16 0.99 0.010 1.1
x3 0.08  0.06  0.21  0.24  0.19  0.88 0.91 0.086 1.4
x4 0.88  0.08 -0.02  0.18  0.00  0.10 0.83 0.169 1.1
x5 0.89  0.02  0.20  0.05  0.10 -0.03 0.85 0.153 1.1
x6 0.87  0.06  0.04  0.09  0.07  0.07 0.78 0.224 1.1
x7 0.09  0.94  0.09 -0.09 -0.09  0.13 0.93 0.066 1.1
x8 0.07  0.64  0.49  0.37  0.12 -0.19 0.84 0.158 2.9
x9 0.13  0.19  0.90  0.08  0.06  0.26 0.94 0.064 1.3

                       RC1  RC2  RC6  RC5  RC4  RC3
SS loadings           2.44 1.35 1.15 1.03 1.02 1.01
Proportion Var        0.27 0.15 0.13 0.11 0.11 0.11
Cumulative Var        0.27 0.42 0.55 0.66 0.78 0.89
Proportion Explained  0.31 0.17 0.14 0.13 0.13 0.13
Cumulative Proportion 0.31 0.47 0.62 0.75 0.87 1.00

Mean item complexity =  1.4
Test of the hypothesis that 6 components are sufficient.

The root mean square of the residuals (RMSR) is  0.04 
 with the empirical chi square  31.42  with prob <  NA 

Fit based upon off diagonal values = 0.99
Code
pca7factorOrthogonal
Principal Components Analysis
Call: principal(r = HolzingerSwineford1939[, vars], nfactors = 7, rotate = "varimax")
Standardized loadings (pattern matrix) based upon correlation matrix
    RC1   RC2   RC3   RC4   RC7   RC6   RC5   h2      u2 com
x1 0.23 -0.02  0.22  0.14  0.12  0.13  0.91 0.98 0.01620 1.4
x2 0.10 -0.06  0.15  0.97  0.03  0.07  0.12 1.00 0.00079 1.1
x3 0.09  0.03  0.94  0.16  0.06  0.18  0.20 0.99 0.01059 1.3
x4 0.86  0.16  0.01  0.03 -0.10  0.05  0.27 0.86 0.14081 1.3
x5 0.89 -0.01 -0.02  0.10  0.09  0.18  0.05 0.85 0.15266 1.1
x6 0.88 -0.01  0.15  0.04  0.15 -0.03  0.04 0.83 0.17414 1.1
x7 0.07  0.95  0.03 -0.06  0.24  0.15 -0.01 0.99 0.01101 1.2
x8 0.10  0.26  0.06  0.03  0.92  0.21  0.11 0.98 0.01810 1.3
x9 0.12  0.16  0.19  0.08  0.21  0.92  0.13 0.99 0.01167 1.4

                       RC1  RC2  RC3  RC4  RC7  RC6  RC5
SS loadings           2.42 1.03 1.01 1.01 1.00 1.00 0.99
Proportion Var        0.27 0.11 0.11 0.11 0.11 0.11 0.11
Cumulative Var        0.27 0.38 0.50 0.61 0.72 0.83 0.94
Proportion Explained  0.29 0.12 0.12 0.12 0.12 0.12 0.12
Cumulative Proportion 0.29 0.41 0.53 0.65 0.76 0.88 1.00

Mean item complexity =  1.3
Test of the hypothesis that 7 components are sufficient.

The root mean square of the residuals (RMSR) is  0.02 
 with the empirical chi square  10.91  with prob <  NA 

Fit based upon off diagonal values = 1
Code
pca8factorOrthogonal
Principal Components Analysis
Call: principal(r = HolzingerSwineford1939[, vars], nfactors = 8, rotate = "varimax")
Standardized loadings (pattern matrix) based upon correlation matrix
    RC1   RC2   RC4  RC3   RC7   RC5  RC6  RC8   h2      u2 com
x1 0.21 -0.01  0.14 0.22  0.11  0.92 0.14 0.07 0.99 1.1e-02 1.4
x2 0.09 -0.06  0.97 0.15  0.03  0.12 0.07 0.04 1.00 5.2e-04 1.1
x3 0.07  0.03  0.16 0.95  0.07  0.20 0.17 0.05 1.00 1.0e-05 1.2
x4 0.89  0.14  0.03 0.06 -0.05  0.25 0.01 0.13 0.90 1.0e-01 1.3
x5 0.91 -0.04  0.09 0.03  0.15  0.02 0.14 0.15 0.91 9.3e-02 1.2
x6 0.61  0.03  0.06 0.08  0.07  0.11 0.04 0.77 1.00 5.4e-05 2.0
x7 0.07  0.95 -0.06 0.03  0.23 -0.01 0.15 0.02 0.99 8.2e-03 1.2
x8 0.08  0.26  0.03 0.07  0.93  0.11 0.20 0.05 0.99 7.7e-03 1.3
x9 0.12  0.17  0.08 0.18  0.21  0.13 0.92 0.03 1.00 2.6e-03 1.4

                       RC1  RC2  RC4  RC3  RC7  RC5  RC6  RC8
SS loadings           2.08 1.02 1.01 1.01 1.00 1.00 0.99 0.65
Proportion Var        0.23 0.11 0.11 0.11 0.11 0.11 0.11 0.07
Cumulative Var        0.23 0.35 0.46 0.57 0.68 0.79 0.90 0.97
Proportion Explained  0.24 0.12 0.12 0.12 0.11 0.11 0.11 0.07
Cumulative Proportion 0.24 0.35 0.47 0.58 0.70 0.81 0.93 1.00

Mean item complexity =  1.3
Test of the hypothesis that 8 components are sufficient.

The root mean square of the residuals (RMSR) is  0.01 
 with the empirical chi square  4.81  with prob <  NA 

Fit based upon off diagonal values = 1
Code
pca9factorOrthogonal
Principal Components Analysis
Call: principal(r = HolzingerSwineford1939[, vars], nfactors = 9, rotate = "varimax")
Standardized loadings (pattern matrix) based upon correlation matrix
    RC8   RC2   RC4  RC3   RC5  RC7  RC6  RC1  RC9 h2       u2 com
x1 0.11 -0.01  0.14 0.22  0.93 0.11 0.13 0.09 0.15  1 -1.1e-15 1.3
x2 0.05 -0.06  0.97 0.15  0.12 0.03 0.07 0.06 0.04  1 -4.4e-16 1.1
x3 0.06  0.03  0.16 0.95  0.20 0.07 0.17 0.03 0.04  1 -8.9e-16 1.2
x4 0.34  0.08  0.05 0.05  0.19 0.01 0.05 0.36 0.84  1  0.0e+00 1.9
x5 0.35  0.03  0.08 0.03  0.10 0.09 0.11 0.86 0.32  1 -1.3e-15 1.8
x6 0.90  0.03  0.06 0.07  0.12 0.07 0.05 0.30 0.27  1  1.1e-16 1.5
x7 0.03  0.96 -0.06 0.03 -0.01 0.23 0.15 0.02 0.06  1 -2.2e-16 1.2
x8 0.06  0.25  0.03 0.07  0.10 0.93 0.20 0.07 0.02  1  5.6e-16 1.3
x9 0.05  0.16  0.08 0.18  0.13 0.21 0.93 0.09 0.05  1 -6.7e-16 1.3

                       RC8  RC2  RC4  RC3  RC5  RC7  RC6  RC1  RC9
SS loadings           1.07 1.02 1.02 1.01 1.01 1.00 0.99 0.98 0.91
Proportion Var        0.12 0.11 0.11 0.11 0.11 0.11 0.11 0.11 0.10
Cumulative Var        0.12 0.23 0.34 0.46 0.57 0.68 0.79 0.90 1.00
Proportion Explained  0.12 0.11 0.11 0.11 0.11 0.11 0.11 0.11 0.10
Cumulative Proportion 0.12 0.23 0.34 0.46 0.57 0.68 0.79 0.90 1.00

Mean item complexity =  1.4
Test of the hypothesis that 9 components are sufficient.

The root mean square of the residuals (RMSR) is  0 
 with the empirical chi square  0  with prob <  NA 

Fit based upon off diagonal values = 1

14.5.3.2 Oblique (Oblimin) rotation

Code
pca1factorOblique
Principal Components Analysis
Call: principal(r = HolzingerSwineford1939[, vars], nfactors = 1, rotate = "oblimin")
Standardized loadings (pattern matrix) based upon correlation matrix
    PC1   h2   u2 com
x1 0.66 0.43 0.57   1
x2 0.40 0.16 0.84   1
x3 0.53 0.28 0.72   1
x4 0.75 0.56 0.44   1
x5 0.76 0.57 0.43   1
x6 0.73 0.53 0.47   1
x7 0.33 0.11 0.89   1
x8 0.51 0.26 0.74   1
x9 0.59 0.35 0.65   1

                PC1
SS loadings    3.26
Proportion Var 0.36

Mean item complexity =  1
Test of the hypothesis that 1 component is sufficient.

The root mean square of the residuals (RMSR) is  0.12 
 with the empirical chi square  293.37  with prob <  1.5e-46 

Fit based upon off diagonal values = 0.87
Code
pca2factorOblique
Principal Components Analysis
Call: principal(r = HolzingerSwineford1939[, vars], nfactors = 2, rotate = "oblimin")
Standardized loadings (pattern matrix) based upon correlation matrix
     TC1   TC2   h2   u2 com
x1  0.45  0.39 0.43 0.57 2.0
x2  0.29  0.21 0.16 0.84 1.8
x3  0.19  0.53 0.36 0.64 1.2
x4  0.88 -0.02 0.77 0.23 1.0
x5  0.87  0.01 0.75 0.25 1.0
x6  0.86 -0.02 0.73 0.27 1.0
x7 -0.15  0.67 0.42 0.58 1.1
x8 -0.05  0.79 0.60 0.40 1.0
x9  0.06  0.78 0.63 0.37 1.0

                       TC1  TC2
SS loadings           2.67 2.20
Proportion Var        0.30 0.24
Cumulative Var        0.30 0.54
Proportion Explained  0.55 0.45
Cumulative Proportion 0.55 1.00

 With component correlations of 
     TC1  TC2
TC1 1.00 0.25
TC2 0.25 1.00

Mean item complexity =  1.2
Test of the hypothesis that 2 components are sufficient.

The root mean square of the residuals (RMSR) is  0.08 
 with the empirical chi square  153.32  with prob <  5e-23 

Fit based upon off diagonal values = 0.93
Code
pca3factorOblique
Principal Components Analysis
Call: principal(r = HolzingerSwineford1939[, vars], nfactors = 3, rotate = "oblimin")
Standardized loadings (pattern matrix) based upon correlation matrix
     TC1   TC3   TC2   h2   u2 com
x1  0.24  0.65  0.05 0.59 0.41 1.3
x2  0.02  0.74 -0.21 0.55 0.45 1.2
x3 -0.06  0.79  0.11 0.64 0.36 1.1
x4  0.90  0.00 -0.01 0.82 0.18 1.0
x5  0.89 -0.01  0.03 0.81 0.19 1.0
x6  0.88  0.01 -0.01 0.77 0.23 1.0
x7  0.03 -0.20  0.86 0.73 0.27 1.1
x8  0.02  0.12  0.79 0.68 0.32 1.0
x9  0.00  0.43  0.60 0.63 0.37 1.8

                       TC1  TC3  TC2
SS loadings           2.49 1.90 1.82
Proportion Var        0.28 0.21 0.20
Cumulative Var        0.28 0.49 0.69
Proportion Explained  0.40 0.31 0.29
Cumulative Proportion 0.40 0.71 1.00

 With component correlations of 
     TC1  TC3  TC2
TC1 1.00 0.27 0.18
TC3 0.27 1.00 0.16
TC2 0.18 0.16 1.00

Mean item complexity =  1.2
Test of the hypothesis that 3 components are sufficient.

The root mean square of the residuals (RMSR) is  0.06 
 with the empirical chi square  75.86  with prob <  2.5e-11 

Fit based upon off diagonal values = 0.97
Code
pca4factorOblique
Principal Components Analysis
Call: principal(r = HolzingerSwineford1939[, vars], nfactors = 4, rotate = "oblimin")
Standardized loadings (pattern matrix) based upon correlation matrix
     TC1   TC2   TC3   TC4   h2    u2 com
x1  0.21 -0.05  0.78 -0.03 0.70 0.296 1.2
x2  0.02 -0.01  0.00  0.98 0.97 0.028 1.0
x3 -0.10  0.02  0.86  0.05 0.75 0.255 1.0
x4  0.90 -0.03  0.09 -0.08 0.82 0.178 1.0
x5  0.89  0.06 -0.07  0.09 0.82 0.181 1.0
x6  0.87  0.00  0.00  0.02 0.77 0.229 1.0
x7  0.03  0.85 -0.11 -0.15 0.73 0.267 1.1
x8  0.02  0.82  0.03  0.11 0.72 0.284 1.0
x9 -0.02  0.58  0.41  0.09 0.63 0.368 1.9

                       TC1  TC2  TC3  TC4
SS loadings           2.46 1.79 1.61 1.06
Proportion Var        0.27 0.20 0.18 0.12
Cumulative Var        0.27 0.47 0.65 0.77
Proportion Explained  0.36 0.26 0.23 0.15
Cumulative Proportion 0.36 0.61 0.85 1.00

 With component correlations of 
     TC1  TC2  TC3  TC4
TC1 1.00 0.18 0.28 0.17
TC2 0.18 1.00 0.21 0.03
TC3 0.28 0.21 1.00 0.36
TC4 0.17 0.03 0.36 1.00

Mean item complexity =  1.1
Test of the hypothesis that 4 components are sufficient.

The root mean square of the residuals (RMSR) is  0.05 
 with the empirical chi square  59.6  with prob <  5.4e-11 

Fit based upon off diagonal values = 0.97
Code
pca5factorOblique
Principal Components Analysis
Call: principal(r = HolzingerSwineford1939[, vars], nfactors = 5, rotate = "oblimin")
Standardized loadings (pattern matrix) based upon correlation matrix
     TC1   TC2   TC3   TC4   TC5   h2    u2 com
x1  0.09  0.06  0.13  0.00  0.88 0.94 0.063 1.1
x2  0.02 -0.01  0.03  0.98 -0.02 0.97 0.027 1.0
x3 -0.02 -0.11  0.87  0.05  0.17 0.86 0.144 1.1
x4  0.89 -0.03  0.00 -0.08  0.11 0.82 0.178 1.1
x5  0.91  0.04 -0.02  0.08 -0.07 0.83 0.173 1.0
x6  0.88 -0.02  0.00  0.02  0.01 0.77 0.225 1.0
x7  0.08  0.79  0.12 -0.17 -0.21 0.74 0.259 1.3
x8 -0.04  0.88 -0.11  0.10  0.24 0.83 0.171 1.2
x9  0.06  0.45  0.60  0.08 -0.09 0.71 0.288 2.0

                       TC1  TC2  TC3  TC4  TC5
SS loadings           2.45 1.68 1.27 1.06 1.01
Proportion Var        0.27 0.19 0.14 0.12 0.11
Cumulative Var        0.27 0.46 0.60 0.72 0.83
Proportion Explained  0.33 0.22 0.17 0.14 0.14
Cumulative Proportion 0.33 0.55 0.72 0.86 1.00

 With component correlations of 
     TC1  TC2  TC3  TC4  TC5
TC1 1.00 0.18 0.19 0.17 0.28
TC2 0.18 1.00 0.23 0.01 0.08
TC3 0.19 0.23 1.00 0.26 0.31
TC4 0.17 0.01 0.26 1.00 0.29
TC5 0.28 0.08 0.31 0.29 1.00

Mean item complexity =  1.2
Test of the hypothesis that 5 components are sufficient.

The root mean square of the residuals (RMSR) is  0.05 
 with the empirical chi square  49  with prob <  2.6e-12 

Fit based upon off diagonal values = 0.98
Code
pca6factorOblique
Principal Components Analysis
Call: principal(r = HolzingerSwineford1939[, vars], nfactors = 6, rotate = "oblimin")
Standardized loadings (pattern matrix) based upon correlation matrix
     TC1   TC6   TC2   TC5   TC4   TC3   h2    u2 com
x1  0.08 -0.09 -0.03  0.93  0.01  0.10 0.94 0.062 1.1
x2  0.01 -0.02 -0.04 -0.02  1.00  0.02 0.99 0.010 1.0
x3 -0.03  0.11  0.21  0.20  0.12  0.78 0.91 0.086 1.4
x4  0.88  0.07 -0.10  0.12 -0.05  0.06 0.83 0.169 1.1
x5  0.90 -0.06  0.17 -0.06  0.05 -0.10 0.85 0.153 1.1
x6  0.87  0.04 -0.02  0.01  0.03  0.02 0.78 0.224 1.0
x7  0.05  0.99 -0.04 -0.09 -0.04  0.07 0.93 0.066 1.0
x8 -0.07  0.48  0.34  0.36  0.10 -0.39 0.84 0.158 3.9
x9  0.05 -0.02  0.97 -0.03 -0.02  0.09 0.94 0.064 1.0

                       TC1  TC6  TC2  TC5  TC4  TC3
SS loadings           2.39 1.29 1.23 1.17 1.07 0.85
Proportion Var        0.27 0.14 0.14 0.13 0.12 0.09
Cumulative Var        0.27 0.41 0.55 0.68 0.80 0.89
Proportion Explained  0.30 0.16 0.15 0.15 0.13 0.11
Cumulative Proportion 0.30 0.46 0.61 0.76 0.89 1.00

 With component correlations of 
     TC1   TC6  TC2  TC5   TC4   TC3
TC1 1.00  0.11 0.18 0.31  0.18  0.08
TC6 0.11  1.00 0.39 0.16 -0.02 -0.07
TC2 0.18  0.39 1.00 0.36  0.23  0.10
TC5 0.31  0.16 0.36 1.00  0.30  0.22
TC4 0.18 -0.02 0.23 0.30  1.00  0.20
TC3 0.08 -0.07 0.10 0.22  0.20  1.00

Mean item complexity =  1.4
Test of the hypothesis that 6 components are sufficient.

The root mean square of the residuals (RMSR) is  0.04 
 with the empirical chi square  31.42  with prob <  NA 

Fit based upon off diagonal values = 0.99
Code
pca7factorOblique
Principal Components Analysis
Call: principal(r = HolzingerSwineford1939[, vars], nfactors = 7, rotate = "oblimin")
Standardized loadings (pattern matrix) based upon correlation matrix
     TC1   TC4   TC6   TC5   TC7   TC3   TC2   h2      u2 com
x1  0.00  0.02 -0.04  0.95  0.02  0.04  0.06 0.98 0.01620 1.0
x2  0.00  1.00  0.00  0.00 -0.01  0.00  0.00 1.00 0.00079 1.0
x3  0.01  0.02  0.02  0.03  0.04  0.97 -0.02 0.99 0.01059 1.0
x4  0.82 -0.01  0.18  0.23  0.00 -0.05 -0.19 0.86 0.14081 1.4
x5  0.90  0.06 -0.06 -0.05  0.16 -0.08  0.04 0.85 0.15266 1.1
x6  0.90 -0.01 -0.05 -0.06 -0.11  0.15  0.14 0.83 0.17414 1.2
x7 -0.01  0.00  0.97 -0.04  0.01  0.02  0.06 0.99 0.01101 1.0
x8  0.02  0.00  0.07  0.06  0.04 -0.02  0.93 0.98 0.01810 1.0
x9  0.01  0.00  0.01  0.01  0.96  0.04  0.02 0.99 0.01167 1.0

                       TC1  TC4  TC6  TC5  TC7  TC3  TC2
SS loadings           2.34 1.02 1.03 1.05 1.03 1.01 0.99
Proportion Var        0.26 0.11 0.11 0.12 0.11 0.11 0.11
Cumulative Var        0.26 0.37 0.49 0.60 0.72 0.83 0.94
Proportion Explained  0.28 0.12 0.12 0.12 0.12 0.12 0.12
Cumulative Proportion 0.28 0.40 0.52 0.64 0.76 0.88 1.00

 With component correlations of 
     TC1   TC4   TC6  TC5  TC7  TC3  TC2
TC1 1.00  0.16  0.12 0.34 0.19 0.14 0.12
TC4 0.16  1.00 -0.09 0.28 0.20 0.32 0.08
TC6 0.12 -0.09  1.00 0.07 0.31 0.07 0.40
TC5 0.34  0.28  0.07 1.00 0.29 0.39 0.16
TC7 0.19  0.20  0.31 0.29 1.00 0.33 0.39
TC3 0.14  0.32  0.07 0.39 0.33 1.00 0.17
TC2 0.12  0.08  0.40 0.16 0.39 0.17 1.00

Mean item complexity =  1.1
Test of the hypothesis that 7 components are sufficient.

The root mean square of the residuals (RMSR) is  0.02 
 with the empirical chi square  10.91  with prob <  NA 

Fit based upon off diagonal values = 1
Code
pca8factorOblique
Principal Components Analysis
Call: principal(r = HolzingerSwineford1939[, vars], nfactors = 8, rotate = "oblimin")
Standardized loadings (pattern matrix) based upon correlation matrix
    TC1  TC8  TC3   TC4   TC2   TC6   TC7   TC5   h2      u2 com
x1 0.01 0.02 0.02  0.02  0.03 -0.03  0.04  0.95 0.99 1.1e-02 1.0
x2 0.00 0.00 0.00  1.00  0.00  0.01 -0.01  0.01 1.00 5.2e-04 1.0
x3 0.00 0.00 1.00  0.00  0.00  0.00  0.00  0.00 1.00 1.0e-05 1.0
x4 0.86 0.03 0.02 -0.02 -0.06  0.14 -0.12  0.18 0.90 1.0e-01 1.2
x5 0.90 0.05 0.00  0.04  0.08 -0.11  0.12 -0.11 0.91 9.3e-02 1.1
x6 0.00 1.00 0.00  0.00  0.00  0.00  0.00  0.00 1.00 5.4e-05 1.0
x7 0.00 0.01 0.00  0.00  0.03  0.97  0.04 -0.03 0.99 8.2e-03 1.0
x8 0.01 0.00 0.01 -0.01  0.00  0.04  0.97  0.04 0.99 7.7e-03 1.0
x9 0.00 0.00 0.00  0.00  0.99  0.02 -0.01  0.02 1.00 2.6e-03 1.0

                       TC1  TC8  TC3  TC4  TC2  TC6  TC7  TC5
SS loadings           1.64 1.07 1.02 1.01 1.02 1.01 1.01 1.01
Proportion Var        0.18 0.12 0.11 0.11 0.11 0.11 0.11 0.11
Cumulative Var        0.18 0.30 0.41 0.53 0.64 0.75 0.86 0.97
Proportion Explained  0.19 0.12 0.12 0.12 0.12 0.11 0.11 0.12
Cumulative Proportion 0.19 0.31 0.42 0.54 0.66 0.77 0.88 1.00

 With component correlations of 
     TC1  TC8  TC3   TC4  TC2   TC6  TC7  TC5
TC1 1.00 0.71 0.14  0.16 0.21  0.11 0.14 0.32
TC8 0.71 1.00 0.20  0.17 0.18  0.09 0.17 0.30
TC3 0.14 0.20 1.00  0.34 0.39  0.08 0.18 0.43
TC4 0.16 0.17 0.34  1.00 0.20 -0.10 0.09 0.28
TC2 0.21 0.18 0.39  0.20 1.00  0.31 0.45 0.28
TC6 0.11 0.09 0.08 -0.10 0.31  1.00 0.43 0.05
TC7 0.14 0.17 0.18  0.09 0.45  0.43 1.00 0.19
TC5 0.32 0.30 0.43  0.28 0.28  0.05 0.19 1.00

Mean item complexity =  1
Test of the hypothesis that 8 components are sufficient.

The root mean square of the residuals (RMSR) is  0.01 
 with the empirical chi square  4.81  with prob <  NA 

Fit based upon off diagonal values = 1
Code
pca9factorOblique
Principal Components Analysis
Call: principal(r = HolzingerSwineford1939[, vars], nfactors = 9, rotate = "oblimin")
Standardized loadings (pattern matrix) based upon correlation matrix
   TC4 TC6 TC2 TC3 TC7 TC5 TC8 TC1 TC9 h2       u2 com
x1   0   0   0   0   0   1   0   0   0  1 -1.1e-15   1
x2   1   0   0   0   0   0   0   0   0  1 -4.4e-16   1
x3   0   0   0   1   0   0   0   0   0  1 -8.9e-16   1
x4   0   0   0   0   0   0   0   0   1  1  0.0e+00   1
x5   0   0   0   0   0   0   0   1   0  1 -1.3e-15   1
x6   0   0   0   0   0   0   1   0   0  1  1.1e-16   1
x7   0   1   0   0   0   0   0   0   0  1 -2.2e-16   1
x8   0   0   1   0   0   0   0   0   0  1  5.6e-16   1
x9   0   0   0   0   1   0   0   0   0  1 -6.7e-16   1

                       TC4  TC6  TC2  TC3  TC7  TC5  TC8  TC1  TC9
SS loadings           1.00 1.00 1.00 1.00 1.00 1.00 1.00 1.00 1.00
Proportion Var        0.11 0.11 0.11 0.11 0.11 0.11 0.11 0.11 0.11
Cumulative Var        0.11 0.22 0.33 0.44 0.56 0.67 0.78 0.89 1.00
Proportion Explained  0.11 0.11 0.11 0.11 0.11 0.11 0.11 0.11 0.11
Cumulative Proportion 0.11 0.22 0.33 0.44 0.56 0.67 0.78 0.89 1.00

 With component correlations of 
      TC4   TC6  TC2  TC3  TC7  TC5  TC8  TC1  TC9
TC4  1.00 -0.09 0.09 0.34 0.20 0.32 0.17 0.19 0.15
TC6 -0.09  1.00 0.49 0.09 0.35 0.04 0.10 0.11 0.15
TC2  0.09  0.49 1.00 0.20 0.46 0.26 0.19 0.21 0.13
TC3  0.34  0.09 0.20 1.00 0.40 0.46 0.19 0.15 0.18
TC7  0.20  0.35 0.46 0.40 1.00 0.34 0.18 0.26 0.19
TC5  0.32  0.04 0.26 0.46 0.34 1.00 0.32 0.31 0.40
TC8  0.17  0.10 0.19 0.19 0.18 0.32 1.00 0.69 0.68
TC1  0.19  0.11 0.21 0.15 0.26 0.31 0.69 1.00 0.73
TC9  0.15  0.15 0.13 0.18 0.19 0.40 0.68 0.73 1.00

Mean item complexity =  1
Test of the hypothesis that 9 components are sufficient.

The root mean square of the residuals (RMSR) is  0 
 with the empirical chi square  0  with prob <  NA 

Fit based upon off diagonal values = 1

14.5.4 Component Scores

14.5.4.1 Orthogonal (Varimax) rotation

Code
pca3Orthogonal <- pca3factorOrthogonal$scores

14.5.4.2 Oblique (Oblimin) rotation

Code
pca3Oblique <- pca3factorOblique$scores

14.5.5 Plots

Biplots were generated using the psych package (Revelle, 2022). Pairs panel plots were generated using the psych package (Revelle, 2022). Correlation plots were generated using the corrplot package (Wei & Simko, 2021).

14.5.5.1 Biplot

A biplot is in Figure 14.101.

Code
biplot(pca2factorOrthogonal)
abline(h = 0, v = 0, lty = 2)
Biplot Using Orthogonal Rotation in Principal Component Analysis.
Figure 14.101: Biplot Using Orthogonal Rotation in Principal Component Analysis.

14.5.5.2 Orthogonal (Varimax) rotation

A pairs panel plot is in Figure 14.102.

Code
pairs.panels(pca3Orthogonal)
Pairs Panel Plot Using Orthogonal Rotation in Principal Component Analysis.
Figure 14.102: Pairs Panel Plot Using Orthogonal Rotation in Principal Component Analysis.

A correlation plot is in Figure 14.103.

Code
corrplot(cor(
  pca3Orthogonal,
  use = "pairwise.complete.obs"))
Correlation Plot Using Orthogonal Rotation in Principal Component Analysis.
Figure 14.103: Correlation Plot Using Orthogonal Rotation in Principal Component Analysis.

14.5.5.3 Oblique (Oblimin) rotation

A pairs panel plot is in Figure 14.104.

Code
pairs.panels(pca3Oblique)
Pairs Panel Plot Using Oblique Rotation in Principal Component Analysis.
Figure 14.104: Pairs Panel Plot Using Oblique Rotation in Principal Component Analysis.

A correlation plot is in Figure 14.105.

Code
corrplot(cor(
  pca3Oblique,
  use = "pairwise.complete.obs"))
Correlation Plot Using Oblique Rotation in Principal Component Analysis.
Figure 14.105: Correlation Plot Using Oblique Rotation in Principal Component Analysis.

14.6 Benefits of Factor Analysis

Factor analysis has several benefits. First, factor analysis can be used for data reduction, similar to PCA. This is useful for reducing a large set of variables into a smaller set of factors that can be more easily analyzed. In addition, this data reduction can help to address multicollinearity issues in regression analyses. In addition to data reduction, factor analysis can help identify the structure of measures and constructs. Thus, factor analysis is particularly useful in the development, validation, and improvement of measures.

14.7 Conclusion

PCA is not factor analysis. PCA is a technique for data reduction, whereas factor analysis uses latent variables and can be used to identify the structure of measures/constructs or for data reduction. Many people use PCA when they should use factor analysis instead, such as when they are assessing latent constructs. Nevertheless, factor analysis has weaknesses including indeterminacy—i.e., a given data matrix can produce many different factor models, and you cannot determine which one is correct based on the data matrix alone. There are many decisions to make in factor analysis. These decisions can have important impacts on the resulting solution. Thus, it can be helpful for theory and interpretability to help guide decision-making when conducting factor analysis.

14.8 Suggested Readings

Floyd & Widaman (1995)

14.9 Exercises

14.9.1 Questions

Note: Several of the following questions use data from the Children of the National Longitudinal Survey of Youth Survey (CNLSY). The CNLSY is a publicly available longitudinal data set provided by the Bureau of Labor Statistics (https://www.bls.gov/nls/nlsy79-children.htm#topical-guide; archived at https://perma.cc/EH38-HDRN). The CNLSY data file for these exercises is located on the book’s page of the Open Science Framework (https://osf.io/3pwza). Children’s behavior problems were rated in 1988 (time 1: T1) and then again in 1990 (time 2: T2) on the Behavior Problems Index (BPI). Below are the items corresponding to the Antisocial subscale of the BPI:

  1. cheats or tells lies
  2. bullies or is cruel/mean to others
  3. does not seem to feel sorry after misbehaving
  4. breaks things deliberately
  5. is disobedient at school
  6. has trouble getting along with teachers
  7. has sudden changes in mood or feeling
  1. Fit an exploratory factor analysis (EFA) model using maximum likelihood to the seven items of the Antisocial subscale of the Behavior Problems Index at T1.
    1. Create a scree plot using the raw data (not the correlation or covariance matrix).
    2. How many factors should be retained according to the Kaiser–Guttman rule? How many factors should be retained according to a Parallel Test? Based on the available information, how many factors would you retain?
    3. Extract two factors with an oblique (oblimin) rotation. Which items load most strongly on Factor 1? Which items load most strongly on Factor 2? Why do you think these items load onto Factor 2? Which item has the highest cross-loading (on both Factors 1 and 2)?
    4. What is the association between Factors 1 and 2 when using an oblique rotation? What does this indicate about whether you should use an orthogonal or oblique rotation?
  2. For exercises about confirmatory factor analysis, see the exercises in Section 7.18 of the chapter on Structural Equation Modeling.
  3. Fit a principal component analysis (PCA) model to the seven items of the Antisocial subscale of the Behavior Problems Index at T1. How many components should be kept?
  4. Fit a one-factor confirmatory factor analysis (CFA) model to the seven items of the Antisocial subscale of the Behavior Problems Index at T1. Set the scale of the latent factor by standardizing the latent factor—set the mean of the factor to one and the variance of the factor to zero. Freely estimate the factor loadings of all indicators. Allow the residuals of indicators 5 and 6 to be correlated. Use full information maximum likelihood (FIML) to account for missing data. Use robust standard errors to account for non-normally distributed data.
    1. How strongly are the factor scores from the one-factor CFA model associated with the factors from a one-factor EFA model and a one-component PCA model?
  5. If your model fits well, why is it important to consider alternative models? What are some possible alternative models?

14.9.2 Answers

    1. A scree plot is in Figure 14.106.
Parallel analysis suggests that the number of factors =  3  and the number of components =  NA 
Scree Plot From Exploratory Factor Analysis.
Figure 14.106: Scree Plot From Exploratory Factor Analysis.
    1. The Kaiser-Guttman rule states that all factors should be retained whose eigenvalues are greater than 1, because it is not conceptually elegant to include factors that explain less than one variable’s worth of variance (i.e., one eigenvalue). According to the Kaiser-Guttman rule, one factor should be retained in this case. However, for factor analysis (rather than PCA), we modify the guidelines to retain factors whose eigenvalues are greater than zero, so we would keep two factors. According to the Parallel Test, factors should be retained that explain more variance than randomly generated data. According to the Parallel Test, two factors should be retained.
    2. Items 1 (loading = .52), 2 (loading = .66), 3 (loading = .48), 4 (loading = .52), and 7 (loading = .39) load most strongly on Factor 1. Items 5 (“disobedient at school”; loading = 1.00) and 6 (“trouble getting along with teachers”; loading = .42) load most strongly on Factor 2. It is likely that these two items load onto a separate factor from the other antisocial items because they reflect school-related antisocial behavior. Item 6 has the highest cross-loading—in addition to loading onto Factor 2 (.42), it has a non-trivial loading on Factor 1 (.22).
    3. The association between Factors 1 and 2 is .48. This indicates that the factors are moderately correlated and that using an orthogonal rotation would likely be improper. An oblique rotation would be important to capture the association between the two factors. However, this could come at the expense of having simple structure and, therefore, straightforward interpretation of the factors.
  1. See the exercises on “Structural Equation Modeling” in Section 7.18.
  2. According to the Kaiser-Guttman rule and the Parallel Test, one component should be retained.
    1. The factor scores from the CFA model are correlated \(r = .97\) and \(r = .98\) with the factor scores of the EFA model and the component scores of the PCA model, respectively. The factor scores of the EFA model are correlated \(r = .997\) with the component scores of the PCA model.
  3. Even if a given model fits well, there are many other models that fit just as well. Any given data matrix can produce an infinite number of factor models that accurately represent the data structure (indeterminacy). For any model, there always exist an infinite number of models that fit exactly the same. There is no way to distinguish which factor model is correct from the data matrix. Although the fit of the structural model may be consistent with the hypothesized model, fit does not demonstrate that a given model is uniquely valid. Thus, it is important to consider alternative models that may better capture the causal processes, even if their fit is mathematically equivalent. For instance, you could consider models with multiple factors, correlated factors, correlated residuals, cross-loading indicators, regression paths, hierarchical (higher-order) factors, bifactors, etc. Remember, an important part of science is specifying and testing plausible alternative explanations! Some alternative, equivalently fitting models are in Figure 14.107.
[[1]]
[[1]]$mar
[1] 0 0 0 0


[[2]]
[[2]]$mar
[1] 0 0 0 0


[[3]]
[[3]]$mar
[1] 0 0 0 0


[[4]]
[[4]]$mar
[1] 0 0 0 0


[[5]]
[[5]]$mar
[1] 0 0 0 0


[[6]]
[[6]]$mar
[1] 0 0 0 0


[[7]]
[[7]]$mar
[1] 0 0 0 0


[[8]]
[[8]]$mar
[1] 0 0 0 0


[[9]]
[[9]]$mar
[1] 0 0 0 0
Equivalently Fitting Models in Confirmatory Factor Analysis.
Figure 14.107: Equivalently Fitting Models in Confirmatory Factor Analysis.

14.10 Session Info

Code
sessionInfo()
R version 4.6.0 (2026-04-24)
Platform: x86_64-pc-linux-gnu
Running under: Ubuntu 24.04.4 LTS

Matrix products: default
BLAS:   /usr/lib/x86_64-linux-gnu/openblas-pthread/libblas.so.3 
LAPACK: /usr/lib/x86_64-linux-gnu/openblas-pthread/libopenblasp-r0.3.26.so;  LAPACK version 3.12.0

locale:
 [1] LC_CTYPE=C.UTF-8       LC_NUMERIC=C           LC_TIME=C.UTF-8       
 [4] LC_COLLATE=C.UTF-8     LC_MONETARY=C.UTF-8    LC_MESSAGES=C.UTF-8   
 [7] LC_PAPER=C.UTF-8       LC_NAME=C              LC_ADDRESS=C          
[10] LC_TELEPHONE=C         LC_MEASUREMENT=C.UTF-8 LC_IDENTIFICATION=C   

time zone: UTC
tzcode source: system (glibc)

attached base packages:
[1] stats     graphics  grDevices utils     datasets  methods   base     

other attached packages:
 [1] rmarkdown_2.31                  knitr_1.51                     
 [3] tinytex_0.59                    here_1.0.2                     
 [5] lubridate_1.9.5                 forcats_1.0.1                  
 [7] stringr_1.6.0                   dplyr_1.2.1                    
 [9] purrr_1.2.2                     readr_2.2.0                    
[11] tidyr_1.3.2                     tibble_3.3.1                   
[13] ggplot2_4.0.3                   tidyverse_2.0.0                
[15] MOTE_1.2.2                      kableExtra_1.4.0               
[17] BifactorIndicesCalculator_0.2.2 dagitty_0.3-4                  
[19] semTools_0.5-8                  semPlot_1.1.8                  
[21] nFactors_2.4.1.2                corrplot_0.95                  
[23] psych_2.6.3                     lavaan_0.6-21                  
[25] petersenlab_1.2.3              

loaded via a namespace (and not attached):
  [1] RColorBrewer_1.1-3    rstudioapi_0.18.0     jsonlite_2.0.0       
  [4] magrittr_2.0.5        farver_2.1.2          nloptr_2.2.1         
  [7] vctrs_0.7.3           minqa_1.2.8           base64enc_0.1-6      
 [10] htmltools_0.5.9       curl_7.1.0            Formula_1.2-5        
 [13] htmlwidgets_1.6.4     plyr_1.8.9            igraph_2.3.1         
 [16] lifecycle_1.0.5       pkgconfig_2.0.3       Matrix_1.7-5         
 [19] R6_2.6.1              fastmap_1.2.0         rbibutils_2.4.1      
 [22] numDeriv_2016.8-1.1   digest_0.6.39         OpenMx_2.22.11       
 [25] fdrtool_1.2.18        colorspace_2.1-2      rprojroot_2.1.1      
 [28] textshaping_1.0.5     Hmisc_5.2-5           timechange_0.4.0     
 [31] abind_1.4-8           compiler_4.6.0        bit64_4.8.0          
 [34] withr_3.0.2           glasso_1.11           htmlTable_2.5.0      
 [37] S7_0.2.2              backports_1.5.1       carData_3.0-6        
 [40] DBI_1.3.0             MASS_7.3-65           GPArotation_2026.4-1 
 [43] corpcor_1.6.10        gtools_3.9.5          tools_4.6.0          
 [46] pbivnorm_0.6.0        foreign_0.8-91        otel_0.2.0           
 [49] zip_2.3.3             nnet_7.3-20           glue_1.8.1           
 [52] quadprog_1.5-8        nlme_3.1-169          lisrelToR_0.3        
 [55] grid_4.6.0            checkmate_2.3.4       cluster_2.1.8.2      
 [58] reshape2_1.4.5        generics_0.1.4        gtable_0.3.6         
 [61] tzdb_0.5.0            data.table_1.18.2.1   hms_1.1.4            
 [64] xml2_1.5.2            sem_3.1-16            pillar_1.11.1        
 [67] vroom_1.7.1           rockchalk_1.8.164     mitools_2.4          
 [70] splines_4.6.0         lattice_0.22-9        bit_4.6.0            
 [73] kutils_1.73           tidyselect_1.2.1      pbapply_1.7-4        
 [76] mix_1.0-13            reformulas_0.4.4      gridExtra_2.3        
 [79] V8_8.2.0              svglite_2.2.2         stats4_4.6.0         
 [82] xfun_0.57             qgraph_1.9.8          arm_1.15-3           
 [85] stringi_1.8.7         yaml_2.3.12           boot_1.3-32          
 [88] evaluate_1.0.5        mi_1.2                cli_3.6.6            
 [91] RcppParallel_5.1.11-2 rpart_4.1.27          xtable_1.8-8         
 [94] systemfonts_1.3.2     Rdpack_2.6.6          Rcpp_1.1.1-1.1       
 [97] coda_0.19-4.1         png_0.1-9             XML_3.99-0.23        
[100] parallel_4.6.0        jpeg_0.1-11           lme4_2.0-1           
[103] viridisLite_0.4.3     mvtnorm_1.3-7         scales_1.4.0         
[106] crayon_1.5.3          openxlsx_4.2.8.1      rlang_1.2.0          
[109] mnormt_2.1.2         

Feedback

Please consider providing feedback about this textbook, so that I can make it as helpful as possible. You can provide feedback at the following link: https://forms.gle/95iW4p47cuaphTek6